-
松散体结构松散, 是崩塌、滑坡等地质灾害的主要物源, 其致灾范围受含石量和坡度等因素影响较大. 传统的对松散体滑动堆积特性的研究多为宏观或定性分析, 对细观的内在运动机理研究较少. 本文采用离散元方法定量分析了含石量和坡度变化对松散颗粒滑动后的冲程、堆积宽度、最大厚度、堆积面积、堆积轮廓形状、堆积区体积、静堆积角和累积质量等堆积特征值的影响, 并从颗粒的能量和接触力角度探讨了松散体灾变过程中的运动和堆积特征, 以揭示颗粒之间的相互作用机理. 研究结果表明: 含石量在0—70%范围增加时, 冲程、堆积宽度和堆积面积均先增大后递减, 最终累积质量减小; 坡度在30°—65°范围增大时, 冲程、堆积宽度、堆积面积和累积质量均会增大, 最大厚度近似线性减小, 静堆积角近似二次函数减小. 此外, 粗、细颗粒在堆积区的体积占额存在一个临界距离 L c, 当距坡脚线距离 L< L c时, 细颗粒大于粗颗粒所占体积; 当 L> L c时, 细颗粒小于粗颗粒所占体积.Loose materials has loose structure and is the main source of geological disasters such as collapses and landslides. Its hazard range is greatly affected by factors such as stone content and slope. Traditional studies on the sliding and accumulation characteristics of loose materials were mostly macro or qualitative analysis. There is little research on the micro internal motion mechanism. In the present study, discrete element method was used to quantitatively analyze the influence of stone content and slope variation on the characteristic values of loose particles such as stroke, accumulation width, maximum thickness, accumulation area, accumulation contour shape, accumulation volume, static accumulation angle and the cumulative mass. In the meanwhile, the movement and accumulation characteristics of the loose materials during the catastrophe process were explored from the aspect of energy and contact force of the particles, so as to reveal the interaction mechanism between the particles. The results showed that: When the stone content increased in the range of 0 to 70%, the stroke, accumulation width and accumulation area increased firstly and then decreased, and in the end the cumulative mass decreased. As the slope increased from 30° to 65°, the stroke, accumulation width, accumulation area and accumulation mass increased; the maximum thickness decreased approximately linearly, while the static accumulation angle had a decrease similar to quadratic function. In addition, there was a critical distance L cfor the volume share of coarse and fine particles in the accumulation area. When the distance from the toe line was L< L c, the fine particles were larger than the volume of the coarse particles; when L> L c, the fine particles were smaller than the volume occupied by coarse particles.
-
Keywords:
- loose materials/
- accumulation characteristics/
- non-spherical particle/
- discrete element method
[1] [2] [3] [4] [5] [6] [7] [8] [9] [10] [11] [12] [13] [14] [15] [16] [17] [18] [19] [20] [21] [22] [23] [24] [25] [26] [27] [28] [29] [30] [31] [32] -
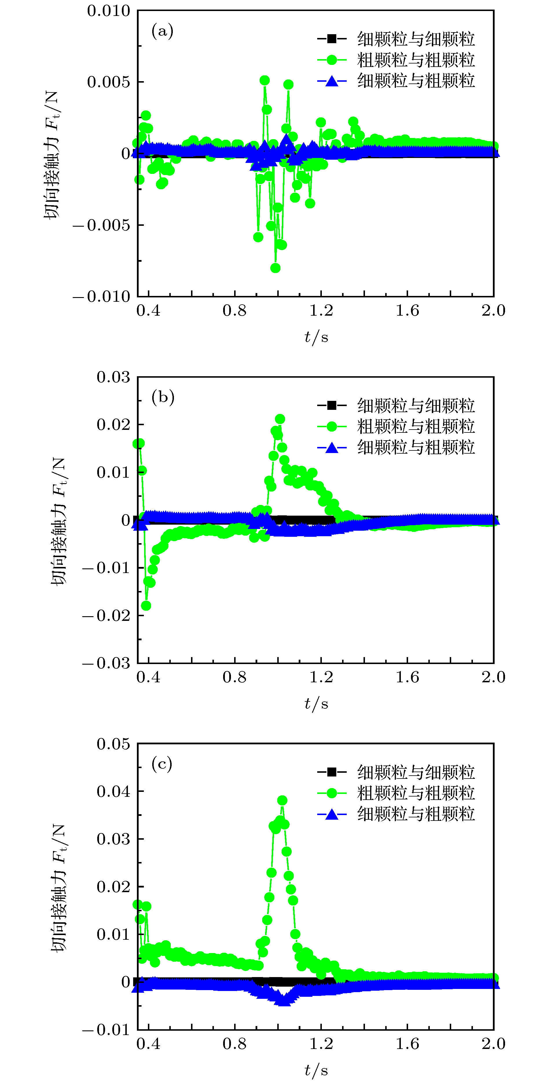
参数 符号 单位 数值 参数 符号 单位 数值 细颗粒基础球粒径 d mm 4.00 静摩擦系数 μps — 0.44 粗颗粒基础球粒径 d mm 14.00 滚动摩擦系数 μpr — 0.05 颗粒密度 ρ kg/m3 2100.00 堆积体质量 M kg 30.00 剪切模量 E MPa 1000.00 时间步长 dt s 6.26616 × 10–5 泊松比 v — 0.26 滑槽尺寸 L×W×H mm 1800 × 350 × 300 恢复系数 e — 0.40 底板尺寸 L×W×H mm 3000 × 2000 × 10 摩擦系数 μpp — 0.42 料箱尺寸 l×w×h mm 400 × 350 × 200 计算条件 +X方向γ/(°) -X方向γ/(°) 均值γ/(°) 30° 0% 13.58 13.46 13.52 30° 30% 12.94 13.13 13.40 30° 50% 12.48 13.32 12.90 30° 70% 12.03 11.27 11.65 45° 0% 8.25 8.21 8.23 45° 30% 6.85 7.31 7.08 45° 50% 7.28 6.92 7.10 45° 70% 7.78 7.24 7.51 65° 0% 4.17 4.28 2.23 65° 30% 4.25 4.59 2.42 65° 50% 4.26 4.89 2.58 65° 70% 4.96 4.74 2.85 参量 细颗粒 粗颗粒 细颗粒与粗颗粒 平均平动动能Et/10–4J 2.41 169.28 — 平均转动动能Er/10–7J 4.66 26.03 — 平均法向力Fn/10–6N 19.04 155.37 31.77 平均切向力Ft/10–3N 6.84 55.37 11.36 平均法向重叠量/ 10–2mm 4.01 10.13 4.77 平均切向重叠量/ 10–2mm 1.05 2.87 1.27 模拟变量 模拟结果 冲程 堆积宽度 最大厚度 堆积面积 累积质量 静堆积角 含石量 ↗↘ ↗↘ ↘↗ ↗↘ ↘(较小) ↘(较小)或↗(较小) 坡度 ↗↗ ↗ ↘ ↗↗ ↗↗ ↘↘ 注: 1. 表中所考虑的均是模拟变量数值增大对模拟结果的影响; 其中, 含石量σ(%)的取值分别为0, 30, 50, 70; 坡度θ(°)的取值分别为30, 45, 65. 2. “↗”表示模拟结果持续增大, “↘”表示模拟结果持续减小; “↗ ↘”表示模拟结果先增大后持续减小, “↘ ↗”表示模拟结果先减小后持续增大, “↗ ↗”表示模拟结果增大明显, “↘ ↘”表示模拟结果减小明显, “↘(较小)”表示模拟结果小幅度减小, “↗(较小)”表示模拟结果小幅度增大. -
[1] [2] [3] [4] [5] [6] [7] [8] [9] [10] [11] [12] [13] [14] [15] [16] [17] [18] [19] [20] [21] [22] [23] [24] [25] [26] [27] [28] [29] [30] [31] [32]
计量
- 文章访问数:8152
- PDF下载量:98
- 被引次数:0












下载:























