The spin-orbit interaction (SOI) of light refers to the mutual conversion and coupling between the spin angular momentum and orbital angular momentum. It is a fundamental effect in optics, and has been widely found in many basic optical processes, such as reflection, refraction, scattering, focusing, and imaging. So it plays an important role in the fields of optics, nanophotonics, and plasmonics, and has great potential applications in precision measurement and detection, information storage and processing, particle manipulation, and various functional photonic devices. Recently, it has been found that a circularly polarized light beam normally passing through an isotropic sharp interface can undergo an SOI process, that is, part of the incident beam experiences a spin-flip and acquires a spin-dependent vortex phase with a topological charge of
$ \pm2 $
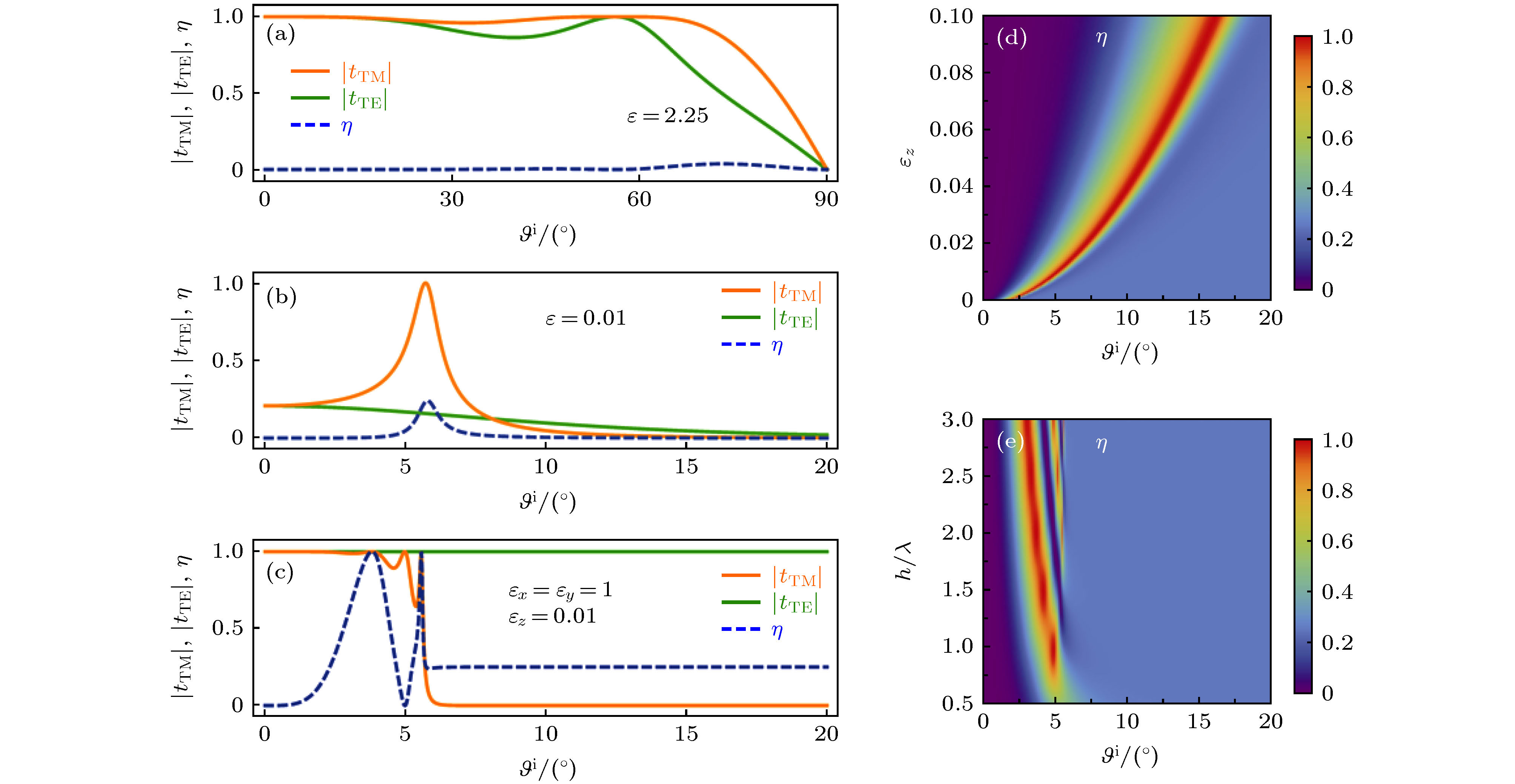
. However, the physical origin of this phase and the role of the interface played in the SOI process are still unclear at present. In this work, a Fresnel Jones matrix is first established to describe the relationship between the incident beam and the transmitted beam, based on which we unveil that the vortex phase is in fact a spin-redirection Berry geometric phase, originating from the topological structure of the beam itself. The properties of the interface affect the conversion efficiency of the SOI. This kind of SOI is very similar to that in the azimuthal Pancharatnam-Berry phase elements. The difference lies in the fact that the Pancharatnam-Berry phase originates from the external anisotropy of the composite material. Generally, the efficiency of this SOI is extremely low, which limits its applications. The existing method of enhancing this SOI employs an isotropic epsilon-near-zero slab, whose maximum efficiency can reach only about 20%. Since the anisotropic medium (such as birefringent uniaxial crystals) has more degrees of freedom, we further point out that the weak SOI can be greatly enhanced by an optically thin uniaxial slab whose optical axis is parallel to the normal direction of the interface. And under certain conditions, the conversion efficiency can reach 100%. Our study not only establishes a simple and convenient full-wave theory for this SOI, but also reveals the relevant underlying physics, and further provides a possible scheme to significantly enhance the SOI.