搜索

x

留言板

姓名
邮箱
手机号码
标题
留言内容
验证码

downloadPDF
引用本文:
Citation:

    李逢超, 付宇, 李超, 杨建刚, 胡春波

    Flowing characteristics of aluminum droplets impacting curved surface

    Li Feng-Chao, Fu Yu, Li Chao, Yang Jian-Gang, Hu Chun-Bo
    PDF
    HTML
    导出引用
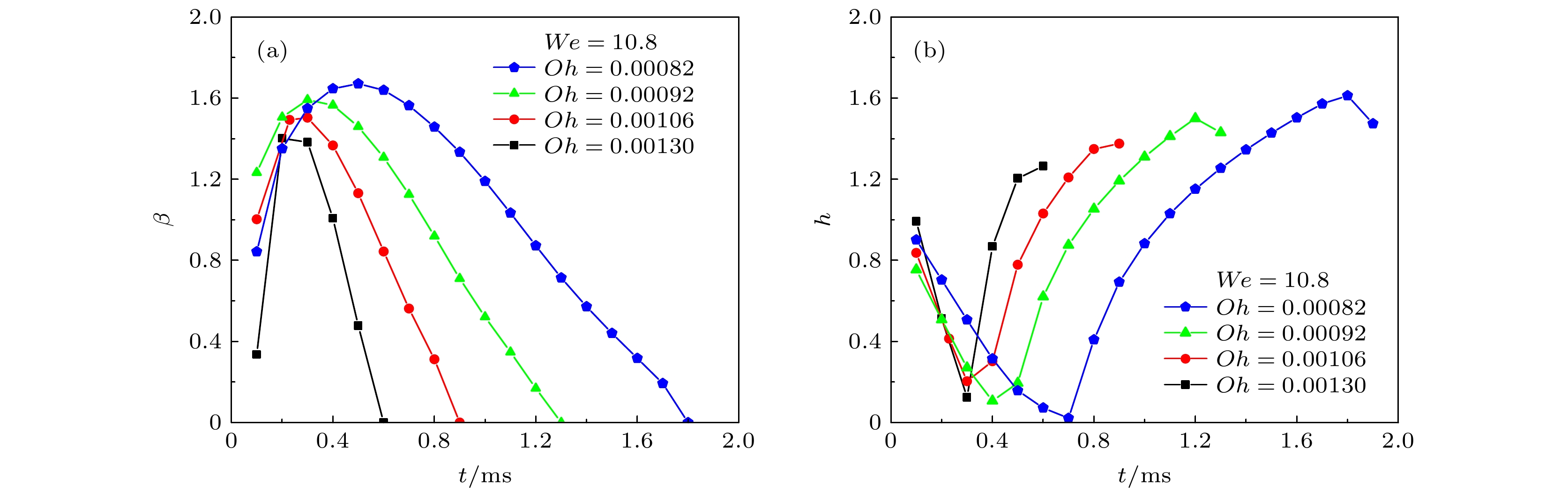
    • 为揭示高表面张力的铝液滴撞击弯曲壁面的铺展机制, 基于流体体积方法建立了铝液滴撞壁的数值计算模型, 通过分析韦伯数( We)、奥内佐格数( Oh)以及壁面曲率( k)对液滴碰壁过程的影响规律, 探索了铝液滴在曲面上的铺展特性与流动机理. 研究结果表明: 随着 We的增大, 铝液滴的撞壁行为模式依次表现为黏附、反弹以及破碎射流; 由于铺展和回缩过程都会产生能量耗散, 因此液滴回缩速度要小于其铺展速度. 在撞壁过程中, 接触点处产生了两次压力峰和速度峰, 分别出现在撞壁时刻与即将反弹时刻. 随着 k的增加, 液滴的最大铺展系数不断增加, 且在平面上最小, 但曲率变化对液滴铺展速度的影响并不突出. 基于计算结果, 通过引入 k对铺展系数预测模型作出了修正. 同时, 基于能量守恒定律, 对铝液滴在曲面上的流动过程进行分析, 建立了多因素耦合作用下的铺展系数计算模型. 与撞击平面相比, 液滴在曲面上的铺展系数不仅与液滴的运动参数、壁面的润湿性有关, 还与壁面曲率与液滴曲率之比有关. 本文提出的两种预测模型均能为实际的工程应用提供参考依据.
      In order to reveal the mechanism of reaction between aluminum droplet and curved wall, a numerical calculation model based on the volume of fluid method of aluminum droplet impacting curved wall is established. By analyzing the influence law of Weber number, Ohnesorge number and wall curvature on the process of droplet impacting the wall, the spreading characteristics and flow mechanism of droplet on curved surface are studied. The results show that the flow characteristics of aluminum droplets after impacting the wall are affected not only by inertial force, surface tension, and viscous force, but also by the structure of the wall. The behavior patterns of the droplets contain adhesion, rebound and splash under different Weber numbers. Because energy dissipation is produced in both spreading process and retracting process, the retracting speed of droplet is always less than its spreading speed. During the flow of the droplet, there are two pressure peaks and velocity peaks at the contact point, while the two peaks appear respectively at the moment when the droplet impacts the wall and when the droplet is about to rebound. In the behavioral mode of rebound, as Ohnesorge number increases, the maximum spreading diameter of the droplet gradually decreases, and the contact time is shorter. In the behavioral mode of adhesion, the spreading radius of the droplets is of oscillatory decay. Within the same period, the maximum spreading coefficient of the larger-Ohnesorge number droplets is smaller, and the decay rate is faster and the oscillation period is shorter. With the increase of wall curvature, the maximum spreading coefficient of droplet increases and that on the plane is the minimum. Based on the calculation results, the empirical formula is revised. Compared with the previous formula, it can well predict the maximum spreading coefficient on the curved surface, whose average error is within 3%. Further, according to the conservation of energy, theoretical models which predict the maximum spreading coefficients when droplets impact a curved and plate wall are also established. Compared with the scenario on the plane, the spreading coefficient of droplet on the curved surface is related to not only the motion parameters of droplet and the wettability of wall surface, but also the ratio of wall curvature to droplet curvature. More importantly, the new theoretical model takes into account the coupling effects of Weber number, Reynolds number, curvature ratio and contact angle, so it has stronger applicability and better robustness. The research results in this work will provide the theoretical basis for practical engineering application.
          通信作者:李超,lichao@nwpu.edu.cn
        • 基金项目:国家自然科学基金(批准号: 52006169, 51876178)资助的课题.
          Corresponding author:Li Chao,lichao@nwpu.edu.cn
        • Funds:Project supported by the National Natural Science Foundation of China (Grant Nos. 52006169, 51876178).
        [1]

        [2]

        [3]

        [4]

        [5]

        [6]

        [7]

        [8]

        [9]

        [10]

        [11]

        [12]

        [13]

        [14]

        [15]

        [16]

        [17]

        [18]

        [19]

        [20]

        [21]

        [22]

        [23]

        [24]

        [25]

        [26]

        [27]

        [28]

        [29]

      • 参数 数值 单位
        温度 1000 K
        压力 101325 Pa
        液滴密度 2357 kg/m3
        液滴黏度 1.178×10–3 Pa/s
        表面张力 0.871 N/m
        接触角 161 (°)
        下载: 导出CSV

        温度/K 密度/
        (kg·m–3)
        黏度/
        (10–3Pa·s–1)
        表面张力/
        (N·m–1)
        1200 2294 0.865 0.834
        1400 2232 0.694 0.797
        1600 2170 0.589 0.760
        1800 2108 0.518 0.723
        2000 2046 0.467 0.686
        下载: 导出CSV

        k $ {\beta }_{\mathrm{m}\mathrm{a}\mathrm{x}} $ $ {h}_{\mathrm{m}\mathrm{i}\mathrm{n}} $ t1/ms t2/ms tmax/ms
        0 1.394 0.192 0.6 0.9 2.3
        167 1.411 0.242 0.6 0.8 2.2
        250 1.418 0.257 0.6 0.8 2.2
        400 1.433 0.281 0.6 0.8 2.3
        下载: 导出CSV

        k ε Re We Relative error/%
        Hatta模型 Samkhaniani模型 Eq. (7) Eq.(32)
        167 0.083 2401 3.54 3.45 33.91 1.27 24.54
        167 0.083 3201 6.30 5.80 54.13 0.36 18.45
        167 0.083 4001 9.84 3.83 74.51 1.18 18.42
        167 0.083 4801 14.17 3.23 87.61 1.06 16.95
        250 0.125 2401 3.54 9.29 29.48 2.83 20.53
        250 0.125 3201 6.30 7.84 50.37 0.29 15.69
        250 0.125 4001 9.84 5.54 68.87 1.49 14.75
        250 0.125 4801 14.17 5.46 85.67 1.28 15.92
        400 0.2 2401 3.54 10.35 24.34 1.59 16.06
        400 0.2 3201 6.30 8.67 49.43 1.836 15.33
        400 0.2 4001 9.84 7.73 67.43 1.60 14.19
        400 0.2 4801 14.17 7.45 79.43 0.97 12.52
        下载: 导出CSV
      • [1]

        [2]

        [3]

        [4]

        [5]

        [6]

        [7]

        [8]

        [9]

        [10]

        [11]

        [12]

        [13]

        [14]

        [15]

        [16]

        [17]

        [18]

        [19]

        [20]

        [21]

        [22]

        [23]

        [24]

        [25]

        [26]

        [27]

        [28]

        [29]

      计量
      • 文章访问数:4693
      • PDF下载量:87
      • 被引次数:0
      出版历程
      • 收稿日期:2022-03-11
      • 修回日期:2022-03-31
      • 上网日期:2022-08-30
      • 刊出日期:2022-09-20

        返回文章
        返回