-
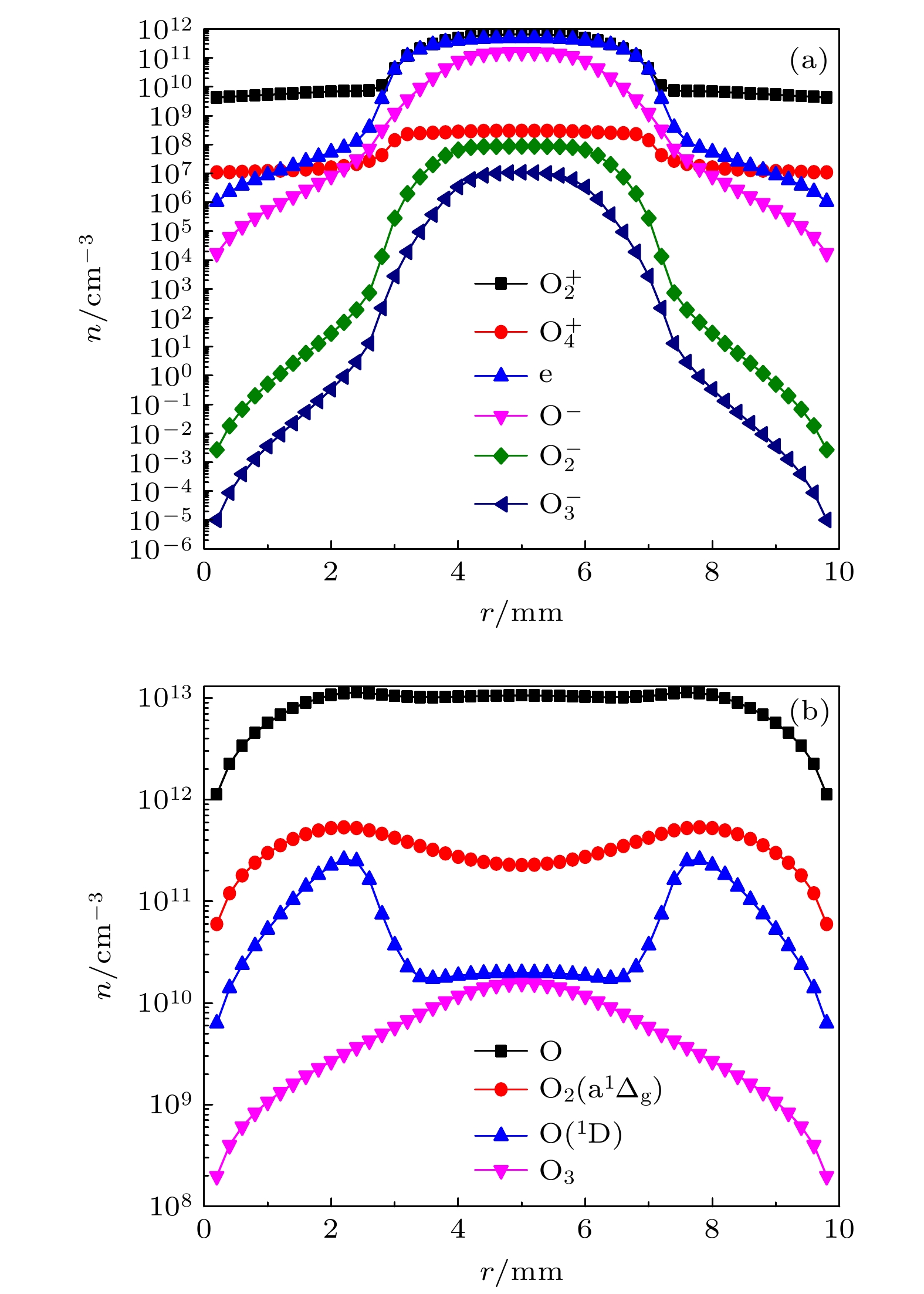
本文利用流体模型对气压为266 Pa的氧气环境下空心阴极放电的放电特性及不同粒子的生成损耗机制进行了模拟研究. 模型中包含11种粒子和48个反应. 在该模拟条件下, 周围阴极所对应的负辉区产生重叠, 表明放电中存在较强的空心阴极效应. 计算得到了不同带电粒子与活性粒子的密度分布. 带电粒子密度主要位于放电单元中心区域, 电子和负氧离子O –是放电体系中主要的负电荷, 其密度峰值分别达到5.0 × 10 11cm –3和1.6 × 10 11cm –3;
${\rm{O}}_2^+ $ 是放电体系中主要的正电荷, 其密度峰值为6.5 × 10 11cm –3. 放电体系中同时存在丰富的活性氧粒子, 并且其密度远高于带电粒子, 按其密度高低依次为基态氧原子O、单重激发态氧分子O 2(a 1Δ g)、激发态氧原子O( 1D)、臭氧分子O 3. 对电子、O –和${\rm{O}}_2^+ $ 的生成和损耗的反应动力学过程进行了深入分析, 同时给出了不同活性氧粒子的生成损耗路径概要图. 结果表明各粒子之间存在一个复杂的相互耦合的过程, 每一个反应在生成某种粒子的同时也在消耗相应的其他粒子, 最终各种粒子密度达到一个动态平衡.The characteristics, the formations and loss mechanisms of different particles of hollow cathode discharge in oxygen at 266 Pa are investigated by using the fluid model. The model contains 11 kinds of particles and 48 reactions. Under this simulation condition, the negative glow regions corresponding to the surrounding cathodes overlap. The results show that there is a strong hollow cathode effect. The density distributions of different charged and active particles are calculated. The charged particle density is located mainly in the central region of the discharge cell. Electrons and O –are the main ingredients of negative charges in the discharge system, and their density peaks are 5.0 × 10 11cm –3and 1.6 × 10 11cm –3, respectively and${\rm{O}}_2^+ $ is a main composition of positive charge in the discharge system with a peak density of 6.5 × 10 11cm –3. Abundant active oxygen particles exist in the discharge system, and their density is much higher than those of other charged particles. According to the densities of active particles, their magnitudes are ranked in the small-to-large order as O, O 2(a 1Δ g), O( 1D) and O 3. Furthermore, the generation and consumption mechanism of electrons, O –and${\rm{O}}_2^+ $ are calculated in detail, and the generation and consumption paths of different active oxygen particles are also given. The results show that there is a complex coupling process among these particles. Each reaction generates a certain number of particles and consumes other particles at the same time, resulting in a dynamic balance among these particles.-
Keywords:
- hollow cathode discharge/
- oxygen/
- fluid model/
- active particles/
- generation and consumption mechanism
[1] [2] [3] [4] [5] [6] [7] [8] [9] [10] [11] [12] [13] [14] [15] [16] [17] [18] [19] [20] [21] [22] [23] [24] [25] [26] [27] [28] [29] [30] [31] [32] [33] [34] [35] [36] [37] [38] [39] [40] [41] [42] [43] [44] [45] [46] [47] -
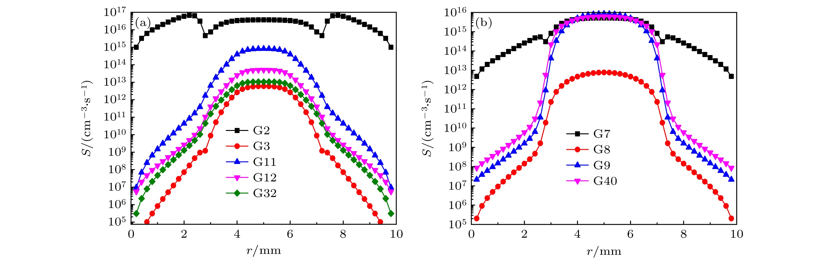
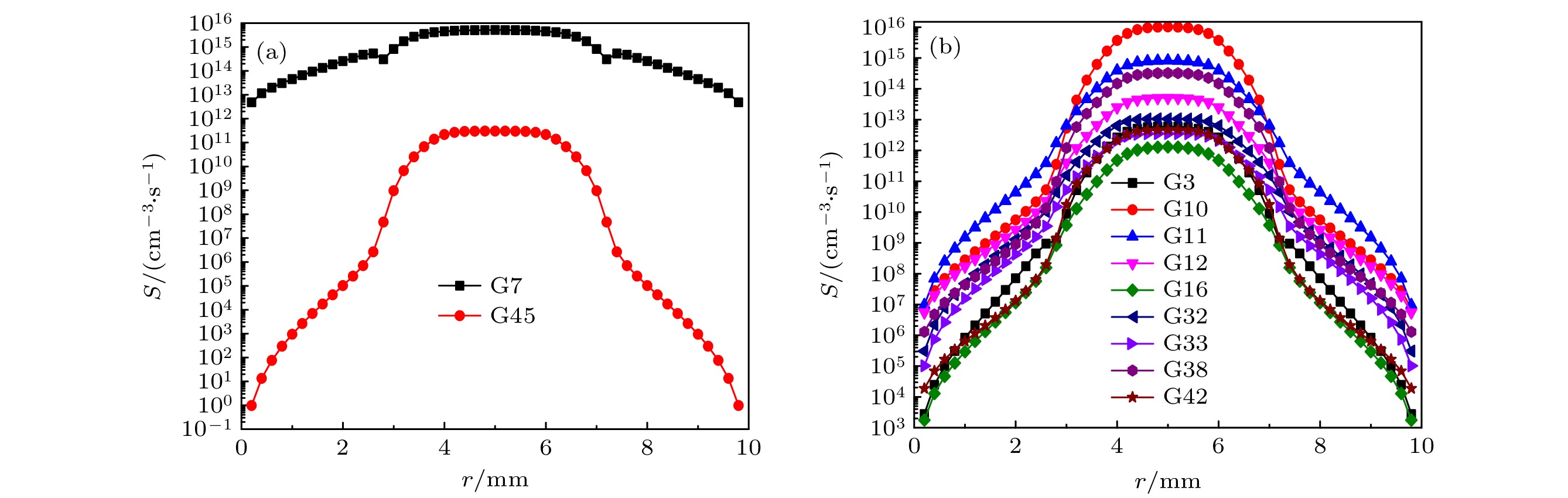
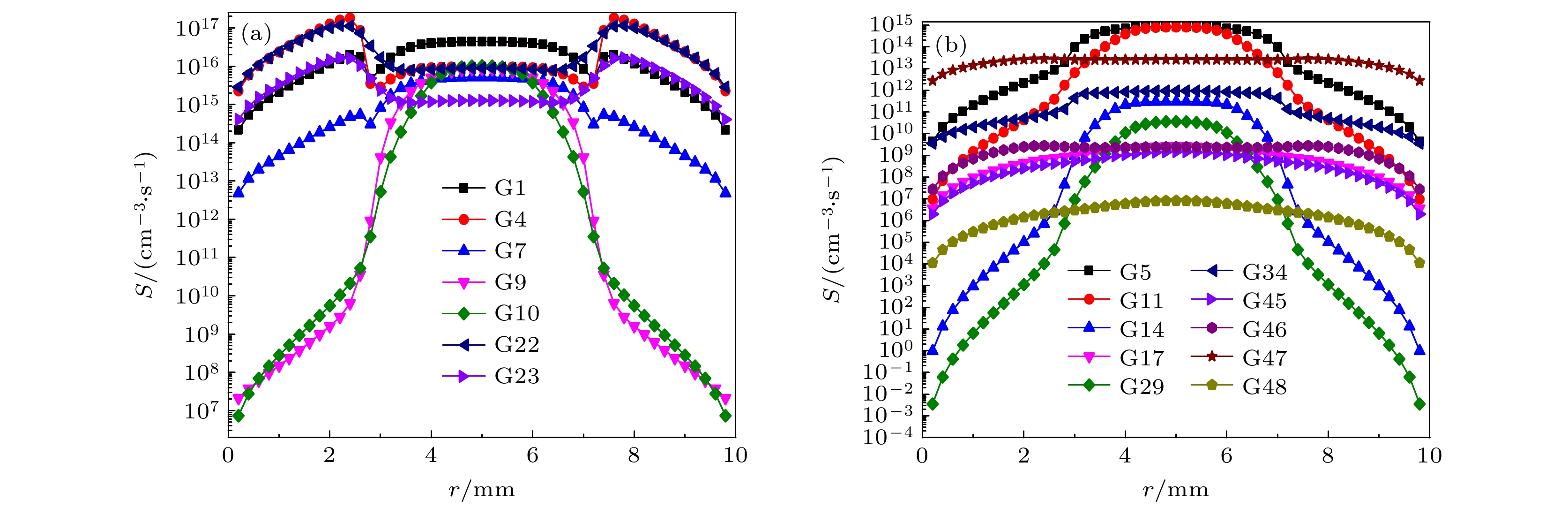
反应标号 反应方程 反应标号 反应方程 G1 e + O2→ 2O + e[23] G25 O3+ O(1D) → O2+ 2O[26] G2 e + O2→ ${\rm{O}}_2^+ $ + 2e[23] G26 O3+ O(1D) → 2O2[26] G3 e + O–→ O + 2e[23] G27 ${\rm{O}}_2^ + $ + O2+ O2→ ${\rm{O}}_4^+ $ + O2[29] G4 e + O2→O + O(1D) + e[23] G28 ${\rm{O}}_4^+$ + O2→ ${\rm{O}}_2^ + $ + O2+ O2[30] G5 e + O → O(1D) + e[23] G29 ${\rm{O}}_4^ + $ + O → ${\rm{O}}_2^ + $ + O3[29] G6 e + O2(a1∆g) → 2O + e[24] G30 e + O(1D) → O + e[23] G7 e + O2→ O–+ O[23] G31 O3+ O2→ 2O2+ O[25] G8 e + O3→ ${\rm{O}}_2^ -$ + O[23] G32 O–+ O2(a1∆g) → O3+ e[23] G9 e + ${\rm{O} }_2^ +$ → 2O[25] G33 O–+ O2(a1∆g) → ${\rm{O}}_2^ - $ + O[23] G10 O–+ ${\rm{O} }_2^+$ → 3O[25] G34 O3+ O → O2(a1∆g) + O2[31] G11 O–+ O → e + O2[25] G35 O3+ O(1D) → O2(a1∆g) + O2[32] G12 O–+ O2→ O3+ e[25] G36 O3+ O(1D) → 2O2(a1∆g)[32] G13 ${\rm{O}}_2^ + $ + ${\rm{O}}_2^ - $ → 2O2[26] G37 ${\rm{O}}_4^ + $ + ${\rm{O}}_3^ - $ → 3O2+ O[33] G14 O3+ O → 2O2[25] G38 ${\rm{O}}_4^ + $ + O–→ O2+ O3[33] G15 O3+ ${\rm{O}}_2^ - $→ ${\rm{O}}_3^ - $ + O2[26] G39 ${\rm{O}}_4^ + $ + O2(a1∆g) → ${\rm{O}}_2^ + $ + O2+ O2[29] G16 O–+ O3→ ${\rm{O}}_3^ - $ + O[26] G40 e +${\rm{O}}_4^ + $ → O2+ O2[34] G17 ${\rm{O}}_3^ - $ + O → ${\rm{O}}_2^ - $ + O2[27] G41 ${\rm{O}}_4^ + $ + ${\rm{O}}_2^ - $→ 3O2[33] G18 ${\rm{O}}_3^ - $ + ${\rm{O}}_2^+ $ → O3+ 2O[28] G42 ${\rm{O}}_4^ + $ + O–→ O + O2+ O2[35] G19 O2(a1∆g) + O2→ 2O2[25] G43 ${\rm{O}}_4^ + $ + ${\rm{O}}_2^ - $ → O + O + O2+ O2[35] G20 O2(a1∆g) + O → O + O2[25] G44 ${\rm{O}}_4^ + $ + ${\rm{O}}_3^ - $→ O3+ O2+ O2[35] G21 O(1D) + O → 2O[23] G45 ${\rm{O}}_2^ - $ + O → O–+ O2[32] G22 O(1D) + O2→ O + O2[26] G46 O + O + O2→ O + O3[36] G23 O(1D) + O2→ O + O2(a1∆g)[26] G47 O + O2+ O2→ O2+ O3[36] G24 O3+ O2(a1∆g) → 2O2+ O[25] G48 O + O2+ O3→ O3+ O3[36] 电子生成反应 贡献/% 电子消耗反应 贡献/% G2: e + O2→ ${\rm{O}}_2^+ $+ 2e 99.875 G7: e + O2→ O–+ O 42.418 G11: O–+ O → e + O2 0.114 G40: e + ${\rm{O}}_4^+ $→ O2+ O2 31.748 G12: O–+ O2→ O3+ e 0.008 G9: e + ${\rm{O}}_2^+ $ → 2O 25.808 G32: O–+ O2(a1∆g) → O3+ e 0.002 G8: e + O3→ ${\rm{O}}_2^- $ + O 0.026 G3: e + O–→ O + 2e 7.0 × 10–4 O–生成反应 贡献/% O–消耗反应 贡献/% G7: e + O2→ O–+ O 99.998 G10: O–+${\rm{O} }_2^+ $ → 3O 86.712 G45: ${\rm{O} }_2^- $ + O → O–+ O2 0.002 G11: O–+ O → e + O2 8.548 G38: ${\rm{O} }_4^+ $ + O–→ O2+ O3 3.809 G12: O–+ O2→ O3+ e 0.631 G32: O–+ O2(a1∆g) → O3+ e 0.135 G42: ${\rm{O} }_4^+ $ + O–→ O + O2+ O2 0.055 G3: e + O–→ O + 2e 0.055 G33: O–+ O2(a1∆g) → ${\rm{O} }_2^- $ + O 0.045 G16: O–+ O3→ ${\rm{O} }_3^- $ + O 0.011 ${\rm{O} }_2^+ $生成反应 贡献/% ${\rm{O} }_2^+ $消耗反应 贡献/% G2: e + O2→ ${\rm{O} }_2^+ $ + 2e 99.993 G27: ${\rm{O} }_2^+ $ + O2+ O2→ ${\rm{O} }_4^+ $ + O2 44.657 G28: ${\rm{O} }_4^+ $ + O2→ ${\rm{O} }_2^+ $ + O2+ O2 0.007 G9: e + ${\rm{O} }_2^+ $ → 2O 30.675 G29: ${\rm{O} }_4^+ $ + O → ${\rm{O} }_2^+ $ + O3 5.8×10–4 G10: O–+ ${\rm{O} }_2^+ $ → 3O 24.634 G39: ${\rm{O} }_4^+ $ + O2(a1∆g)→${\rm{O} }_2^+ $ + O2+ O2 6.9×10–6 G13: ${\rm{O} }_2^+ $ + ${\rm{O} }_2^- $ → 2O2 0.032 G18: ${\rm{O} }_3^-$ +${\rm{O} }_2^+ $ → O3+ 2O 0.002 O生成反应 贡献/% O消耗反应 贡献/% G4: e + O2→ O + O(1D) + e 45.255 G5: e + O → O(1D) + e 56.855 G22: O(1D) + O2→ O + O2 39.217 G11: O–+ O → e + O2 26.231 G1: e + O2→ 2O + e 8.725 G47: O2+ O2+ O → O2+ O3 16.765 G23:O(1D) + O2→O + O2(a1∆g) 5.602 G29: ${\rm{O} }_4^+ $ + O → ${\rm{O} }_2^+ $ + O3 0.135 G7: e + O2→ O–+ O 0.567 G45: ${\rm{O} }_2^-$ + O→ O–+ O2 0.012 G9: e +${\rm{O} }_2^+ $ → 2O 0.345 G46: O + O + O2→ O + O3 0.001 G10: O–+ ${\rm{O} }_2^+ $ → 3O 0.277 G17: ${\rm{O} }_3^- $ + O → ${\rm{O} }_2^- $ + O2 7.7 × 10–4 其他 0.012 G14: O3+ O → 2O2 3.4 × 10–4 G34: O3+ O→O2(a1∆g) + O2 1.9 × 10–4 G48: O + O2+ O3→ O3+ O3 6.0 × 10–7 -
[1] [2] [3] [4] [5] [6] [7] [8] [9] [10] [11] [12] [13] [14] [15] [16] [17] [18] [19] [20] [21] [22] [23] [24] [25] [26] [27] [28] [29] [30] [31] [32] [33] [34] [35] [36] [37] [38] [39] [40] [41] [42] [43] [44] [45] [46] [47]
计量
- 文章访问数:4757
- PDF下载量:73
- 被引次数:0












下载:










