特邀综述
特邀综述
2022, 71 (18): 186701.
doi:10.7498/aps.71.20221322
摘要 +
早在20世纪50年代, 杨振宁先生和他的合作者们就意识到, 稀薄中性量子气体中最主要的相互作用效应可以被s-波散射长度来描述, 从而可以得到不依赖于粒子间相互作用的细节的普适描述. 这一洞见奠定了量子气体的理论基础. 他们还由此给出了玻色气体基态能量的表达式, 后来被称为“Lee-Huang-Yang修正”. 实验物理学家克服种种困难, 在近40年后的1995年, 才将冷原子气体冷却到量子简并. 此后, 冷原子物理展示出来种种优势, 包括相互作用和维度的可调控性以及测量的精密性, 这使之成为研究量子多体物理的理想平台之一. 多个冷原子实验观测到“Lee-Huang-Yang修正”的效应. 通过有效地降低系统维度, 冷原子实验对一维体系的研究, 还证实了杨先生在20世纪60年代提出的Yang-Yang thermodynamics. 2010年左右, 年逾八旬的杨先生再次研究一维可解模型, 他发现的一维多分量费米子系统的极限行为, 又很快被冷原子实验证实. 通过内态调控产生等效的人工维度, 冷原子体系还可以模拟高维体系的物理, 其中包括实验模拟了杨先生于20世纪70年代提出的SU(2)非阿贝尔规范场中的Yang monopole这一拓扑解. 这些冷原子物理的进展, 展示了杨先生的这些工作不仅具有理论的深度, 还对实际实验的发展具有长远的影响力.
专题: 低维材料的新奇物性
2022, 71 (18): 187302.
doi:10.7498/aps.71.20220872
摘要 +
当两个晶格常数不同或具有相对转角的二维材料叠加在一起时, 可形成莫尔超晶格结构, 其电学性质对层间堆垛方式、旋转角度和衬底具有很强的依赖性. 例如, 双层石墨烯的旋转角度减小到一系列特定的值(魔角)时, 体系的费米面附近出现平带, 电子-电子相互作用显著增强, 出现莫特绝缘体和非常规超导量子物态. 对于具有长周期性的莫尔超晶格体系, 层间相互作用所引起的晶格弛豫会使原子偏离其平衡位置而发生重构. 本文主要围绕晶格自发弛豫和衬底对石墨烯莫尔超晶格物性的影响展开综述. 从理论和实验的角度出发, 阐述旋转双层石墨烯、旋转三层石墨烯、以及石墨烯与六方氮化硼堆垛异质结等体系中自发弛豫对其能带结构和物理性质的影响. 最后, 对二维莫尔超晶格体系的研究现状进行总结和展望.
2022, 71 (18): 187401.
doi:10.7498/aps.71.20220638
摘要 +
超导现象自从1911年被发现以来一直是凝聚态物理领域的热门研究方向. 近年来, 二维范德瓦耳斯材料在超导领域中备受瞩目, 展现出多种新的物理现象, 如伊辛超导体、拓扑超导等, 可以为探索丰富多彩的物理效应和新奇物理现象提供一个非常广阔的研究平台. 本文从二维范德瓦耳斯材料的超导特性入手, 着重论述了二维范德瓦耳斯材料的分类、合成方法、表征和调控手段等方面. 最后指出了一些当前需要解决的问题, 并对二维范德瓦耳斯材料在超导领域的未来前景进行了展望.
2022, 71 (18): 188101.
doi:10.7498/aps.71.20220895
摘要 +
由于量子效应, 低维石墨烯体系中具有离域的p壳层磁性, 其性质迥异于局域的d/f壳层电子. 该离域特性使精准调控纳米石墨烯的磁基态和磁交换作用变得有可能, 有望精准构筑高质量的磁性石墨烯量子材料. 近年来, 由于表面化学和表面物理的深度结合, 在单原子精度下研究纳米石墨烯的磁性变为可能, 打开了一个研究有机量子磁体的新方向. 本综述首先概述纳米石墨烯磁性的发展过程和研究现状, 然后讨论纳米石墨烯中磁性的产生机制, 接着回顾近年来实验的研究进展, 最后对低维磁性石墨烯未来发展可能遇到的挑战与机遇进行展望.
封面文章
2022, 71 (18): 186401.
doi:10.7498/aps.71.20221024
摘要 +
近些年, 人们对拓扑材料体系的认知得到了飞速发展. 随着量子信息科学与技术成为当下科学研究的热点, 具有大能隙高稳定性的低维拓扑材料有从基础研究向应用探索的趋势发展. 如何实现高质量、大面积的单晶生长是影响拓扑材料走向实用化的重要一步. 本文报道了在具有Sb原子终止面的InSb(111)衬底上利用分子束外延技术生长低维拓扑绝缘体锡烯与铋烯的实验结果. 实验中发现, 无论是锡烯还是铋烯, 起始外延阶段都会在衬底上形成单层的浸润层. 由于锡原子之间的相互作用远强于其与衬底的表面结合力, 因此浸润层呈岛状生长, 晶畴岛与岛合并的过程中边界效应明显, 导致薄膜实际上由大量小晶畴拼接而成, 畴壁处的缺陷难以避免. 而浸润层的晶体学质量又限制了后续锡烯薄膜的外延行为, 因此实验发现难以实现高质量且层数准确可控的单晶锡烯薄膜生长. 而铋原子与衬底表面的结合能强于原子之间的相互作用, 能够在较高温度下实现浸润层的单层层状生长, 高质量的浸润层为后续铋烯的生长提供了良好的外延过渡层, 因此发现实验中更容易得到大面积的铋烯薄膜. 本文实验结果及相关理解对于利用半导体衬底生长低维拓扑晶体薄膜具有指导意义.
2022, 71 (18): 187202.
doi:10.7498/aps.71.20220905
摘要 +
在半填充的朗道能级, 复合费米子手征p波配对的Moore-Read态具有e/4的分数激发, 其中部分这种准粒子服从非阿贝尔统计, 有望用于实现拓扑量子计算. 双层石墨烯由于其电子的SU(4)对称性和电场对其性质的方便调控性, 成为研究多分量量子霍尔态的理想平台, 是实现非阿贝尔统计的候选者. 本文利用干法转移技术制备了双层石墨烯/氮化硼异质结, 通过电学输运测量展示了双层石墨烯在调节外电场和磁场下的量子霍尔态行为. 在强磁场下, 观测到了朗道能级填充因子为–5/2, –1/2, 3/2的伴随着量子化霍尔电导的不可压缩态. 随着磁场继续增强, 这些偶数分母量子霍尔态特征先增强再减弱, 对应朗道能级波函数的极化. 实验结果暗示观察到的这些偶数分母分数量子霍尔态属于由Pffafian波函数描述的拓扑态.
总论
2022, 71 (18): 180201.
doi:10.7498/aps.71.20220726
摘要 +
提出了一个考虑空间扩散与发酵期时滞的社交网络谣言传播模型, 重点研究了扩散与时滞对在线社交网络中谣言时空传播的影响. 首先, 分析了谣言传播平衡点的存在性, 并得到了基本再生数
$R_{0}$
; 其次, 运用Roth-Hurwitz稳定判据分析了谣言传播平衡点的局部稳定性, 并讨论了扩散诱导的Turing不稳定; 最后, 选取时滞为分岔参数, 建立了谣言传播模型的Hopf 分岔条件. 数值仿真结果表明, 扩散和时滞的出现都能使得谣言传播模型的稳定性发生根本性改变. 本文从时间和空间两个维度扩展了传统谣言传播动力学仅考虑时间演化的局限, 更加真实地模拟了谣言在现实社会中的时空传播规律, 为谣言传播的治理提供了全新的角度和思路.
2022, 71 (18): 180301.
doi:10.7498/aps.71.20220491
摘要 +
基于广义洛伦兹Mie理论, 研究了单轴各向异性球形粒子对两束具有任意传播和极化方向的零阶贝塞尔波束的传播和散射特性, 并与单零阶贝赛尔波束入射单轴各向异性球形粒子时的传播和散射特性进行了对比研究. 利用球矢量波函数的正交关系及坐标旋转定理, 导出了任意传播和极化方向零阶贝塞尔波束的球矢量波函数的展开形式, 通过矢量叠加得到了总入射场的展开系数. 基于傅里叶变换方法和切向连续的边界条件, 得到了单轴各向异性球内部电磁场的球矢量波函数展开式, 并导出了散射系数解析表达式. 将零阶贝塞尔波束退化成平面波, 通过将其入射到单轴各向异性球形粒子的雷达散射截面角分布与文献结果进行对比, 验证了本文理论及程序的正确性. 数值分析了入射角、锥角及极化角等参数对雷达散射截面角分布的影响. 本文理论和数值结果希望能应用于多波束入射下各向异性粒子、生物细胞等复杂粒子体系的散射、粒径分析以及光学俘获等特性的研究中.
2022, 71 (18): 180701.
doi:10.7498/aps.71.20220185
摘要 +
针对实际多导体传输线结构中不同线缆导体之间处于非平行分布状态的几何特征, 讨论了基于传输线模型和分布参数模型构建的线缆电磁耦合模型, 通过对每个线缆网格分别进行分布参数提取和代入到传输线模型中计算, 实现将线缆电磁耦合模型应用到非平行线缆结构电磁耦合计算. 以实际线缆单元结构为对象, 将所提模型的计算结果分别与全波算法计算结果和实验结果对比, 完成了非平行线缆电磁耦合模型的准确性验证. 在完成准确性验证的基础上, 对比分析了平行线缆和非平行线缆两种结构的电磁耦合响应结果, 展示了线缆非平行结构特征对实际线缆电磁耦合响应的显著影响, 证实了在实际线缆电磁耦合仿真中必须考虑非平行线缆结构特征的影响.
2022, 71 (18): 180702.
doi:10.7498/aps.71.20220955
摘要 +
半导体型气体传感器对还原性气体普遍存在特异性识别不强的问题, 单个传感器很难实现识别混合气体的功能. 为了解决这一系列问题, 本文利用纳米气体传感器矩阵来增强对不同气体的特异性识别和混合气体识别. 首先利用水热法制备4种纳米气敏结构, 然后结合微机电系统制成传感器矩阵, 对石化领域中几种关键气体及其混合气体进行了气敏响应测试, 最后利用主成分分析算法进行了气体成分分析. 研究发现, 混合气体会对单个传感器的识别产生很大干扰, 而通过纳米传感器矩阵识别和主成分分析算法处理后, 不同气体会呈现不同的区域分布, 并随浓度呈现一定的方向性. 由此, 不同气体及其浓度的变化可以被准确地区分开来. 而对于混合气体识别同样满足这样的规律, 且混合气体将会分布在所组成的单一气体围成的扇形区域内. 实验表明, 纳米传感器矩阵和主成分分析方法为复杂气体种类和浓度识别提供了方向.
基本粒子物理学与场
编辑推荐
2022, 71 (18): 181101.
doi:10.7498/aps.71.20220475
摘要 +
通过构造外势与泵浦的空间分布, 设计了一维非相干泵浦激子极化凝聚体系统满足的
$ {\cal{PT}} $
对称模型. 在弱非线性效应情况下, 确定了体系的
$ {\cal{PT}} $
对称相变点, 展现了线性谱的特征. 在正常非线性效应情况下, 找到了零背景的亮孤子、零背景的多极暗孤子、非零背景的多极对称暗孤子、对称破缺暗孤子、非零背景的凹陷、凸起暗孤子, 并讨论了外势虚部与非均匀泵浦对孤子轮廓与孤子稳定性的影响. 通过分析孤子的轮廓与稳定性, 厘清了
$ {\cal{PT}} $
对称外势与非均匀泵浦之间的竞争关系, 给出激发各种亮、暗孤子的方案, 并界定了这些孤子的存在与稳定区域. 最后, 通过调制
$ {\cal{PT}} $
对称外势虚部实现了对
$ {\cal{PT}} $
对称破缺暗孤子的调控, 揭示了极化子凝聚体系统在全光开关等光信息处理方面的潜在应用.
原子和分子物理学
2022, 71 (18): 183202.
doi:10.7498/aps.71.20212213
摘要 +
使用半经典回碰模型和求解含时薛定谔方程的方法, 数值研究了电离电子的纵向初速度在氢原子的蜘蛛状动量谱干涉结构中的作用. 对光电子动量谱的纵向和横向动量分布性质的数值研究结果表明, 可以从光电子动量谱的纵向动量分布获取电离电子纵向初速度的信息. 研究发现, 无论将初速度视为多个常数亦或是多段分布, 均能重建完整的蜘蛛状干涉结构, 可见用常数值来描述电子的初速度有待深入研究. 另外, 数值求解含时薛定谔方程的结果也与半经典回碰模型的模拟结论相一致, 可以互相印证. 本文的研究结果表明, 纵向初速度在强激光脉冲电离产生的光电子动量谱中起着重要作用, 速度的分布情况还需结合非绝热过程深入研究.
电磁学、光学、声学、传热学、经典力学和流体动力学
2022, 71 (18): 184101.
doi:10.7498/aps.71.20220695
摘要 +
混合显-隐式时域有限差分方法的时间步长只由空间两个方向上的网格大小决定, 因而该方法被广泛应用于沿一个方向具有精细结构的电磁目标的模拟. 本文通过对传统时域有限差分方法基本公式进行近似, 给出适用于线性、非色散空间, 一维精细结构电磁目标模拟的通用混合显-隐式时域有限差分方法. 在通用混合显-隐式时域有限差分方法中, 通过媒质编号索引和迭代系数空间定位实现三对角矩阵的自动构建, 引入等效参数方法解决麦克斯韦方程微分形式在不同介质分界面失效的问题, 引入卷积完全匹配层边界条件对计算区域进行截断. 此外, 本文提出了一种缩减三对角矩阵数量的方法, 该方法可有效降低程序运行所需内存, 提高程序运行效率. 应用通用混合显-隐式时域有限差分方法仿真了平面波照射介质板和双频微带倒F天线两个模型, 数值计算结果与传统时域有限差分方法和CST软件的计算结果一致, 但与传统时域有限差分方法相比, 通用混合显-隐式时域有限差分方法的计算效率大大提高.
编辑推荐
2022, 71 (18): 184201.
doi:10.7498/aps.71.20220665
摘要 +
吸波材料广泛应用于国防雷达波隐身和民用电磁屏蔽领域, 吸波材料的吸波性能由复合材料的电磁参数和厚度共同决定. 在实际加工过程中, 吸波材料的反射损耗峰强度随厚度的变化关系和带宽的理论设计与工程实践存在一定偏离, 并且反射损耗吸收峰的强度随厚度变化规律和反射损耗吸收峰的带宽机理研究鲜有报道, 因此, 对吸波材料的反射损耗峰的强度随厚度的变化关系及带宽机理的深入性原理研究有着迫切的需求. 本文通过共沉淀-还原扩散工艺制备易面型Y2Co17/聚氨酯(PU)软磁复合材料并测量得到电磁参数, 基于界面反射模型研究了雷达波在吸波涂层空气界面的反射性能, 确定了匹配阻抗和吸波材料匹配厚度的依赖关系, 进一步利用匹配阻抗参数设计出4—18 GHz内不同厚度的吸波复合材料反射损耗峰强度持续稳定地小于 –10 dB, 6—18 GHz内不同厚度的吸波复合材料反射损耗峰强度持续稳定地小于 –20 dB. 根据界面反射模型对匹配厚度处反射损耗峰的带宽进行了深入的原理性讨论, 理论计算与测量值吻合.
编辑推荐
2022, 71 (18): 184202.
doi:10.7498/aps.71.20220506
摘要 +
基于原子热运动的极化率-动量锁定特性及腔引起的强耦合特征, 设计并实现了一套无磁的光学互易-非互易传输转换方案. 理论和实验证实, 耦合场条件决定了系统的非互易性. 在单束行波场作用下, 由于多普勒效应, 热原子中的非互易性取决于耦合场的传播方向. 因此, 通过改变对向耦合场的开闭, 可控制基于内腔电磁诱导透明的双路单信道光学非互易传输. 而在两束对向耦合场同时作用下, 腔透射由单暗态转变为双暗态极子峰, 其互易性输出依赖于两束耦合场之间的频率差. 于是通过调谐频率差可实现基于双暗态极子峰的双路多信道互易-非互易传输调控.
编辑推荐
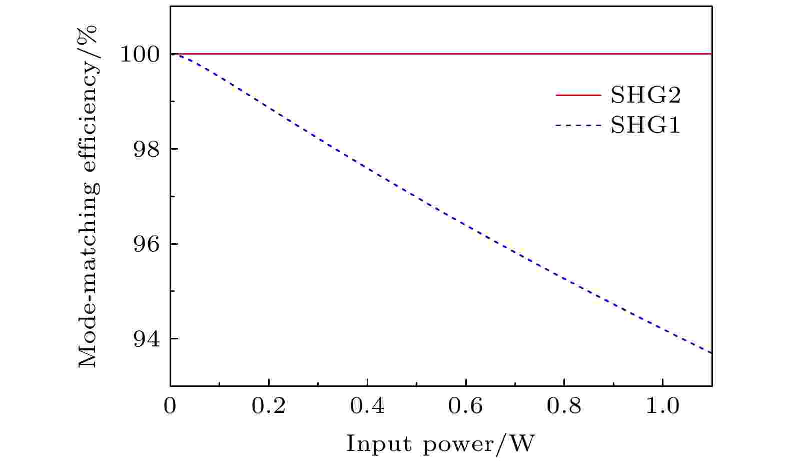
2022, 71 (18): 184203.
doi:10.7498/aps.71.20220575
摘要 +
二次谐波过程是制备高功率、宽波长范围激光的有效途径. 在二次谐波过程中, 晶体的热透镜效应是限制转换效率进一步提高的重要因素, 热透镜效应对二次谐波转换效率的影响随着基频光功率的增大而加剧. 本文理论分析了不同半整块腔型中热透镜效应对转换效率的影响关系; 实验上搭建了两种腔型进行高效外腔倍频制备532 nm激光, 测量其倍频转换效率随基频光功率的变化关系. 对于平凹型半整块腔, 在输入光功率为800 mW时, 产生747 mW的532 nm激光输出, 得到最佳的转换效率为93.4% ± 3%; 对于双凹型半整块腔, 在输入光功率为600 mW时, 产生529 mW的532 nm激光输出, 得到的最佳转换效率为88.2% ± 3%. 研究表明, 热透镜效应对双凹型半整块腔的转换效率影响相对较大, 且随着腔内损耗的增加而加剧; 相比于双凹型半整块腔, 平凹型结构可以实现更高效的倍频转换. 本文的理论及实验结果可在量子信息科学、光学频率计量以及生物医学等领域的研究中发挥重要作用.
2022, 71 (18): 184204.
doi:10.7498/aps.71.20220691
摘要 +
在考虑光学微腔中高阶色散效应的情况下, 以耦合非线性薛定谔方程为理论模型, 研究了高阶色散作用下双耦合微腔内克尔光频梳的稳定性和非线性动力学, 并讨论了各阶色散参数对腔内光场演化和光谱特性的影响. 理论分析结果表明, 三阶色散的加入使得参量空间的稳定域扩大, 周期性变化的呼吸孤子态和混沌态转变为稳定的亮孤子态. 此外, 各高阶色散项及其组合对光频梳的光谱特性包括最大失谐、腔内脉冲峰值功率、色散波频谱位置等有显著影响. 具体地, 三阶色散和正四阶色散能够展宽光谱, 增强色散波; 而负四阶色散抑制色散波产生, 得到对称的孤子频率梳; 五阶色散可以调控光孤子的漂移方向和速度. 理论研究结果对于双耦合微腔实验中的色散调控及设计、稳定性研究具有重要价值.
2022, 71 (18): 184205.
doi:10.7498/aps.71.20220742
摘要 +
结合腔衰荡光谱(CRDS)与波长调制-直接吸收光谱(WM-DAS), 建立了一种宽量程、免标定的气体体积分数的检测方法, 具有CRDS高信噪比及WM-DAS快速和可测量绝对体积分数的优点. 基线衰荡时间(τ0)可通过测量谱线中心频率处吸收率(WM-DAS)和衰荡时间(CRDS)计算得到, 无需实时校准, 极大提升了CRDS测量速度. 室温常压下, 在6336.617 cm–1处不同体积分数的H2S测量结果表明, 该方法动态测量范围可扩展到4个数量级以上, 测量精度相比WM-DAS得到了提高, 且检测限可在40 s内达到1 × 10–9.
2022, 71 (18): 184206.
doi:10.7498/aps.71.20220515
摘要 +
尿嘧啶是构成RNA链最基本的结构单元之一, 其光辐射下的光物理和光化学过程与光致癌变等过程紧密关联, 因而受到广泛的关注. 本文采用飞秒瞬态吸收光谱技术, 研究了在紫外光辐射下, 溶剂效应对尿嘧啶激发态超快动力学的影响. 实验利用一束264 nm的激发光将尿嘧啶激发到1(π, π*)态(即S2态). 然后, 利用覆盖范围为280—360 nm的紫外超连续谱作为探测光, 实现对尿嘧啶激发态和基态动力学的同步探测. 测量发现, 尿嘧啶在乙腈溶剂中显现了两个动力学衰减过程, 即9.8 ps (在300 nm处)和>1000 ps, 分别对应于振动冷却过程和三重态的衰减过程. 这一观察与水溶液中的结果差异很大, 因为在水溶液中基本没有测量到三重态的布居. 通过对一系列溶液展开测量, 发现尿嘧啶的超快动力学过程依赖于溶剂形成氢健能力的大小. 越容易形成氢键的溶剂, 尿嘧啶越不容易布居到三重态.
2022, 71 (18): 184207.
doi:10.7498/aps.71.20220536
摘要 +
光学衍射神经网络(optical diffraction neural network, ODNN)以光波作为计算媒介执行神经网络的逻辑分析与运算功能, 具有高速度、低功耗及并行处理的优势. 本文设计了一种仅有三层相位调制的ODNN, 提出了基于目标空间频率一级谱分布提升ODNN的数字识别性能的方法, 经优化获得了系统最优的像素大小、衍射距离, 以及最佳的三层相位分布. 设计的ODNN对MNIST手写体数字集识别准确率达到了95.3%, 高于文献中采用五层衍射神经网络实现的准确率91.75% (Lin X, Rivenson Y, Yardimci N T, Veli M, Luo Y, Jarrahi M, Ozcan A
2018
Science
3611004
), 且精简了系统结构. 结合ODNN高速度、低功耗的优点, 提出的基于频谱分析方法有利于提高ODNN的性能, 使ODNN在边缘计算领域有巨大的应用潜力.
