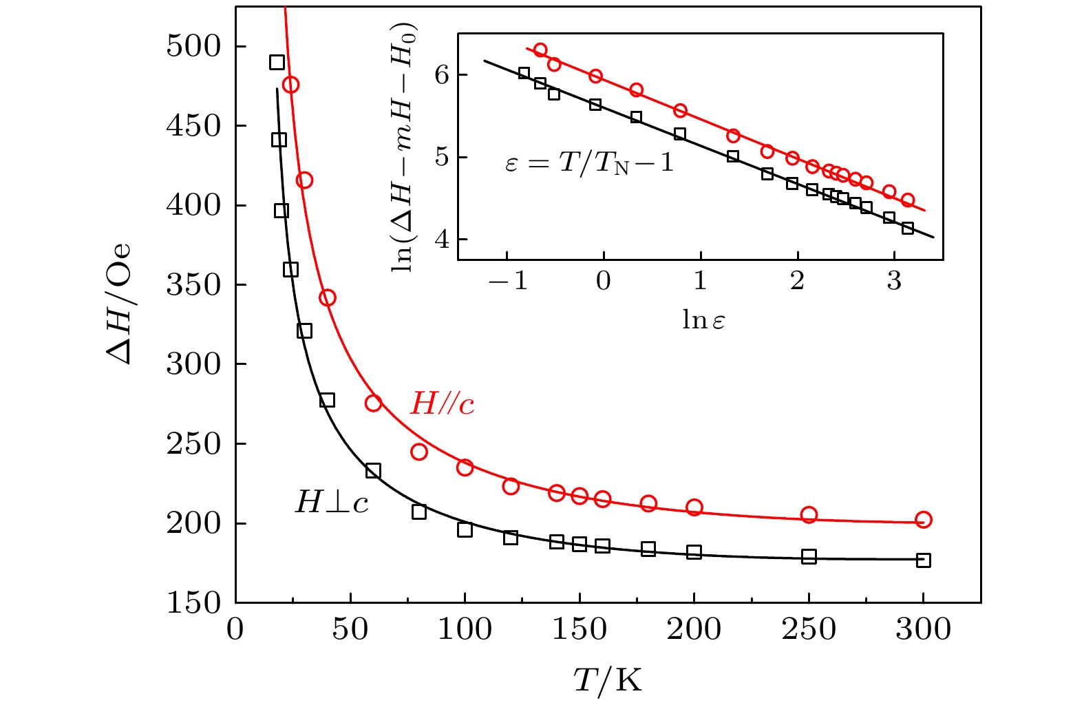
The magnetic materials with a chiral crystallographic lattice have hold neither inversion center nor mirror plane, leading to the emergence of Dzyaloshinskii-Moriya interaction and exotic physical phenomena like skyrmion, multiferroicity, and chiral solition lattice. The trigonal oxide MnSb
2O
6is recognized as a novel chiral-lattice helimagnet with unusual multiferroic properties, where magnetic field enables the selecting of a single ferroelectric domain and a slight tilting of field direction can trigger the reversal of electric polarization. Single crystal of MnSb
2O
6is prepared by the flux method. The magnetic susceptibility at 2 K shows a linear field dependent behavior except in the low field region. The magnetization shows a deviation from linearity at around 0.2 T for
H⊥
c, while a step-like anomaly is observed at about 1 T for
H//
c, suggesting the domain selection and spin-flop transition, respectively. The electron spin resonance parameters, such as the resonance field, the g-factor and the linewidth Δ
H, are obtained by performing single Lorentzian line. Interestingly, the resonance field shows a distinct, anisotropic temperature dependent behavior when further cooling, the resonance field shifts towards the lower field direction for
H⊥
c, while it shifts towards higher field direction for
H//
c. Excluding several mechanisms for this FM-like temperature dependent behavior of the resonance field, combining the ground state of spiral phase and its unique multiferroic properties, we suggest that the spiral magnetic structure of the ground state of MnSb
2O
6forms a conical magnetic structure under external magnetic field. Based on this, we can speculate the variation of ferroelectric polarization intensity with moderate and higher magnetic field. Moreover, the critical fitting of the ESR linewidth gives an unusual small critical index,
p= 0.49 for
H⊥
cand
p= 0.54 for
H//
c, implying that the magnetism possesses a two-dimensional characteristic and competitive interaction.