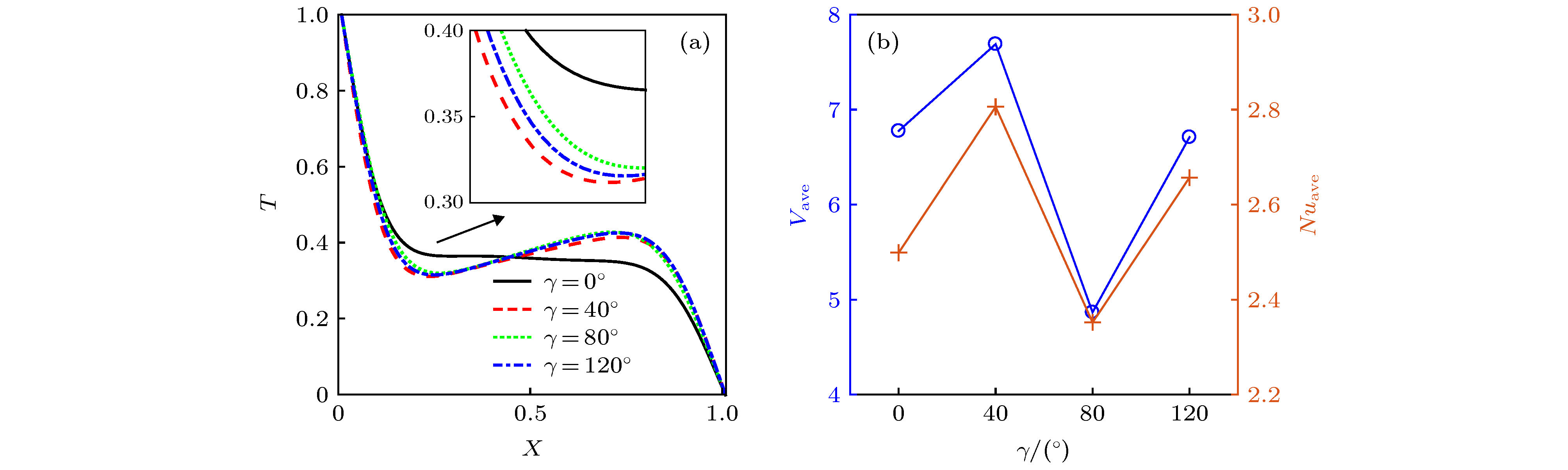
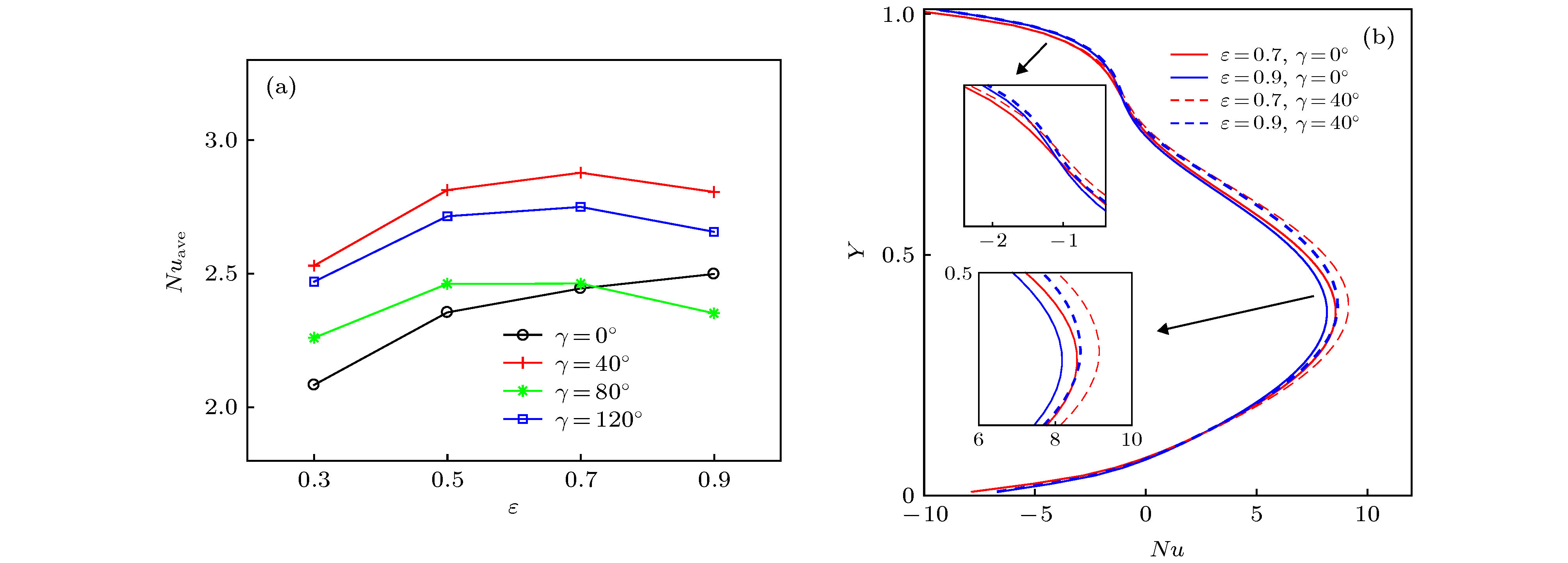
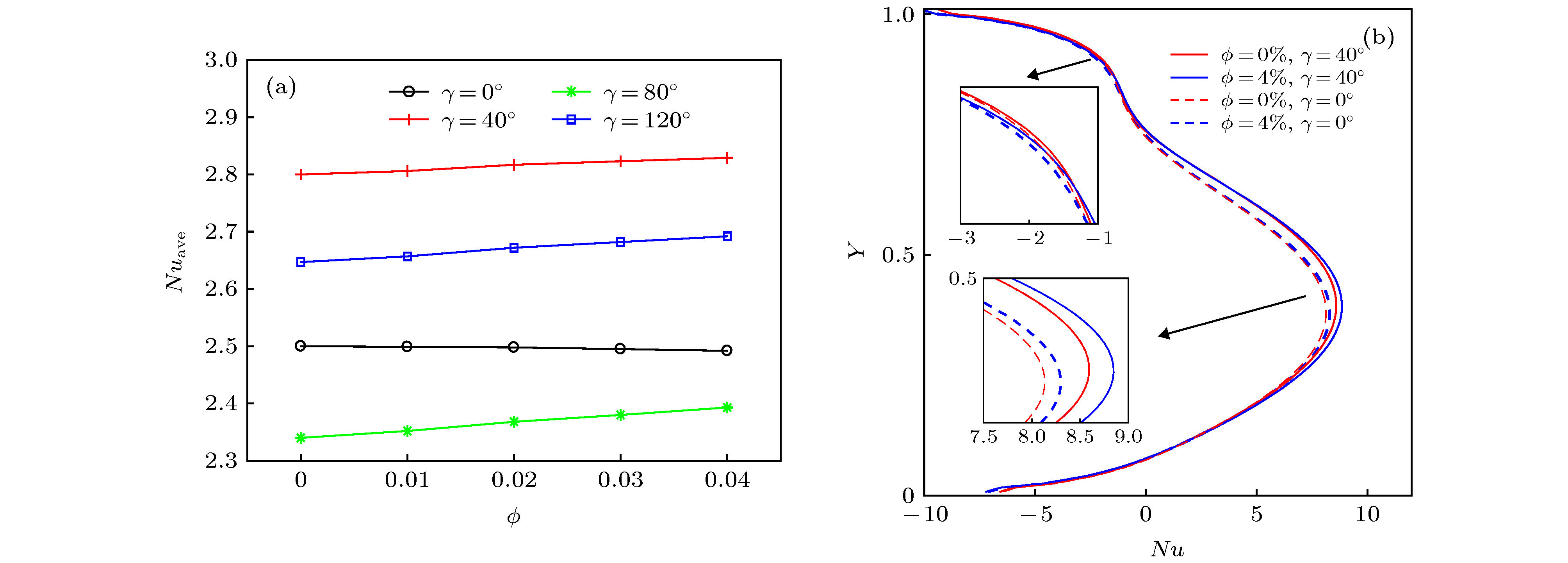
\begin{document}$\epsilon $\end{document} ≤ 0.9)、瑞利数(103Ra ≤ 106)、纳米颗粒体积分数(0 ≤ ϕ ≤ 0.04)和倾斜角(0° ≤ γ ≤ 120°)等因素的影响, 研究了正弦温度分布边界条件下倾斜多孔介质方腔内纳米流体的自然对流传热机理. 结果表明: 若\begin{document}$\epsilon $\end{document}γ保持不变时, 随着Ra数的增大, 热壁面处的平均努塞尔数(Nuave数)呈现出先减小后增大的趋势; 对于给定的Ra数, 当γ = 0°时, 随着孔隙率的增大, 热壁面处Nuave数逐渐增大, 当γ = 40°, 80°和120°时, Nuave数在\begin{document}$\epsilon $\end{document} = 0.7左右时达到最大值; 若\begin{document}$\epsilon $\end{document}Ra数保持不变, 当γ = 40°时, 方腔内的自然对流换热效率最强, 当γ = 80°时热壁面自然对流换热效率被削弱. 最后, 研究了纳米颗粒体积份数的影响, 当方腔施加一定倾角时, 热壁面处的Nuave数随着纳米颗粒体积分数的增大而增大."> - 必威体育下载

搜索

x

留言板

姓名
邮箱
手机号码
标题
留言内容
验证码

downloadPDF
引用本文:
Citation:

    张贝豪, 郑林

    Numerical simulation of natural convection of nanofluids in an inclined square porous enclosure by lattice Boltzmann method

    Zhang Bei-Hao, Zheng Lin
    PDF
    HTML
    导出引用
    计量
    • 文章访问数:9117
    • PDF下载量:128
    • 被引次数:0
    出版历程
    • 收稿日期:2020-02-28
    • 修回日期:2020-04-08
    • 上网日期:2020-05-18
    • 刊出日期:2020-08-20

      返回文章
      返回