-
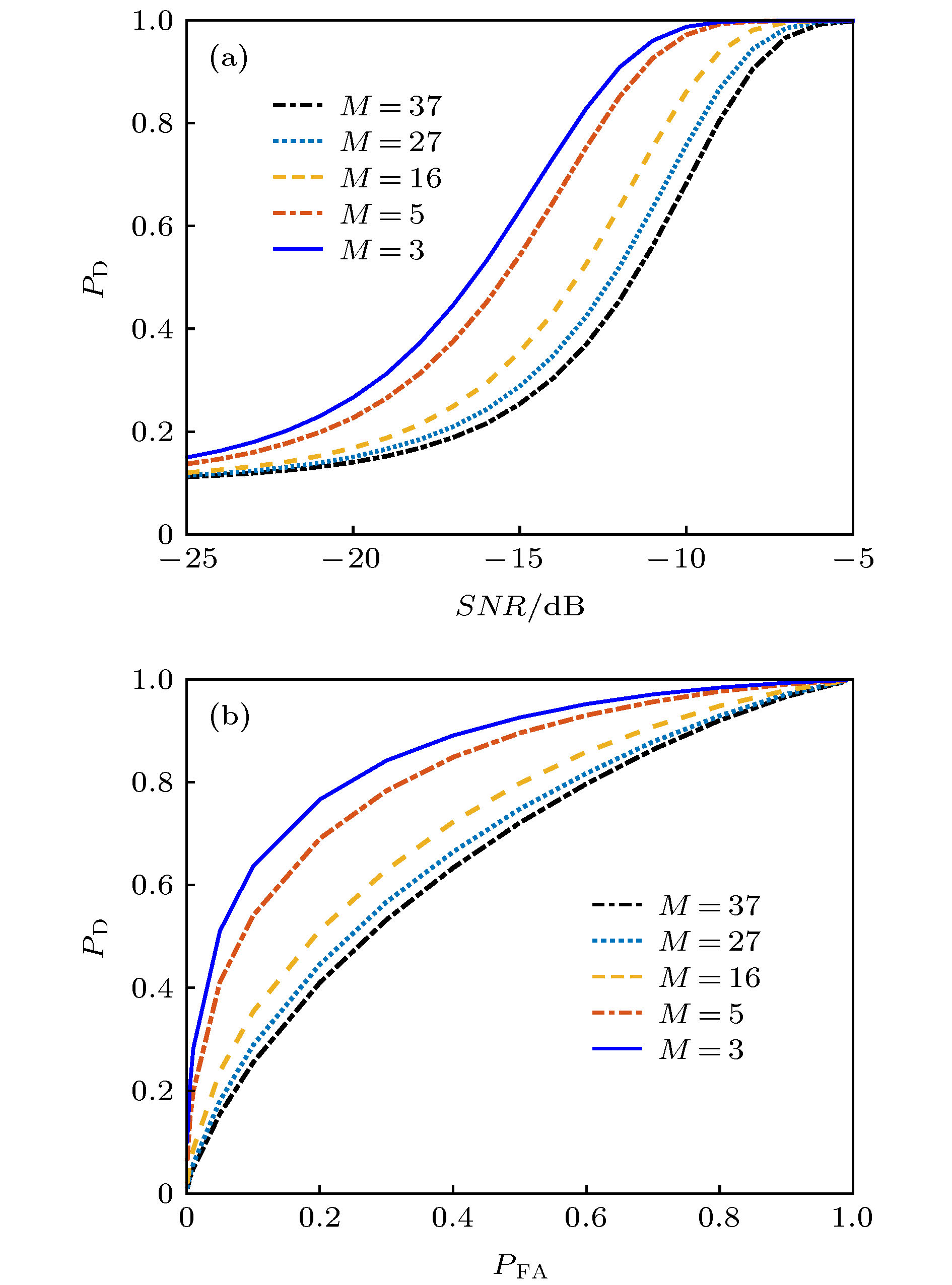
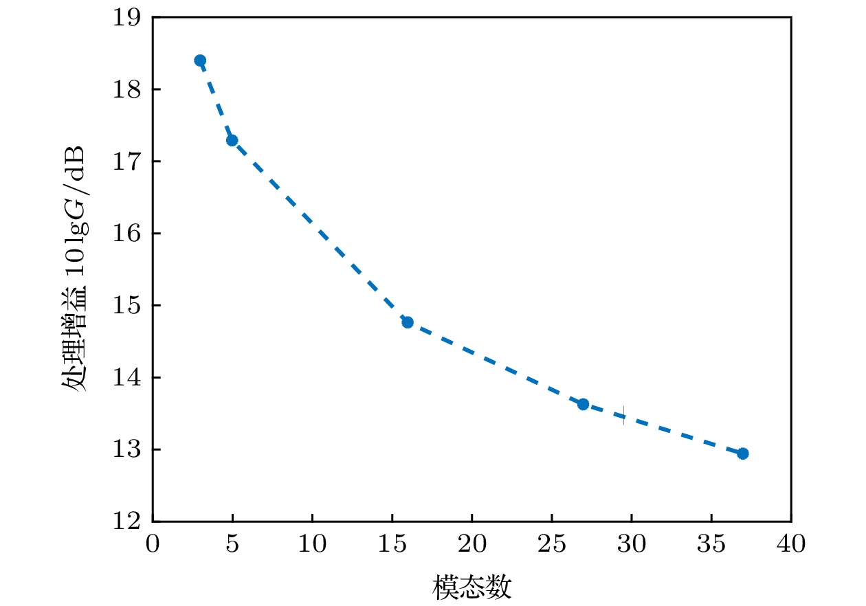
研究了使用垂直线列阵情况下, 浅海环境中的模态空间检测器(modal space detector, MSD)的检测性能. 推导了MSD的处理增益, 结果表明其处理增益随波导环境中传播模态数的增多而减小, 进而其检测性能也随之下降. 利用各阶模态深度函数之间的正交性, 将MSD分解为若干阶模态子空间检测器(modal subspace detector, MSSD). 推导了各阶MSSD的处理增益, 发现其随各阶模态衰减系数的增大而减小. 根据各阶模态的衰减规律设计加权系数, 提出一种加权模态子空间检测器(weighted modal subspace detector, WMSSD). 以处理增益作为比较参量, 通过理论和仿真实验分析了声源位置和声速剖面对WMSSD检测性能的影响. 结果表明: 1) 当声源位于负梯度声速波导的近海面区域和正梯度声速波导的近海底区域时, 由于低阶模态深度函数存在反转点, WMSSD的处理增益弱于MSD, 而当声源位于其他大部分观测区域时, WMSSD的处理增益都优于或显著优于MSD; 2) 在等声速梯度波导中, 各阶模态深度函数不存在反转点, 在所有观测区域WMSSD的处理增益都显著优于MSD.In this paper, the modal space detector (MSD) is investigated in shallow water environment when utilizing a vertical linear array. The processing gain of the MSD is derived, and the result demonstrates that the processing gain of the MSD degrades when the number of the propagated normal modes excited by the underwater acoustic source increases, and therefore the detection performance of the MSD decreases. By exploiting the orthogonality among the modal depth functions, the MSD can be decomposed into a group of modal subspace detectors (MSSDs). The processing gains of these MSSDs are derived as well and it is found out that the processing gain of a MSSD is in direct proportion to its corresponding modal attenuation coefficients. By designing a group of weighting coefficients based on the mode attenuation law, a weighted modal subspace detector (WMSSD) is proposed to alleviate the degradation of the processing gain processing of the MSD. We analyze the influences of acoustic source locations and sound velocity profiles (SVPs) on the detection performance of the WMSSD theoretically, and verify the theoretical analyses by comparing its processing gain with the MSD in simulation experiments. The results show that the WMSSD presents various processing gains versus different acoustic source locations. In the waveguide having a negatively-gradient SVP, there exists a ‘weak detection area’ for the WMSSD, that is, the processing gain of the WMSSD is smaller than that of the MSD when the acoustic source locations are close to sea surface. The reason is because there are inversion points on the lower-order modal depth functions and the depths of the inversion points are close to sea surface. In other most areas, the processing gain of the WMSSD is larger (even remarkably larger) than that of the MSD. In the waveguide having a positively-gradient SVP, due to the phenomenon that the modal inversion points of the lower-order modal depth functions are near sea floor, there is a contrary consequence, that is, the ‘weak detection area’ is close to sea floor. And meanwhile the WMSSD outperforms the MSD in other most areas as well. There are no modal inversion points in the waveguide having a constant SVP, and therefore the WMSSD always outperforms the MSD.
-
Keywords:
- modal space detection/
- modal attenuation coefficient/
- processing gain/
- modal inversion point
[1] [2] [3] [4] [5] [6] [7] [8] [9] [10] [11] [12] [13] [14] [15] [16] [17] [18] [19] [20] -
[1] [2] [3] [4] [5] [6] [7] [8] [9] [10] [11] [12] [13] [14] [15] [16] [17] [18] [19] [20]
计量
- 文章访问数:5545
- PDF下载量:47
- 被引次数:0












下载:













