-
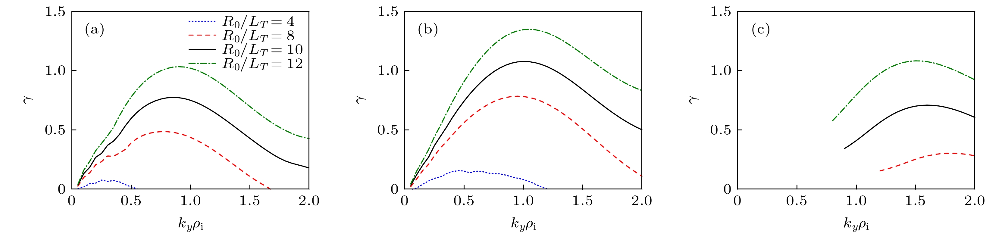
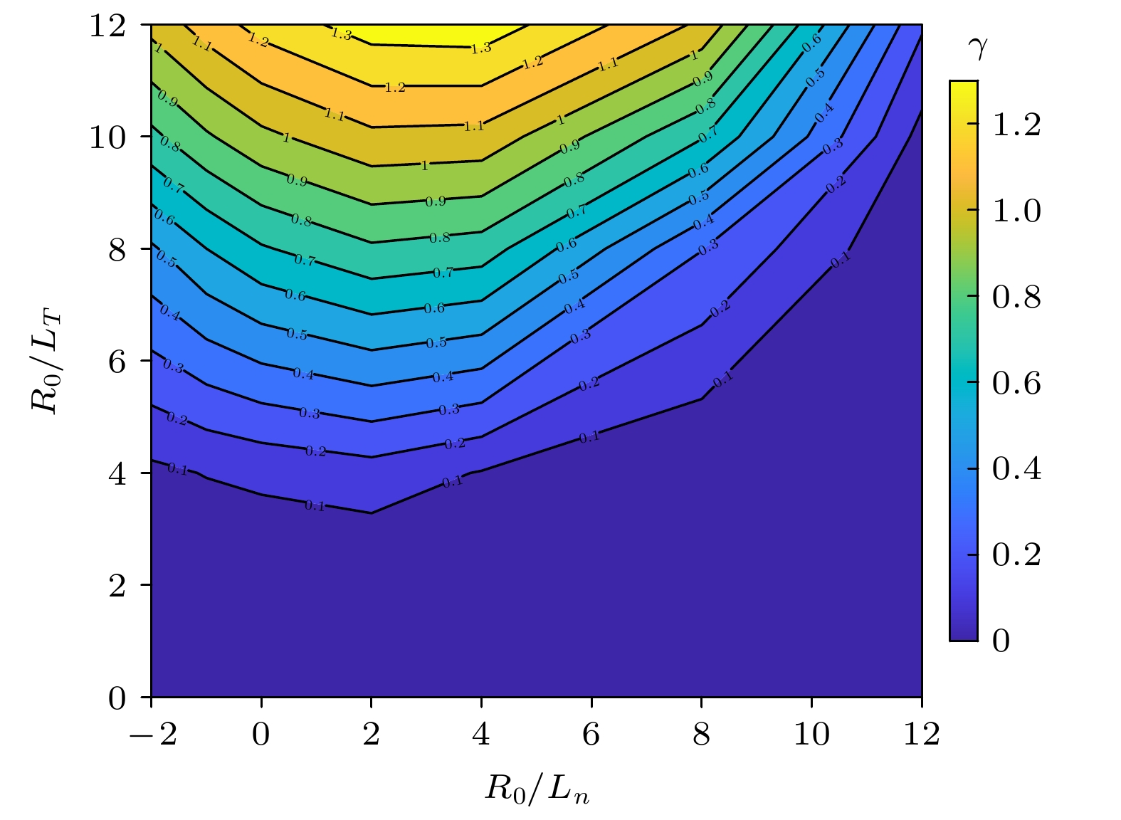
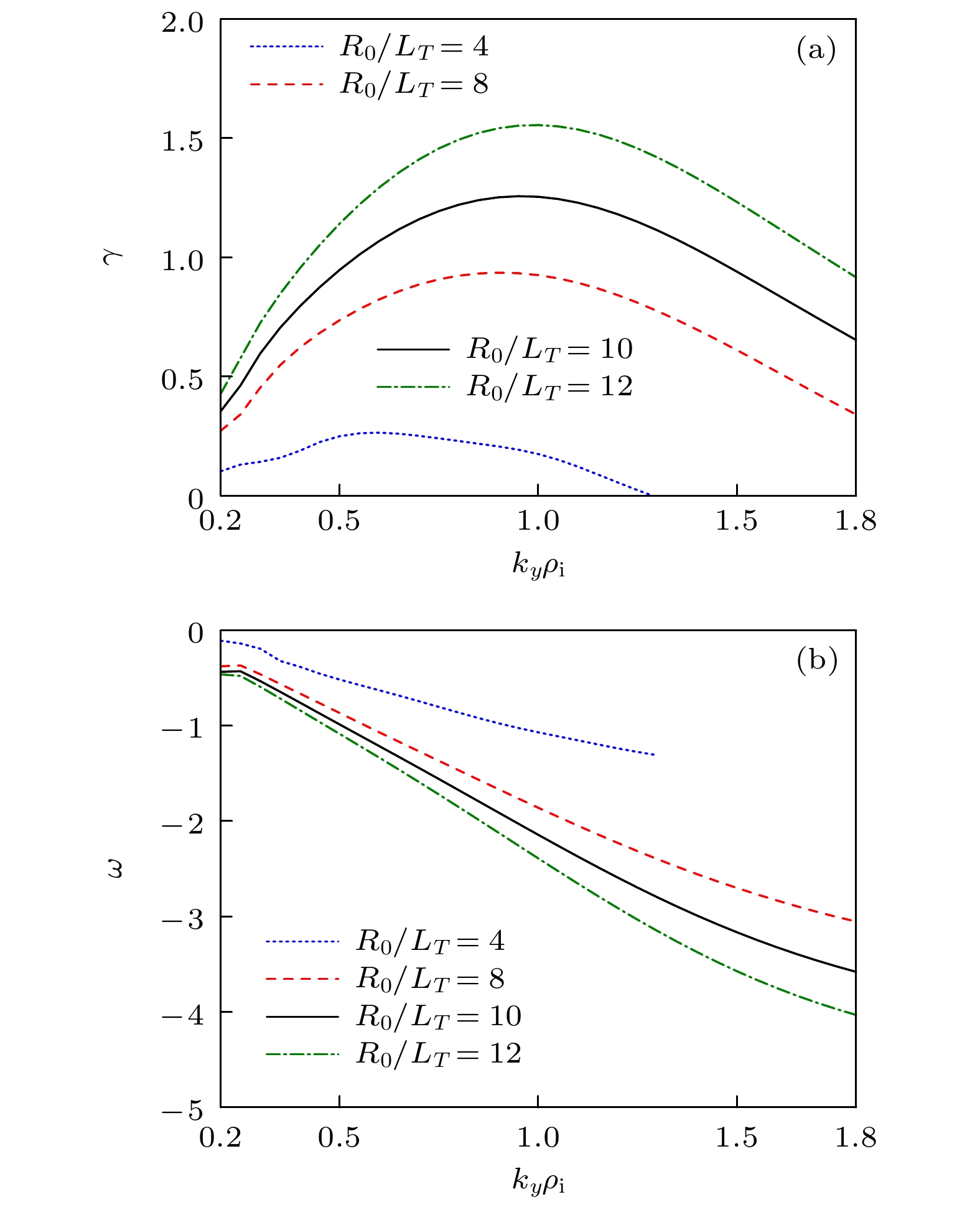
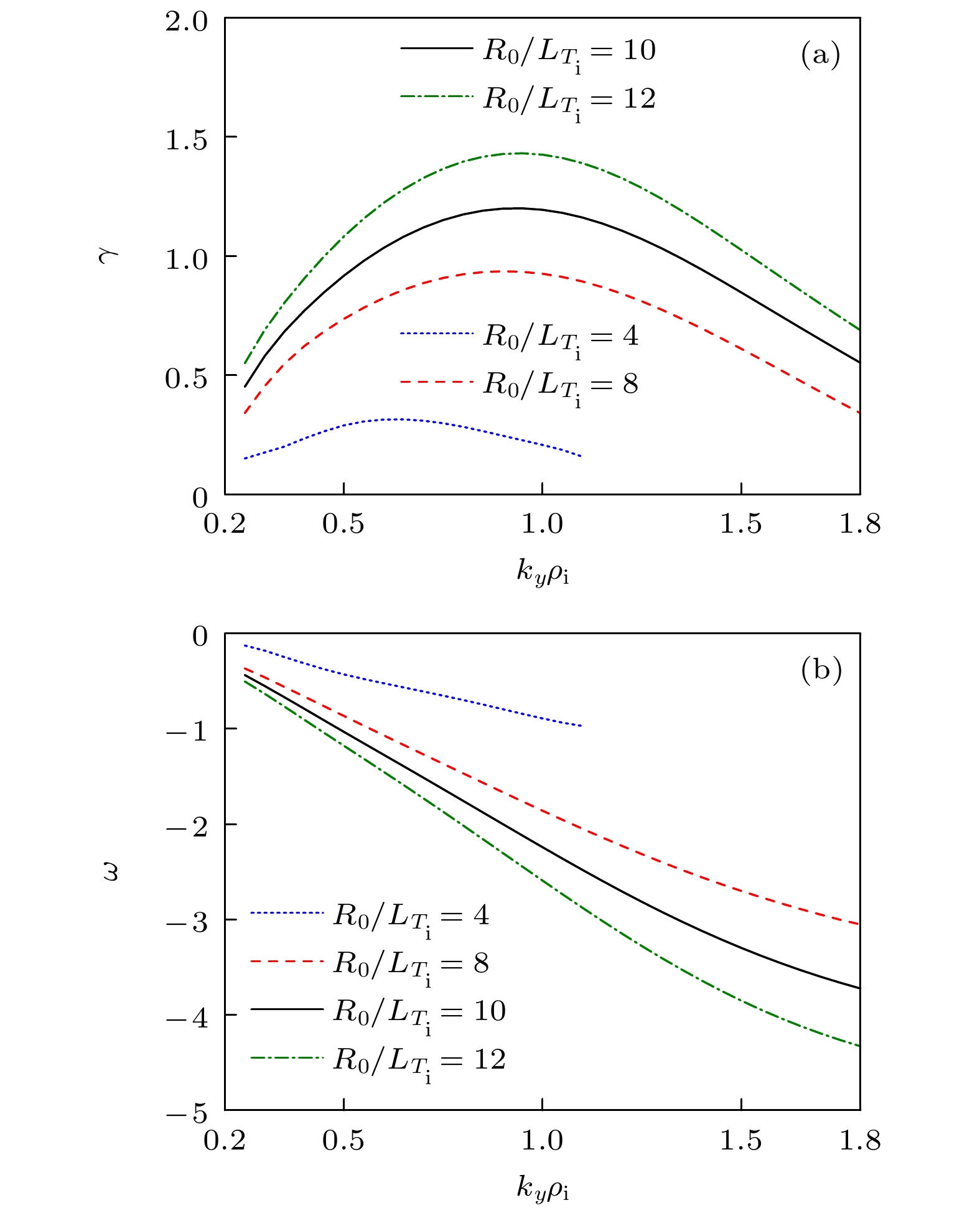
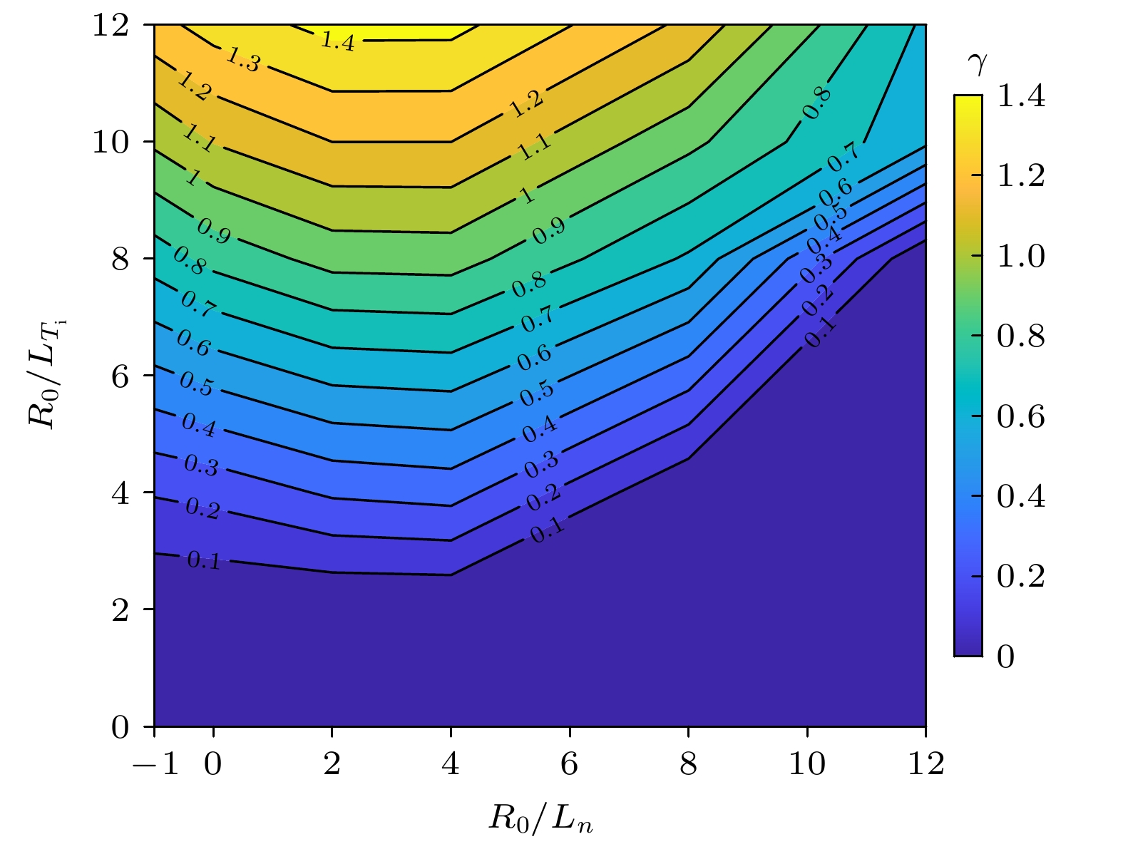
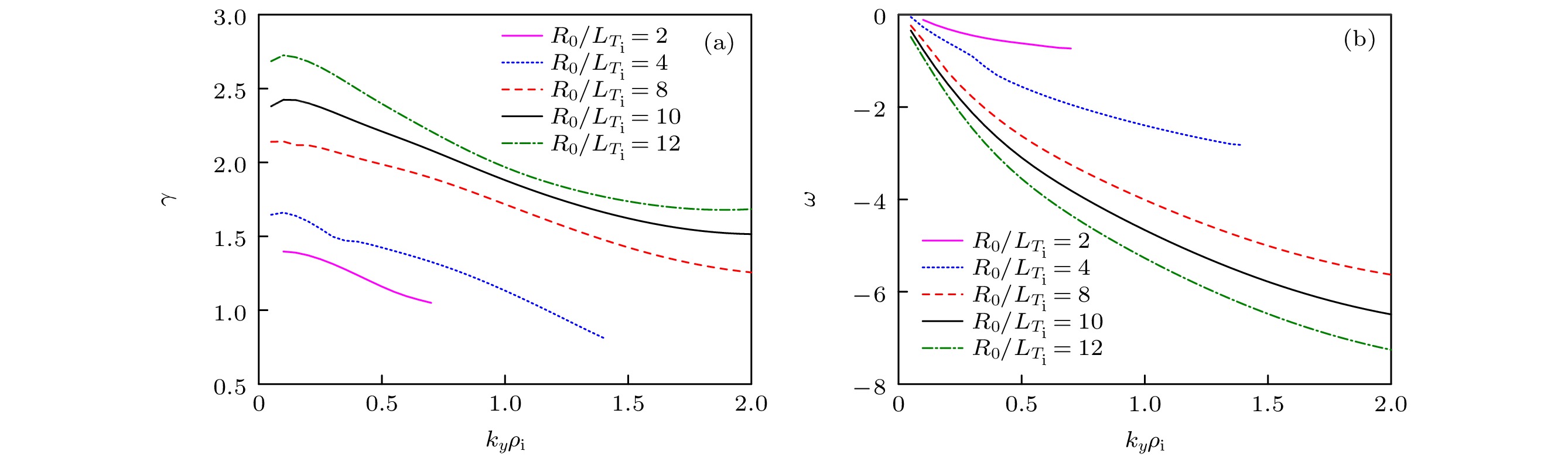
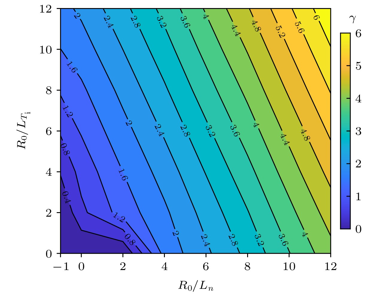
中国首台准环对称仿星器(CFQS)是目前世界上唯一在建的准环对称仿星器. 本文利用回旋弗拉索夫代码GKV开展了CFQS中离子温度梯度模(ITG)的模拟研究. 在静电绝热条件下, 模拟的结果给出了CFQS中纯的ITG与密度梯度和温度梯度间的依赖关系. ITG的激发存在温度梯度阈值, 此温度梯度阈值受到密度梯度的影响. ITG的增长率不仅与密度梯度的绝对值相关, 还取决于密度梯度的正负, 负密度梯度对ITG具有强的抑制作用. 非绝热的模拟结果表明, 捕获电子对ITG具有去稳作用, 电子温度梯度也对ITG具有去稳作用. 当考虑电磁条件时, 有限的等离子体比压会抑制ITG, 导致ITG向阿尔芬离子温度梯度模/动理学气球模(AITG/ KBM)的转化. 当密度和温度梯度都较大时, KBM的最大增长率与密度梯度和温度梯度近似成线性关系.
-
关键词:
- 中国首台准环对称仿星器/
- 离子温度梯度模/
- 等离子体比压/
- 动理学气球模
The Chinese First Quasi-axisymmetric Stellarator (CFQS) is now the only quasi-axisymmetric stellarator under construction in the world. In this work, ion temperature gradient (ITG) mode in CFQS is studied by using gyrokinetic Vlasov code GKV. The basic characteristics of the eletrtostatic ITG are separately given under the adiabatic condition and the non-adiabatic condition. There is a critical temperature gradient for ITG. The growth rate of ITG is proportional to the temperature gradient. Furthermore, the growth rate depends on not only the absolute value of density gradient, but also the plus or minus sign of the density gradient. The negative density gradient can strongly suppress the ITG. The kinetic electron can destabilize the ITG and the electron temperature gradient can also destabilize the ITG. For electromagnetic condition, the ITG modes can be suppressed by the finite plasma beta, and then a transition from ITG to Alfvenic ion temperature gradient mode/kinetic ballooning mode (AITG/KBM) comes into being. The maximum growth rate of KBM is linearly proportional to density gradient and temperature gradient when both gradients are large.-
Keywords:
- Chinese First Quasi-axisymmetric Stellarator/
- ion temperature gradient mode/
- plasma beta/
- kinetic ballooning mode
[1] [2] [3] [4] [5] [6] [7] [8] [9] [10] [11] [12] [13] [14] [15] [16] [17] [18] [19] [20] [21] [22] [23] [24] [25] [26] [27] [28] [29] [30] [31] [32] [33] [34] [35] [36] [37] [38] [39] [40] -
[1] [2] [3] [4] [5] [6] [7] [8] [9] [10] [11] [12] [13] [14] [15] [16] [17] [18] [19] [20] [21] [22] [23] [24] [25] [26] [27] [28] [29] [30] [31] [32] [33] [34] [35] [36] [37] [38] [39] [40]
计量
- 文章访问数:5384
- PDF下载量:88
- 被引次数:0












下载:








