The magnetic penetration depth (
λ) of a superconductor is an important parameter which connects the macroscopic electrodynamics with the microscopic mechanism of superconductivity. High-accuracy measurement of
λis of great significance for revealing the pairing mechanism of superconductivity and exploring the applications of superconductors. Among various methods used to measure
λof superconducting films, the two-coil mutual inductance (MI) technique has been widely adopted due to its high precision and simplicity. In this paper, we start with introducing the principle of MI technique and pointing out that its accuracy is mainly limited by the uncertainties in the geometric parameters (e.g. the distance between two coils) and the leakage flux around the film edge. On this basis, we build a homemade
transmission-type MI device with a delicate design to achieve high-accuracy. Two coils are fixed by a single-crystal sapphire block machined with high precisions to minimize the uncertainty in geometry. As a result, the reproducibility in induced voltage measured with sample remounted is better than 4%. Besides, the flux leakage around the film edge is accurately determined by measuring a thick Nb film and Nb foils. The voltage induced by leakage flux is only around 1% of that measured in the normal state. Therefore, the absolute value of
λcan be accurately extracted after flux leakage subtraction and normalization. It is shown that the error of the measured
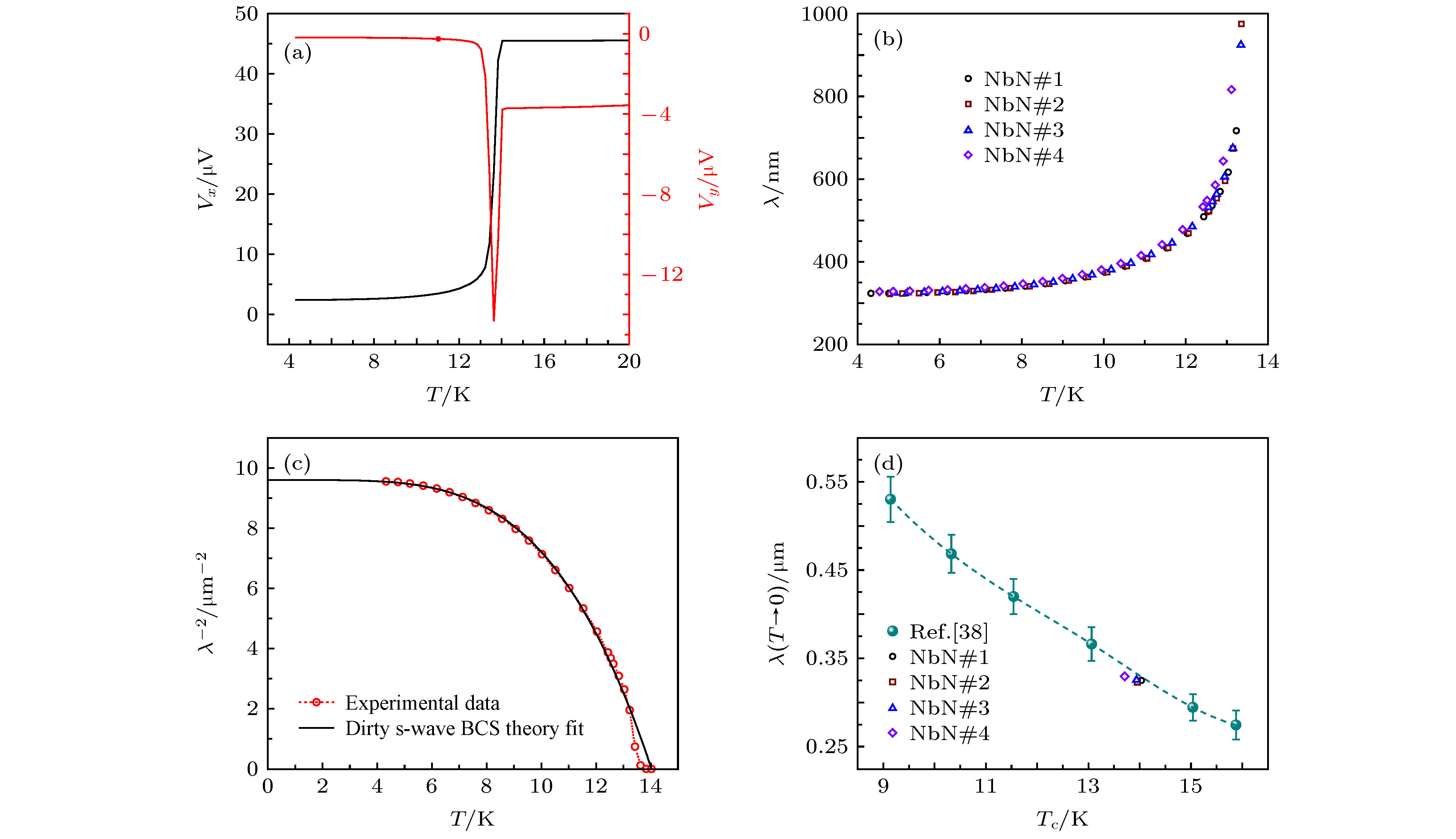
λis less than 10% for a typical superconducting film with a thickness of 100 nm and a penetration depth of 150 nm. Furthermore, the performance of our apparatus is tested on epitaxial NbN films with thickness of 6.5 nm. The results show that the low temperature variation of superfluid density is well described by the dirty s-wave BCS theory, and at temperatures close to
Tc, the superfluid density decrease drastically, owing to the Berezinski-Kosterlitz-Thouless transition transition. Moreover, the zero-temperature magnetic penetration depth and the superconducting energy gap extracted from the fitting parameters are both consistent with the reported values. Our device provides an ideal platform for carrying out detailed studies of the dependence of
λon temperature, chemical composition and epitaxial strain, etc. It could also be utilized to characterize other parameters of superconductor such as the critical current density, and when combined with the ionic liquid gating technique, our device offers an efficient route for revealing the microscopic mechanism of superconductivity.