-
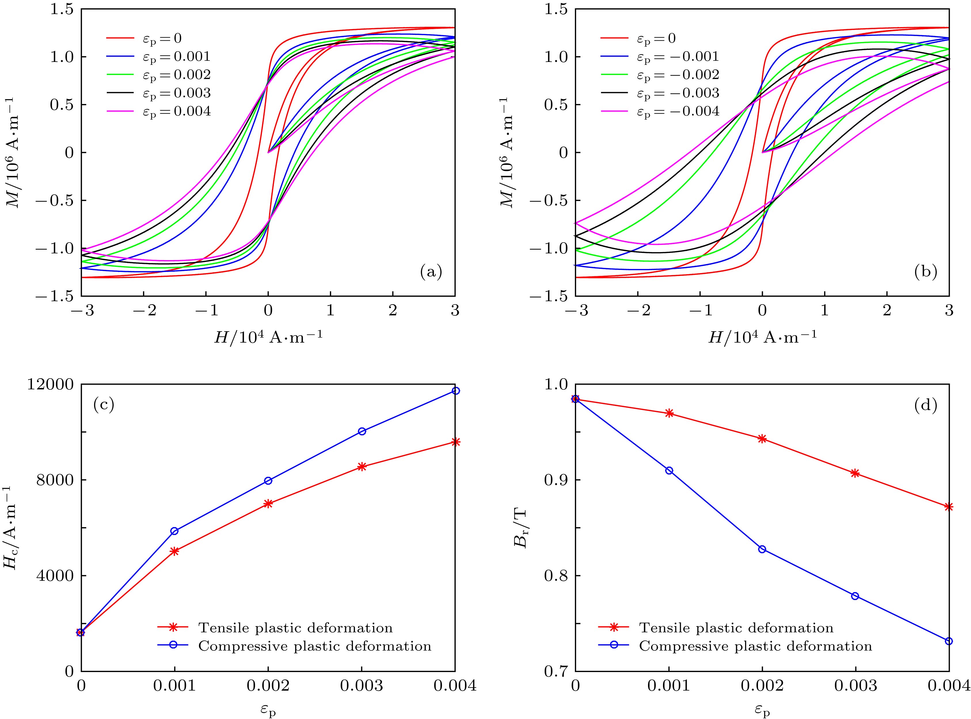
Jiles-Atherton (J-A)模型和Zheng Xiao-Jing-Liu Xing-En (Z-L)模型在分析应力对铁磁材料磁化的影响方面应用十分广泛. 目前, J-A模型中的磁致伸缩应变与应力和磁化强度的关系式采用Jiles给出的经典拟合公式, 该拟合公式中磁化强度的二次项和四次项系数与应力均为线性关系, 不能准确描述铁磁材料磁致伸缩系数随应力、磁化强度的非线性变化规律; Z-L模型中磁致伸缩应变与应力和磁化强度的关系式采用了双曲正切函数tanh( x), 更好地描述了铁磁材料磁致伸缩应变和磁化强度随应力的非线性变化规律, 但Z-L模型却没有考虑Weiss分子场、钉扎效应的作用, 且由于采用了基于弹性能的接近定理, 只能描述弹性应力对磁化过程的影响. 针对上述问题, 本文结合Z-L模型中的非线性磁致伸缩应变关系式以及J-A模型中的磁滞理论, 考虑弹性应力、塑性变形对模型参数的影响, 建立了能够反映弹-塑性阶段应力与塑性变形对铁磁材料磁化曲线影响的修正磁化模型, 分析了弹性拉、压应力及塑性拉、压变形对磁化曲线、矫顽力和剩余磁化强度的影响规律. 通过与试验结果及原有模型的计算结果进行对比, 发现修正模型能够更好地反映单次磁化、循环磁化过程中应力、塑性变形对磁化曲线的影响规律, 理论预测结果与试验结果之间的相关系数均在0.98以上, 可为分析力磁耦合效应对铁磁材料磁化影响规律提供更准确的理论模型.The prevailing Jiles-Atherton (J-A) model and Zheng Xiao-Jing-Liu Xing-En (Z-L) model are extensively used in modeling the magneto-mechanical effect on magnetization in ferromagnetic materials. In the J-A model, a fitting formula of magnetostrictive strain interms of stress and magnetization is adopted to model the stress effect on magnetostriction. However, the fitting formula is not in good accordance with the experimental results obtained by Kuruzar and Culllity. In order to solve this problem, a transcendental function tanh( x) is appropriately selected to describe the nonlinear magnetostrictive strain in the Z-L model, and it is found that the general formula of magnetostrictive strain is more effective to describe the nonlinear relation of magnetostrictive strain with stress and magnetization. Then, the modified law proposed by Jiles and Li is adopted to modify the Z-L model by Shi Pengpeng to describe the hysteretic behavior; nevertheless, the effect of Weiss molecular field, pinning energy and plastic deformation on magnetization are not taken into account, and the modified Z-L model can only describe the elastic stress effect on magnetization. In order to solve these problems above, a modified magneto-mechanical model is established by combining the magnetostrictive constitutive relationships of Z-L model with the modified energy conservation equation of J-A model, as well as taking the effect of elastic stress and plastic strain on the model parameters into account simultaneously. It is found that the predictions of proposed model here are in better accordance with the initial magnetization curves given by Jiles and Atherton and the hysteresis loops obtained by Makar and Tanner under different stresses and plastic deformation than those calculated by the J-A model and Z-L model. The correlation coefficients between experimental data and theoretical results calculated by the modified model are all over 0.98, which indicates that the modified model here is more effective than the existing model. A detailed study also performed to reveal the effects of the elastic tensile and compressive stress and plastic tensile and compressive strain on hysteresis loops, coercivity and remanence. The proposed model reveals that the area of hysteresis loop and coercivity increase nonlinearly with the stress and plastic deformation increasing, while the remanence decreases significantly; the effects of compressive stress and compressive plastic deformation on magnetization characteristic parameters above are more significant than those of tensile stress and tensile plastic deformation, which is consistent with the experimental trend. The proposed model can be used to quantitatively analyze the magneto-mechanical effect on the magnetization of ferromagnetism.
-
Keywords:
- magneto-mechanical effect/
- magnetostriction/
- hysteresis loops/
- Jiles-Atherton model/
- Zheng Xiao-Jing-Liu Xing-En model
[1] [2] [3] [4] [5] [6] [7] [8] [9] [10] [11] [12] [13] [14] [15] [16] [17] [18] [19] [20] [21] [22] [23] [24] [25] [26] [27] [28] [29] [30] [31] [32] [33] [34] [35] [36] [37] [38] [39] [40] [41] -
模型类型 应力值/MPa –200 –100 0 100 200 修正模型${R^2}$ 0.9904 0.9947 0.9973 0.9859 0.9724 Z-L模型${R^2}$ 0.9421 0.9290 0.9333 0.9300 0.8956 J-A模型${R^2}$ 0.6289 0.0394 –0.0289 0.2688 0.6440 模型类型 试件含碳量0.003 wt% 试件含碳量0.15 wt% 0 MPa 33 MPa 160 MPa 0 MPa 36 MPa 182 MPa 修正模型${R^2}$ 0.9845 0.9894 0.9898 0.9840 0.9808 0.9937 J-A模型${R^2}$ 0.9133 0.9188 0.8984 0.9485 0.9496 0.9153 模型类型 试件含碳量0.003 wt% 试件含碳量0.153 wt% 0 MPa 160 MPa 0 MPa 182 MPa 修正模型${R^2}$ 0.9845 0.9943 0.9840 0.9858 J-A模型${R^2}$ 0.9133 0.9826 0.9485 0.9765 -
[1] [2] [3] [4] [5] [6] [7] [8] [9] [10] [11] [12] [13] [14] [15] [16] [17] [18] [19] [20] [21] [22] [23] [24] [25] [26] [27] [28] [29] [30] [31] [32] [33] [34] [35] [36] [37] [38] [39] [40] [41]
计量
- 文章访问数:11172
- PDF下载量:269
- 被引次数:0












下载:



