-
采用贝叶斯深度神经网络对液滴模型进行优化改进, 并运用KL (Kullback-Leibler)散度与变分推断的方法使得模型便于实现. 以最新的原子核数据(AME2020)中2457个有精确值的原子核(
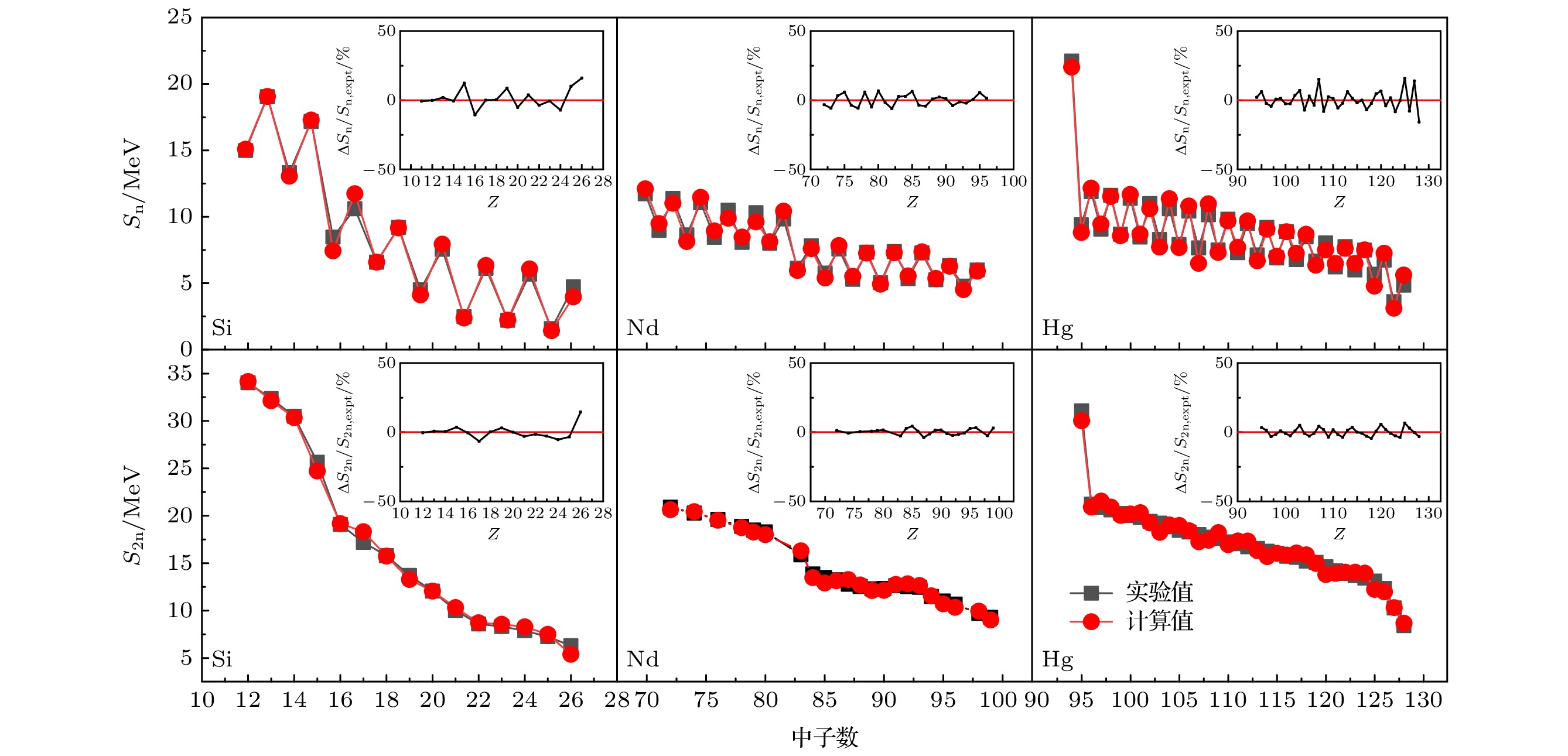
$Z\geqslant 8$ 和$N\geqslant 8$ )作为总数据集, 随机选取其中80%的数据为训练集用于模型训练, 通过预测余下的20%进行模型验证. 最终两个数据集的误差均方根(RMS)基本相等, 而且全部数据的RMS从2.9894 MeV降到0.5695 MeV, 下降了80%, 呈现出较好的结果. 此模型进行了输入参数上的改进(区域限定策略), 使得未知核($Z = 118—126$ )可以被限定在一个固定的区域内, 从而提高了预测的准确性. 为了验证这一性质, 对实验数据($Z=100— 117$ )进行了预测计算, 结果也与实验值符合得很好. 最后使用该方案对未知元素$Z = 118—126$ 进行了预测, 为以后寻找新元素提供了新思路.Liquid drop model accuracy is optimized 80% by Bayesian deep neural network (BDNN) to calculate the known nuclei binding energies and also used to predicate extra unknown nucleus. In this paper, KL(Kullback-Leibler) divergence from BDNN is adopted and further optimized by the variational reasoning method. The latest atomic data (AME 2020) is taken as input to train the BDNN, the root means square(RMS) of 2457 types known nuclei ($Z\geqslant 8$ and$N\geqslant 8$ ) calculation is improved 80% (from 2.9894 MeV to 0.5695 MeV). Additionally, we improved the input of BDNN in this work, so that the unknown nucleus ( Z= 118–126) can be limited in a region(Regional restriction strategy), which improves the stability of prediction. Experimental data (nuclei Z= 100–117) also match well with our prediction and showed this calculation method is promising. The further binding energy for proton numbers from 118–126 is predicate using our method.-
Keywords:
- binding energy/
- BDNN/
- liquid drop model/
- regional restriction strategy
[1] [2] [3] [4] [5] [6] [7] [8] [9] [10] [11] [12] [13] [14] [15] [16] [17] [18] [19] [20] [21] [22] [23] [24] [25] [26] [27] [28] [29] [30] [31] [32] [33] [34] [35] [36] [37] [38] [39] [40] [41] [42] [43] [44] [45] -
系数名称 $a_{ {\rm{v} } }/{\rm{MeV}}$ $ a_{{\rm{s}}}/{\rm{MeV}} $ $ k_{{\rm{v}}} $ $ k_{{\rm{s}}} $ $ a_{{\rm{c}}}/{\rm{MeV}} $ $ f_{{\rm{p}}}/{\rm{MeV}} $ $ d_{{\rm{n}}}/{\rm{MeV}} $ $ d_{{\rm{p}}}/{\rm{MeV}} $ $ d_{{\rm{np}}}/{\rm{MeV}} $ 系数值 –15.4299 18.0212 –1.6193 –0.8138 0.7034 –1.4511 5.6149 5.5802 –4.9721 误差 0.0001 0.0001 0.0011 0.0010 0.0001 0.0014 0.1854 0.1321 1.100 训练集(80%) 预测集(20%) 全局
计算${\rm{LDM} }_{\sigma_{ {\rm{pre} } }/{\rm{MeV}}}$ 3.0114 2.9374 2.9894 ${\rm{LDM} }+{\rm{BDNN} }_{\sigma_{ {\rm{post} } }/{\rm{MeV}}}$ 0.5675 0.5565 0.5695 模型 LSD FRDM FRDM12 TF HFB21 GHFB KTUY Bhagwat LMNN LDM+BDNN 数据年份 AME2012 AME2012 AME2012 AME2012 AME2012 AME2012 AME2012 AME2012 AME2012 AME2020 $N_{{\rm{nucl}}}$ 2316 2353 2353 2353 2353 2353 2353 2353 2353 2457 $\sigma_{{\rm{rms}}}$/MeV 0.608 0.654 0.579 0.649 0.572 0.789 0.701 0.266 0.235 0.5695 -
[1] [2] [3] [4] [5] [6] [7] [8] [9] [10] [11] [12] [13] [14] [15] [16] [17] [18] [19] [20] [21] [22] [23] [24] [25] [26] [27] [28] [29] [30] [31] [32] [33] [34] [35] [36] [37] [38] [39] [40] [41] [42] [43] [44] [45]
计量
- 文章访问数:4314
- PDF下载量:123
- 被引次数:0












下载:








