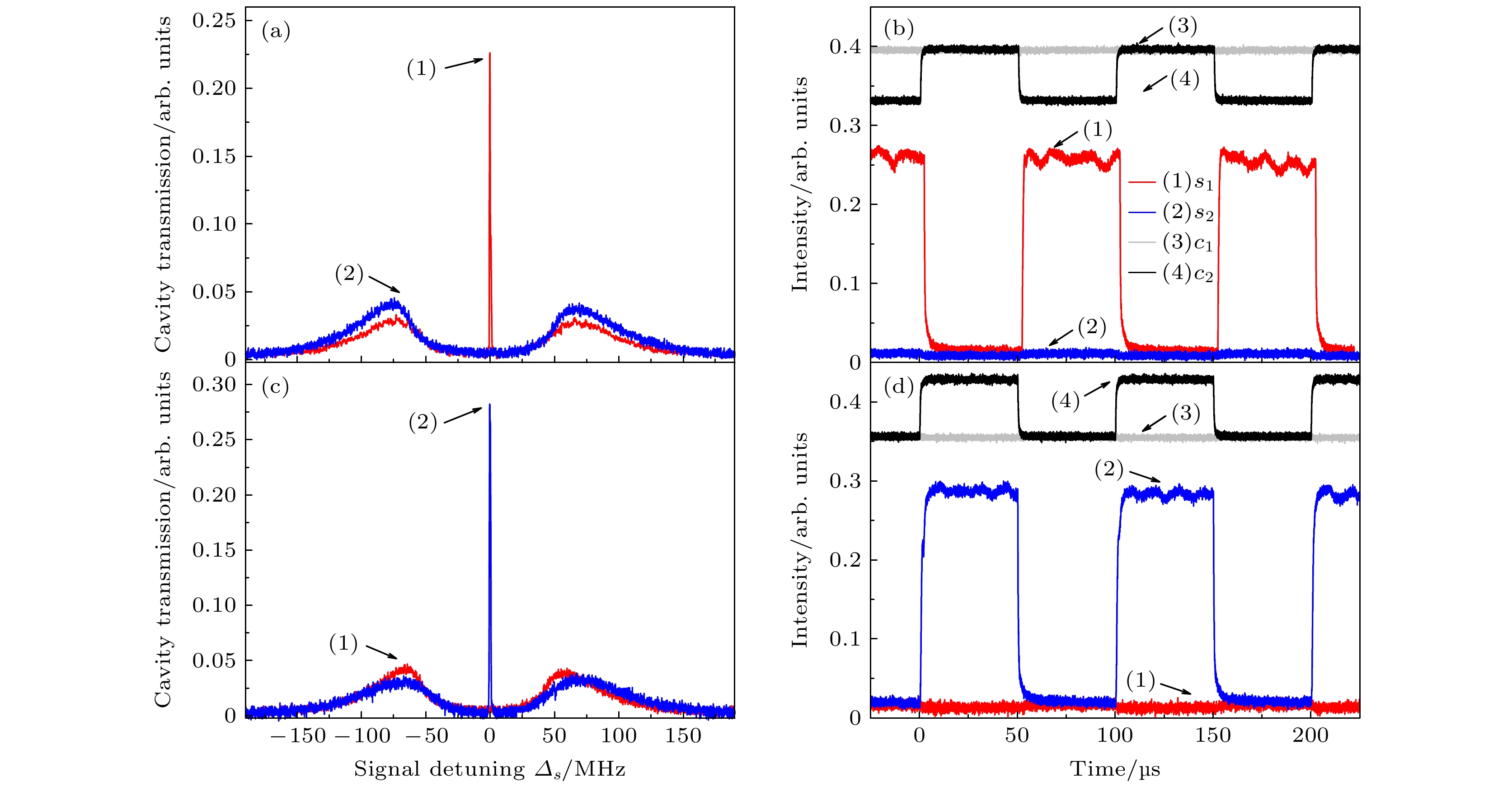
Owing to the potential applications in all-optical quantum information processing and quantum optical networks, magnet-free optical non-reciprocity transmission has attracted great interest and has been studied in many fields, such as parity-time-symmetry enhanced nonlinearity, optomechanical systems, photonic crystal, cold atomic Bragg lattices, chiral quantum optics, and hot atoms. In particular, the random thermal motion of hot atoms can be a useful resource to realize optical non-reciprocity. Here in this work, based on the susceptibility-momentum-locking of atomic thermal motion and the strong coupling characteristics of cavities, a magnetic-free optical reciprocity-nonreciprocity transmission conversion scheme is designed and realized through the atom-cavity compound system. Theoretical and experimental analysis show that the coupling field conditions determine the nonreciprocity of the system. Under the action of single traveling-wave field, the nonreciprocity in hot atoms depends on the propagation direction of the coupling field due to the Doppler effect. Therefore, by changing the opening and closing of the opposite coupling field, the two-way single channel optical nonreciprocal transmission based on intracavity electromagnetically induced transparency can be controlled. When the two coupling fields propagate simultaneously in the opposite directions, however, the cavity transmission changes from single-dark-state to double-dark-state peaks, in which the reciprocity outputs depend on the frequency difference between the two coupling fields. By tuning the frequency difference, the two-way multi-channel reciprocal-nonreciprocal transmission regulation based on double dark polar peaks can be realized. The study can be applied to all-optical quantum devices and quantum information processing, such as optical transistors, optical switching and routing, and quantum gate manipulation.