2022, 71 (18): 184208.
doi:10.7498/aps.71.20220894
摘要 +
为分析恶劣空间辐射环境导致星敏感器性能退化、姿态测量精度降低的原因, 深入研究了60Co-γ 射线辐射环境下互补金属氧化物半导体有源像素传感器(complementary metal oxide semiconductor active pixel sensor, CMOS APS)电离总剂量效应对星敏感器星图识别的影响机理. 通过搭建外场观星试验系统, 实际观测天顶和猎户座天区, 经过星图数据采集、星点提取与星图识别等试验流程, 获得60Co-γ 射线辐照后CMOS APS噪声对星图背景灰度均值、识别星点数量的影响机理, 并提出一种寻找被辐射噪声湮没星点的识别算法. 通过理论推导分别建立了CMOS APS暗电流噪声、暗信号非均匀性噪声和光响应非均匀性噪声与星点质心定位误差的定量关系. 研究结果表明60Co-γ 射线辐照后星敏感器星图背景灰度均值增大、星点识别数量减少, CMOS APS辐照后噪声增大导致星点质心定位误差增大, 从而影响星敏感器的姿态定位精度, 该研究结果为高精度星敏感器的设计和抗辐射加固提供一定的理论依据.
2022, 71 (18): 184301.
doi:10.7498/aps.71.20220746
摘要 +
被动声呐探测位于深海海底弹射区的声源时空时采样能力有限, 且声呐接收信噪比较低, 导致声源深度估计方法性能较差. 针对这一问题, 本文基于射线模型推导了干涉结构峰值条纹关于声源位置的理论表达式, 提出一种基于角度-距离干涉结构峰值特性的声源深度估计方法, 该方法包括利用峰值条纹起伏特性估计声源深度和干涉结构重构两个部分. 在低信噪比条件下, 被噪声淹没的峰值条纹会重现于重构后的干涉结构, 使得声源深度估计方法可以适用于海底弹射区的低信噪比环境. 该方法同时结合阵列空时累积增益和干涉结构的图像低秩特性. 通过典型深海波导蒙特卡罗仿真实验验证, 该方法可在低信噪比条件下对海底弹射区声源的深度进行较为准确的估计.
2022, 71 (18): 184302.
doi:10.7498/aps.71.20220847
摘要 +
搭载有磁性纳米颗粒的包膜微泡, 作为一种新型试剂在多模造影、溶栓治疗及靶向药物输运等多领域得以应用及研究. 常通过原位测量技术进行微泡研究, 而散射解析模型是声反演技术的基础. 由空气内核、均匀悬浮磁纳米颗粒的磁流体层及磷脂外层组成多膜层结构载磁微泡, 考虑磁流体密度变化及磷脂层黏弹性, 通过简正级数法求解多层结构微泡各区域的散射声场. 将载磁微泡散射模型与其他气泡进行对比, 并数值分析载磁微泡共振散射特性, 包括初始半径、磁纳米颗粒体积分数、磁流体层厚度及磷脂层特性参数等对微泡散射影响. 结果表明: 当膜层中磁纳米颗粒的体积分数α不超过0.1时, 颗粒对微泡共振散射的影响具有两面性, 既可增强也可减弱散射, 主要取决于微泡半径; 存在一个临界微泡半径值, 微泡半径超过此临界则颗粒将增强微泡散射, 反之减弱; 微泡半径一定,α不超过0.1时,α取值越高微泡散射越强; 膜层材料的拉梅常数和厚度越小的同尺度微泡散射更强. 该研究对载磁微泡结构优化设计、原位监测及诊疗应用有理论意义.
2022, 71 (18): 184501.
doi:10.7498/aps.71.20220329
摘要 +
研究了垂直振动条件下, 干、湿玻璃珠样品的体积模量和相对耗散. 实验发现: 1)在低饱和度下, 干、湿玻璃珠样品的体积模量随压强幂律变化, 与基于赫兹接触势的有效介质理论预言的1/3幂律关系接近; 加入少量液体会增加体积模量. 同一压强和液体含量下, 随着液体黏度的增大, 体积模量随之增加. 基于赫兹接触力学, 提出了有效弹性网络模型来阐述湿玻璃珠样品体积模量的增加机制. 2)干、湿玻璃珠样品的相对耗散随压强幂律降低, 湿玻璃珠样品的相对耗散与液体黏度呈正比. 3)随着应变幅值的增大, 湿玻璃珠样品表现出类似干玻璃珠样品的软化行为, 且液体黏度会抑制玻璃珠样品的软化行为.
2022, 71 (18): 184701.
doi:10.7498/aps.71.20220442
摘要 +
为揭示高表面张力的铝液滴撞击弯曲壁面的铺展机制, 基于流体体积方法建立了铝液滴撞壁的数值计算模型, 通过分析韦伯数(We)、奥内佐格数(Oh)以及壁面曲率(k)对液滴碰壁过程的影响规律, 探索了铝液滴在曲面上的铺展特性与流动机理. 研究结果表明: 随着We的增大, 铝液滴的撞壁行为模式依次表现为黏附、反弹以及破碎射流; 由于铺展和回缩过程都会产生能量耗散, 因此液滴回缩速度要小于其铺展速度. 在撞壁过程中, 接触点处产生了两次压力峰和速度峰, 分别出现在撞壁时刻与即将反弹时刻. 随着k的增加, 液滴的最大铺展系数不断增加, 且在平面上最小, 但曲率变化对液滴铺展速度的影响并不突出. 基于计算结果, 通过引入k对铺展系数预测模型作出了修正. 同时, 基于能量守恒定律, 对铝液滴在曲面上的流动过程进行分析, 建立了多因素耦合作用下的铺展系数计算模型. 与撞击平面相比, 液滴在曲面上的铺展系数不仅与液滴的运动参数、壁面的润湿性有关, 还与壁面曲率与液滴曲率之比有关. 本文提出的两种预测模型均能为实际的工程应用提供参考依据.
编辑推荐
2022, 71 (18): 184702.
doi:10.7498/aps.71.20220212
摘要 +
为使锂离子电池组的散热达到更高的安全性, 设计了锂离子电池组的一种液冷冷却模型, 该模型采用两种流体进行冷却. 对模型中不同雷诺数、不同微通道个数、不同微通道半径等条件下的电池温度分布进行了模拟研究. 模拟结果表明: 雷诺数对锂离子电池组的散热影响存在临界值; 对各条件进行优化分析, 优化后的液冷冷却模型在理论上能有效降低锂离子电池组的最高温度, 与单体电池在2C放电倍率的工况下相比, 锂电池最高温度下降了26.24 K, 并改善了锂离子电池组的温度分布均匀性.
气体、等离子体和放电物理
2022, 71 (18): 185201.
doi:10.7498/aps.71.20220945
摘要 +
Fermi-Pasta-Ulam-Tsingou (FPUT)回归现象指一个多模非线性系统能周期性回到初始激发态的一个复杂的非线性过程, 与该非线性系统的调制不稳定性密切相关. 针对实验中能如何较为方便地观察到FPUT回归现象以及能如何观察到更多FPUT循环的问题, 本文基于调制不稳定性重点分析研究了施加在平面波上的扰动振幅和扰动频率对所观察到的FPUT循环的影响. 我们发现, 扰动振幅可以极大程度地影响所观察到的FPUT现象: 1) FPUT循环数对扰动振幅的值非常敏感, 扰动振幅越大, FPUT循环数越多; 2) 扰动振幅较小(较大)时, 相应的FPUT循环频谱就比较规则(很不规则). 相比之下, 扰动频率对FPUT循环数的影响不是很大(在最佳调制频率附近的一个小范围内, 可观察到FPUT循环最多), 但是它对脉冲周期性振幅最大位置处所激发的高阶频率成分的影响比较大, 扰动频率越大(越小), 其可以激发的高阶频率成分越少(越多). 本文的研究结果将对FPUT实验的观测和理论发展提供一定的帮助.
2022, 71 (18): 185202.
doi:10.7498/aps.71.20220729
摘要 +
中国首台准环对称仿星器(CFQS)是目前世界上唯一在建的准环对称仿星器. 本文利用回旋弗拉索夫代码GKV开展了CFQS中离子温度梯度模(ITG)的模拟研究. 在静电绝热条件下, 模拟的结果给出了CFQS中纯的ITG与密度梯度和温度梯度间的依赖关系. ITG的激发存在温度梯度阈值, 此温度梯度阈值受到密度梯度的影响. ITG的增长率不仅与密度梯度的绝对值相关, 还取决于密度梯度的正负, 负密度梯度对ITG具有强的抑制作用. 非绝热的模拟结果表明, 捕获电子对ITG具有去稳作用, 电子温度梯度也对ITG具有去稳作用. 当考虑电磁条件时, 有限的等离子体比压会抑制ITG, 导致ITG向阿尔芬离子温度梯度模/动理学气球模(AITG/ KBM)的转化. 当密度和温度梯度都较大时, KBM的最大增长率与密度梯度和温度梯度近似成线性关系.
凝聚物质:电子结构、电学、磁学和光学性质
2022, 71 (18): 187201.
doi:10.7498/aps.71.20220584
摘要 +
Cd3As2具有高电子迁移率、相对较低的热导率及良好的空气稳定性, 有望应用于热电领域. 本文首先采用高气压烧结技术抑制As元素挥发, 合成了(Cd1–xMnx)3As2(x= 0, 0.05, 0.1)母合金, 然后通过化学气相沉积蒸发母合金粉末在云母基底上制备了Mn3As2掺杂的多种Cd3As2纳米结构(高温区形成竹笋纳米线结构, 低温区形成薄膜). 系统研究了掺杂对相组成、元素含量、微结构及热电性能的影响. 所有纳米结构的主相均为α相, 并伴有少量α'相, Mn3As2掺杂导致样品中出现α''相和Mn2As杂相. 电子能谱分析表明这些纳米结构中Mn的实际原子百分比约为0.02%—0.18%. 掺杂使薄膜的微观形貌从自组装菜花结构转变为贝壳结构, 并使纳米线直径显著减小. 与薄膜相比, 竹笋纳米线结构的室温电导率提高一个数量级, 达到247—320 S/cm, 这归因于更好的结晶质量和竹笋之间的纳米线相互连接形成了高导电网络, 导致更高的载流子浓度和迁移率. 竹笋纳米线结构的最大室温功率因子为0.144 mW/(m·K2), 是薄膜样品的14倍.
2022, 71 (18): 187301.
doi:10.7498/aps.71.20220627
摘要 +
(111)取向的钙钛矿异质结具有独特的六角蜂窝状双层结构, 展现出丰富独特的物理现象, 因而近年来得到越来越多的关注. 本文利用第一性原理计算研究了(111)取向的(SrVO3)5/(SrTiO3)1异质结, 计算结果表明该体系为半金属铁磁体. 进一步的研究表明该体系的电、磁性质可以通过施加面内应变和界面元素掺杂进行调控: 在4%的面内压缩应变到2%的面内拉伸应变范围内, 该体系保持铁磁半金属性质, V 3d电子是体系半金属性的主要来源; 当面内压缩应变增加到8%或面内拉伸应变增加到4%时, 该体系的基态变为反铁磁绝缘体; 通过异质结界面处Ti-V阳离子的混合掺杂, 该体系可以实现从铁磁半金属向铁磁绝缘体的转变. 本文的研究结果表明, 该体系在自旋电子学领域具有很高的应用潜力, 本文研究为利用(SrVO3)5/(SrTiO3)1(111)异质结探索量子相变提供了理论参考.
2022, 71 (18): 187303.
doi:10.7498/aps.71.20220609
摘要 +
阻变存储器由于具有读取速度快、存储密度大、存储时间长、低功耗和结构简单等主要特点, 已被看为下一代非易失性随机存储器的重要候选者. 本文研究了Ni/ZnO/BiFeO3/ZnO/ITO多层纳米薄膜器件的电阻开关特性, 发现器件具有明显的双极性电阻开关效应, 而且样品的电阻开关特性随外加磁场的干涉会有明显变化, 包括开关比、耐受性和电导率. 磁场对Ni/ZnO/BiFeO3/ZnO/ITO薄膜器件的显著调控作用应该起源于磁场使得Ni/ZnO界面处的肖特基势垒改变. 这项工作可以为磁控电阻开关效应提供一种可能的新机制, 在未来的存储器器件中具有重要的潜在应用价值.
编辑推荐
2022, 71 (18): 187304.
doi:10.7498/aps.71.20220529
摘要 +
为获得更优性能的无铟透明导电薄膜, 需要在不损害薄膜透光性的同时提高导电性能. 本文采用紫外光刻和磁控溅射, 在Cu网格的表面覆盖Al掺杂的ZnO (ZnO:Al, AZO) 薄膜, 制备透明导电的AZO/Cu网格复合膜. Cu网格的线宽低至15 μm, 透光性极高, 并且导电性能得到大幅度改善, 覆盖稳定的透明导电AZO薄膜为Cu网格提供屏障保护. 通过六边形网格形状的设计和工艺参数的优化, 制备出的复合膜的可见光波段透过率达到86.4%, 方块电阻降低至4.9 Ω/sq, 同时实现了高透光性和高导电性. 成本低廉、光电性能好且环境稳定的AZO/Cu网格复合膜在透明电子领域具有广泛的应用前景, 将其用于透明电加热膜, 可在较低电压下实现快速、均匀、稳定的电热响应, 有望作为透明的面发热膜应用于除雾除霜玻璃、热疗贴膜等.
2022, 71 (18): 187801.
doi:10.7498/aps.71.20220480
摘要 +
基于铯原子菱形能级6S1/2(F= 4)→6P3/2(F'= 5)→6D5/2(F''= 6)→7P3/2(F'= 5)→6S1/2(F= 4)系统, 在波长为852 nm (6S1/2→6P3/2)和917 nm (6P3/2→6D5/2)两红外抽运激光共同激励下, 通过四波混频过程频率上转换产生了波长为455 nm (7P3/2→6S1/2)的相干、准直蓝光. 实验上详细研究了抽运光偏振组合、功率、铯原子气室温度对蓝光强度的影响. 在此基础上, 通过增加了一束波长为894 nm (6S1/2(F= 3)→6P1/2(F'= 3, 4))的反抽运激光, 将更多的原子抽运回基态6S1/2(F= 4)超精细能级, 显著增加了相干蓝光功率的输出, 在水下自由空间光通信领域等有一定的应用价值.
编辑推荐
2022, 71 (18): 187802.
doi:10.7498/aps.71.20220801
摘要 +
基于柔性超构材料从理论和实验两方面研究其对太赫兹波偏振态的宽带调控. 首先以空间对称性破缺的L型金属-介质-金属结构为基本单元, 构造出太赫兹手性超构材料. 当太赫兹波与其相互作用时会产生一系列电偶极子, 其时间响应可通过改变复合结构的几何参量来有效地调控, 进而实现太赫兹波从线偏振态到圆偏振态的宽带高效转换. 理论分析表明该手性超构材料中电偶极子的辐射随着入射角变化基本保持不变, 从而利用该太赫兹手性超构材料可以构造能产生圆偏振态的柔性太赫兹波片, 基于等效电路模型给出了该柔性太赫兹波片在弯曲情况下的工作原理. 实验上, 以柔性聚合物为介质层, 利用光刻等微加工技术制备出基于该超构材料的柔性太赫兹波片, 结果表明当线偏振太赫兹波入射到样品时, 该样品能够在0.46—0.62 THz宽带范围内实现由线偏振态到圆偏振态的高效转换, 同时在弯曲程度不同的情况下出射波均能保持稳定的圆偏振态. 这种基于柔性超构材料来宽带调控太赫兹波偏振态的方案将有望应用于6G通信、分子探测等领域.
物理学交叉学科及有关科学技术领域
2022, 71 (18): 188102.
doi:10.7498/aps.71.20220794
摘要 +
金刚石中浅表层氮空位色心在磁探测、量子传感等方面表现出优异的灵敏度和分辨率. 相比于其他制备方法, 低能碳离子注入具有要求金刚石纯度低、不引入新的杂质原子等优点, 但其氮空位色心的形成机理尚不明确. 本文采用低能碳离子注入和真空退火工艺在金刚石浅表层创建氮空位色心, 并通过拉曼光谱、X射线光电子能谱以及正电子湮没分析, 揭示了碳离子注入金刚石制备氮空位色心的机理. 结果表明: 碳离子注入金刚石在950 ℃真空退火后呈现出显著的氮空位色心发光. 碳离子注入后金刚石浅表层表现出晶格畸变与非晶碳的损伤区, 并产生了碳-空位簇缺陷(包裹碳原子的空位簇). 在真空退火过程中损伤区通过畸变区的恢复与非晶碳区的固相外延逐步转变为金刚石结构, 并伴随着碳-空位簇缺陷的不断解离. 在850 ℃和900 ℃退火条件下损伤区结构得到部分修复, 而在950 ℃ 退火时损伤层基本恢复, 同时伴随碳空位簇解离的单空位与代位氮原子结合, 形成了氮空位色心.
2022, 71 (18): 188201.
doi:10.7498/aps.71.20220706
摘要 +
在 n-型隧穿氧化物钝化接触(n-TOPCon)光伏器件中, 高浓度磷掺杂的多晶硅薄膜 (n+poly-Si) 是电子选择性钝化的关键材料. 它的光学和电子学性能取决于化学组态与多晶结构的物相, 并依赖于晶态转化过程中的高温退火与结构弛豫. 采用低压化学气相沉积技术在 SiOx/n-Si 衬底上生长制备poly-Si (n+) 薄膜, 利用带有深度刻蚀特征的 X-射线光电子能谱、高分辨率透射电子显微术和 X-光衍射分析方法, 研究了该薄膜的微结构. 发现薄膜中氧(O)元素的 O 1s 态的两个拟合峰(O2 和 O3)的结合能分别为 532.1 eV 和 533.7 eV, 对应 O—Si 和 O—P 的成键态; 而磷(P)元素的P 2p态的两个拟合峰(P2 和 P3)的结合能分别为 132.4 eV和 135.1 eV, 对应着O—P*的同根成键态. 电子显微与光衍射分析表明, 该多晶硅薄膜具有 (111)晶向择优生长的特点, 晶面间距为0.313 nm, 平均晶粒尺寸在43.6—55.0 nm. 而(111)晶面簇在920 ℃高温退火过程中, 产生力学形变与晶界, 在局域范围内呈现大晶粒的单晶态. 结合热力学函数, 如生成焓、反应熵、热容、形成能与吉布斯自由能, 以及能量最低原理分析可知, 多晶硅薄膜内存在O—Si和 O—P键形成的条件, 产生了氧化硅和氧化磷的成键态.
2022, 71 (18): 188701.
doi:10.7498/aps.71.20220606
摘要 +
采用基于流固耦合的有限元方法, 对二维模型中高分子囊泡在微管流中惯性迁移现象进行了系统研究, 分析了囊泡因受到流体作用力而形变并发生惯性迁移现象的机理. 研究表明: 随着雷诺数的增大, 囊泡惯性迁移的平衡位置离其初始位置越来越远; 随着阻塞比的增加, 囊泡惯性迁移后的平衡位置越来越接近壁面. 对于囊泡膜的模量和黏度以及膜厚, 结果表明模量和黏度决定了囊泡的变形程度, 模量对囊泡平衡位置影响较小, 但增大黏度和膜厚会促进囊泡的平衡位置偏向管道中心. 本研究有助于进一步明晰囊泡在惯性迁移过程中的形变和平衡位置, 为囊泡在药物输运、化学反应和生理过程的应用提供可靠的计算依据.
编辑推荐
2022, 71 (18): 188702.
doi:10.7498/aps.71.20220752
摘要 +
磷脂相分离是细胞脂质筏形成的物理驱动力, 在生命物质的空间组装中发挥着重要的作用. 本研究通过单微畴跟踪、径向波动性分析等手段定量地研究了多组分磷脂相分离动力学. 发现在低线张力差异下, 大相的黏滞性是产生微畴粗化差异的主要原因. 融合产生的流场促进微畴扩散, 加速了低黏滞大相中微畴的融合粗化; 而高黏滞大相中微畴主要依赖布朗运动扩散, 融合粗化较慢. 进一步建立微畴的扩散与融合粗化理论模型, 理解了大相黏滞性较高与较低时, 微畴尺寸与粗化时间分别满足的0.5与1幂指数关系. 此外还发现, 可以通过胆固醇相对含量调节大相黏滞性, 提高了微畴粗化的可控性. 研究深化了多组分磷脂相分离机制的理解, 为调控细胞膜表面的生物分子再分布提供了有价值的参考.
2022, 71 (18): 188703.
doi:10.7498/aps.71.20220817
摘要 +
基于VO2的相变特性, 提出了仅用两种混合结构实现2-bit (四种状态)编码的太赫兹编码超表面. 结构单元中贯通的金属线可用作电压引线对单行阵列进行控制, 使得固定阵列结构能够呈现不同的状态编码, 实现对波束的动态调控. 此外, 采用MATLAB软件对编码超表面阵列天线进行了可视化设计, 通过对工作频率、波束偏转角度等参数的设置, 实现了对状态序列与辐射结果的预测. 该可视化系统不限于具体的结构单元, 对一切满足编码条件的阵列均具有普适性. 最后, 采用深度神经网络进行了逆向天线设计, 通过与模拟对比验证了其在波束偏转角度和单元排布的有效性. 本文为主动灵活调控太赫兹波提供了新途径, 在太赫兹成像、相控雷达、通信等领域具有潜在的应用价值.
2022, 71 (18): 188704.
doi:10.7498/aps.71.20220983
摘要 +
在太赫兹(THz)波与材料相互作用的研究中, 传统的太赫兹时域光谱(terahertz time-domain spectroscopy, THz-TDS)通常仅探测某一偏振方向的脉冲THz波在与待测样品作用前后的幅值信息和相位信息的变化. 然而对于各向异性、手性特征等材料的检测中, 仅有样品的幅值和相位信息并不能给出样品物质完整的内在结构. 各向异性、手性物质对不同偏振态的脉冲THz是非常敏感的, 要通过THz光谱来反映这些手性物质的构型、构象等信息, 就必须探测脉冲THz波作用样品前后的振幅、相位和偏振态. 本文提出的脉冲THz波全息探测器(pulsed terahertz holographic detector, PTHD)由相互垂直的光电导天线阵元组成, 可以通过一次扫描检测出脉冲THz电场在任意方向的正交分量, 从而可同时检测出脉冲THz波作用样品前后的振幅、相位和偏振态的变化, 故称为脉冲THz波全息探测器. 实验和理论分析都验证了PTHD测量脉冲THz波偏振态的可靠性. 同时, 本文还利用响应矩阵分析了PTHD在0.1—2.2 THz光谱范围内具有良好的对称性.




