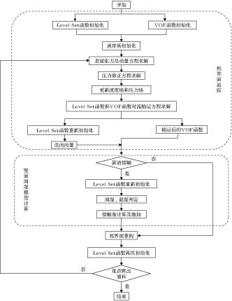
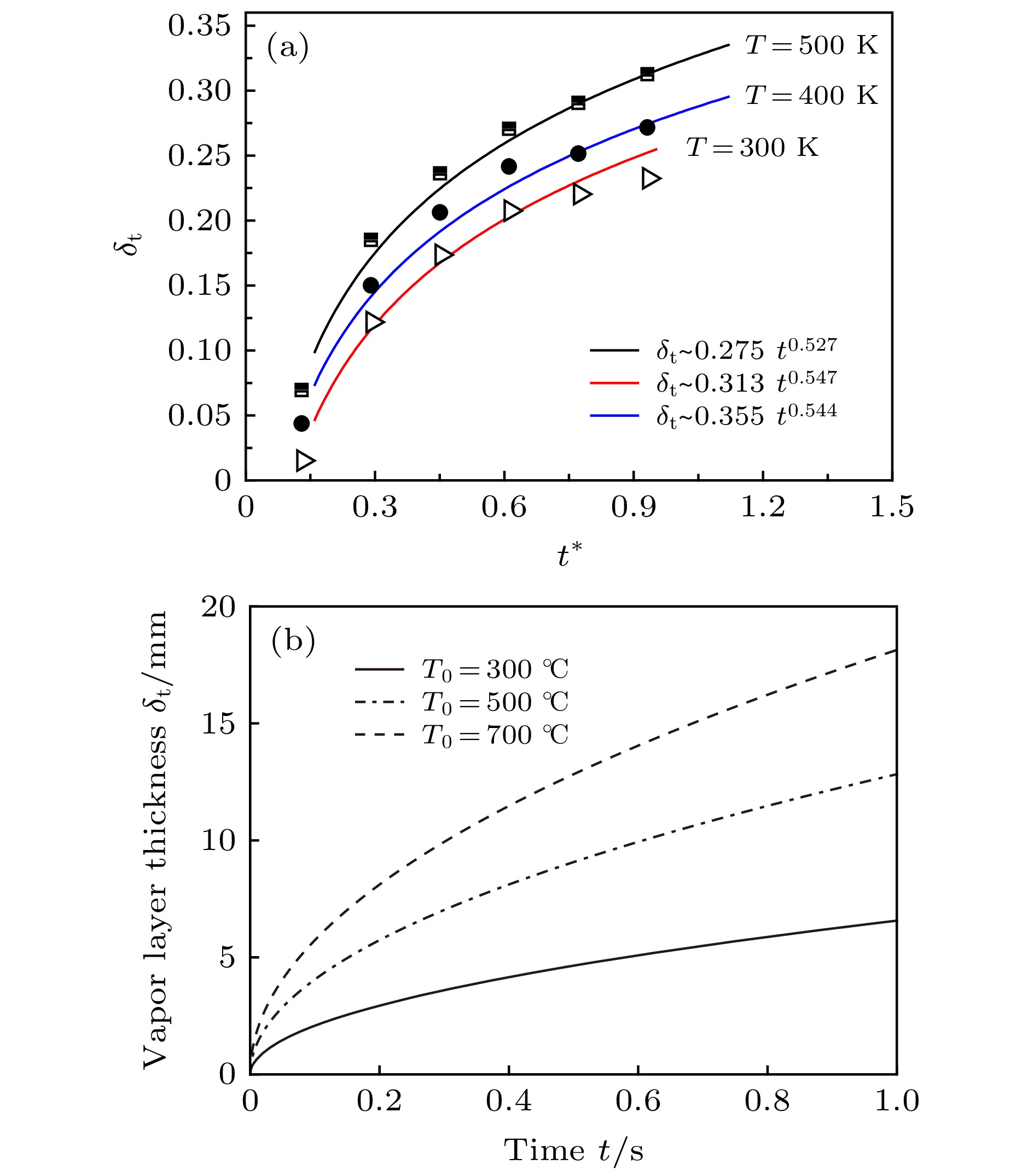
The distinct physical properties of liquid nitrogen make liquid nitrogen spray cooling a promising technique in aerospace engineering, the electronic industry, superconductor cooling, cryobiology, etc. In-depth study of the dynamics and thermodynamic behavior of liquid nitrogen droplets impinging on the wall surface is helpful to understand the heat transfer mechanism of spray cooling technology with liquid nitrogen. Therefore, the mathematical model of single-liquid nitrogen droplet impacted solid surface is developed by Level Set-VOF method. The effects of wall wettability (30°-150°), initial velocity (0.1, 1.6 m/s) and wall temperature (300-500 K) on the phase change behavior during the evolution of droplets are investigated, and the mathematical model of film thickness is established. The results show that enhancing the wall wettability and increasing the impact speed facilitate the spreading of the droplets in the radial direction, thereby increasing the heat exchange area and reducing the thermal resistance. Ultimately, the heat exchange performance is significantly improved. Increasing the wall temperature results in an increase in the difference between temperatures of the solid surface and the liquid, thereby significantly increasing the wall heat flux density. The lower thermal resistance at the three-phase contact line results in a higher heat flux density at the edge than in the center; the difference among the heat flux distributions on different wetted walls decreases due to the increase of initial velocity, showing a significant velocity effect. In the film boiling region, the heat transfer process is mainly concentrated in the initial stage of impact, and the gas film is the main heat transfer resistance. Based on conservation of mass and energy, a numerical model of film thickness is developed in this paper. The model predictions are in good agreement with the simulation results of this paper and others.