-
利用流体模型模拟研究了氩气空心阴极放电的动力学过程. 数值模型考虑了直接基态电离、基态激发、分步电离、潘宁电离、解激发、两体碰撞、三体碰撞、辐射跃迁、弹性碰撞和复合反应等31个反应过程. 计算得到了电子密度, Ar +密度, 激发态氩原子Ar 4s、Ar 4p、Ar 3d能级的密度, 电势和电场强度等的分布特性. 同时模拟得到了不同反应机制对电子、激发态氩原子Ar 4s、Ar 4p的产生和消耗机理的影响. 结果表明, 在本模拟条件下存在明显的空心阴极效应, 激发态氩原子Ar 4s的密度大大高于电子密度. 激发态氩原子Ar 4s参与的潘宁电离2Ar 4s→ Ar ++ Ar + e和分步电离对新电子的产生和电子能量的平衡具有重要贡献, 特别是以往模拟中通常被忽略的产生Ar 2 +的潘宁电离反应2Ar 4s→ Ar 2 ++ e同样对电子的产生具有重要影响. 激发态氩原子密度的空间分布是放电过程中各种粒子生成和消耗相互平衡的结果. 本模型所包含的反应中, 激发态氩原子Ar 4p退激发到Ar 4s能级的辐射反应Ar 4p→ Ar 4s+ h ν是Ar 4s能级产生的主要来源, 同时也是激发态氩原子Ar 4p消耗的主要途径. 电子碰撞Ar 4s激发到Ar 4p能级的反应 Ar 4s+ e → Ar 4p+ e是激发态氩原子Ar 4s消耗的主要途径, 也是产生激发态氩原子Ar 4p的主要途径. 模拟结果同时表明, 利用激发态氩原子Ar 4p能级的分布特性能够更好地反映空心阴极放电中的光学特性.In this paper, the dynamics of hollow cathode discharge in argon is simulated by fluid model. In the numerical model considered are 31 reaction processes, including direct ground state ionization, ground state excitation, stepwise ionization, Penning ionization, de-excitation, two-body collision, three-body collision, radiation transition, elastic collision, and electron-ion recombination reaction. The electron density, Ar +density, Ar 4s, Ar 4p, Ar 3dparticle density, electric potential and electric field intensity are calculated. At the same time, the contributions of different reaction mechanisms for the generation and consumption of electron, Ar 4sand Ar 4pare simulated. The results indicate that hollow cathode effect exists in the discharge, and the Ar 4sdensity is much higher than electron density. The penning ionization 2Ar 4s→ Ar ++ Ar ++ e and stepwise ionization involving Ar 4smake important contributions to the generation of new electrons and the balance of electron energy. In particular, the penning ionization reaction 2Ar 4s→ Ar 2 ++ e, which is generally ignored in previous simulation, also has an significant influence on electron generation. The spatial distribution of excited state argon atomic density is the result of the balance between the formation and consumption of various particles during discharge. Radiation reaction Ar 4p→ Ar 4s+ hνis the main source of Ar 4sgeneration and the main way to consume Ar 4p. Ar 4s+ e →Ar 4p+ e is the main way of Ar 4sconsumption and Ar 4pproduction. The simulation results also show that the Ar 4pdensity distribution can better reflect the optical characteristics in the hollow cathode discharge.
[1] [2] [3] [4] [5] [6] [7] [8] [9] [10] [11] [12] [13] [14] [15] [16] [17] [18] [19] [20] [21] [22] [23] [24] [25] [26] [27] [28] [29] [30] [31] [32] [33] [34] [35] [36] [37] -
反应
标号反应方程 反应
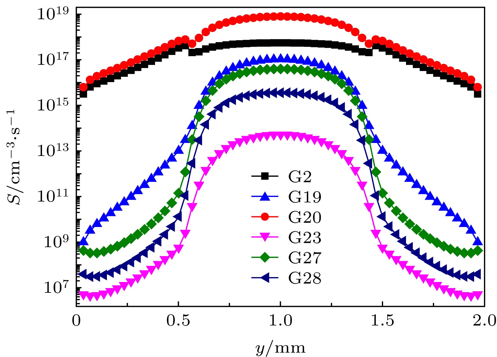
标号反应方程 G1 Ar + e → Ar++ 2e[12] G17 Ar4s+ e → Ar3d+ e[16] G2 Ar + e → Ar4s+ e[13] G18 Ar4s+ e → Ar4p+ e[12] G3 Ar + e → Ar4p+ e[13] G19 Ar4p+ e → Ar4s+ e[12] G4 Ar + e → Ar3d+ e[13] G20 Ar4p→ Ar4s+hν[17] G5 Ar4s+ e → Ar++ 2e[14] G21 Ar3d→ Ar4p[16] G6 Ar4p+ e → Ar++ 2e[14] G22 Ar++ 2e → Ar + e[14] G7 2Ar4s→ Ar++ Ar + e[15] G23 Ar++ e → Ar4s[12] G8 2Ar4p→ Ar++ Ar + e[16] G24 Ar++ 2e → Ar4s+ e[12] G9 2Ar4s→ Ar2++ e[17] G25 Ar2++ e → 2Ar[19] G10 Ar4s+ Ar → 2Ar[18] G26 Ar2++ e → Ar++ Ar + e[20] G11 Ar4s+ 2Ar → 3Ar[18] G27 Ar2++ e → Ar4s+ Ar[16] G12 2Ar + Ar+→ Ar2++ Arr[16] G28 Ar2++ e → 2Ar4s[21] G13 Ar4s+ 2Ar → Ar2+ Ar[15] G29 Ar2++ e → Ar4p+ Ar[16] G14 Ar4s+ e → Ar + e[12] G30 Ar2++ e → Ar3d+ Ar[16] G15 Ar4s→ Ar +hν[12] G31 Ar + e → Ar + e[22] G16 Ar4p+e → Ar + e[12] 反应标号 反应方程 速率平均值/cm–3·s–1 G1 Ar + e → Ar++ 2e 2.5 × 1017 G5 Ar4s+ e → Ar++ 2e 2.6 × 1016 G6 Ar4p+ e → Ar++ 2e 1.1 × 1015 G7 2Ar4s→ Ar++ Ar + e 3.9 × 1016 G8 2Ar4p→ Ar++ Ar + e 2.9 × 1012 G10 2Ar4s→ Ar2++ e 3.8 × 1016 反应标号 反应方程 源项平均值/cm–3·s–1 G2 Ar + e → Ar4s+ e 1.6 × 1017 G19 Ar4p+ e → Ar4s+ e 9.1 × 1015 G20 Ar4p→ Ar4s+hν 11.8 × 1017 G24 Ar++ 2e → Ar4s+ e 55.3 G23 Ar + e → Ar4s 4.4 × 1012 G27 Ar2++ e → Ar4s+ Ar 4.3 × 1015 G28 Ar2++ e → 2Ar4s 3.9 × 1014 反应标号 反应方程 源项平均值/cm–3·s–1 G5 Ar4s+ e → Ar++ 2e 2.6 × 1016 G7 2Ar4s→ Ar++Ar + e 7.9 × 1016 G9 Ar4s+ Ar → 2Ar 3.0 × 1015 G10 2Ar4s→ Ar2++ e 7.6 × 1016 G11 Ar4s+ 2Ar → 3Ar 4.5 × 1015 G13 Ar4s+ 2Ar → Ar2+ Ar 3.5 × 1016 G14 Ar4s+ e → Ar + e 1.2 × 1015 G15 Ar4s→ Ar +hν 1.9 × 1017 G17 Ar4s+ e → Ar3d+ e 1.2 × 1017 G18 Ar4s+ e → Ar4p+ e 8.2 × 1017 反应标号 反应方程 源项平均值/cm–3·s–1 G3 Ar + e → Ar4p+ e 2.2 × 1017 G18 Ar4s+ e → Ar4p+ e 8.2 × 1017 G21 Ar3d→ Ar4p 1.4 × 1017 G29 Ar2++ e → Ar4p+ Ar 4.3 × 1014 反应标号 反应方程 源项平均值/cm–3·s–1 G6 Ar4p+ e→Ar++ 2e 1.1 × 1015 G8 2Ar4p→Ar++ Ar + e 5.8 × 1012 G16 Ar4p+e→Ar + e 1.3 × 1013 G19 Ar4p+ e→Ar4s+ e 9.1 × 1015 G20 Ar4p→Ar4s+hν 11.8 × 1017 -
[1] [2] [3] [4] [5] [6] [7] [8] [9] [10] [11] [12] [13] [14] [15] [16] [17] [18] [19] [20] [21] [22] [23] [24] [25] [26] [27] [28] [29] [30] [31] [32] [33] [34] [35] [36] [37]
计量
- 文章访问数:8220
- PDF下载量:103
- 被引次数:0












下载:












