搜索

x

留言板

姓名
邮箱
手机号码
标题
留言内容
验证码

downloadPDF
引用本文:
Citation:

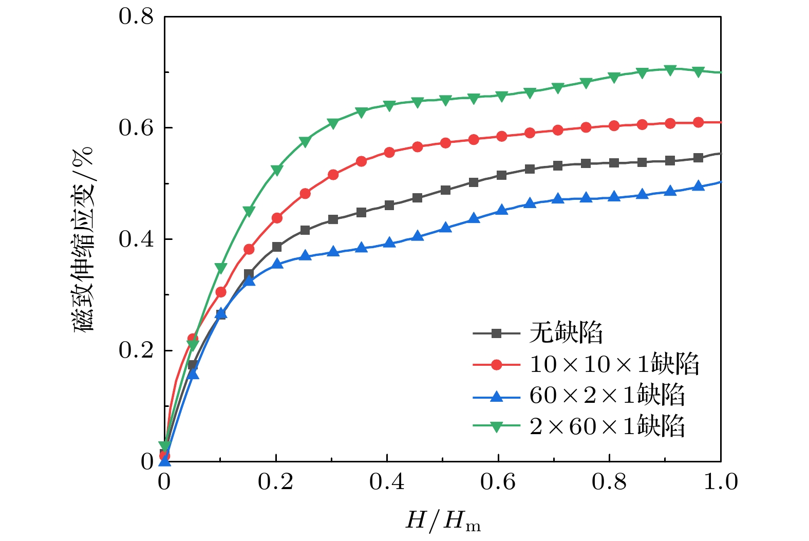
张硕, 龙连春, 刘静毅, 杨洋

Effect of defects on magnetostriction and magnetic moment evolution of iron thin films

Zhang Shuo, Long Lian-Chun, Liu Jing-Yi, Yang Yang
PDF
HTML
导出引用
计量
  • 文章访问数:4799
  • PDF下载量:122
  • 被引次数:0
出版历程
  • 收稿日期:2021-06-22
  • 修回日期:2021-09-08
  • 上网日期:2021-12-25
  • 刊出日期:2022-01-05

    返回文章
    返回