搜索

x

留言板

姓名
邮箱
手机号码
标题
留言内容
验证码

downloadPDF
引用本文:
Citation:

    马浩浩, 张显斌, 魏旭艳, 曹佳萌

    Theoretical study on Schottky regulation of WSe2/graphene heterostructure doped with nonmetallic elements

    Ma Hao-Hao, Zhang Xian-Bin, Wei Xu-Yan, Cao Jia-Meng
    PDF
    HTML
    导出引用
    • 采用平面波超软赝势方法研究了非金属元素掺杂对二硒化钨/石墨烯肖特基电子特性的影响. 研究表明二硒化钨与石墨烯层间以范德瓦耳斯力结合形成稳定的结构. 能带结果表明二硒化钨与石墨烯在稳定层间距下形成n型肖特基势垒. 三维电子密度差分图表明石墨烯中的电子向二硒化钨移动, 使二硒化钨表面带负电, 石墨烯表面带正电, 界面形成内建电场. 分析表明, 将非金属原子掺杂二硒化钨可以有效地调控二硒化钨/石墨烯肖特基势垒的类型和高度. C, O原子掺杂二硒化钨时, 肖特基类型由p型转化为n型, 并有效降低了肖特基势垒的高度; N, B原子掺杂二硒化钨时, 掺杂二硒化钨体系表现出金属性, 与石墨烯接触表现为欧姆接触. 本文结果可为二维场效应晶体管的设计与制作提供相关指导.
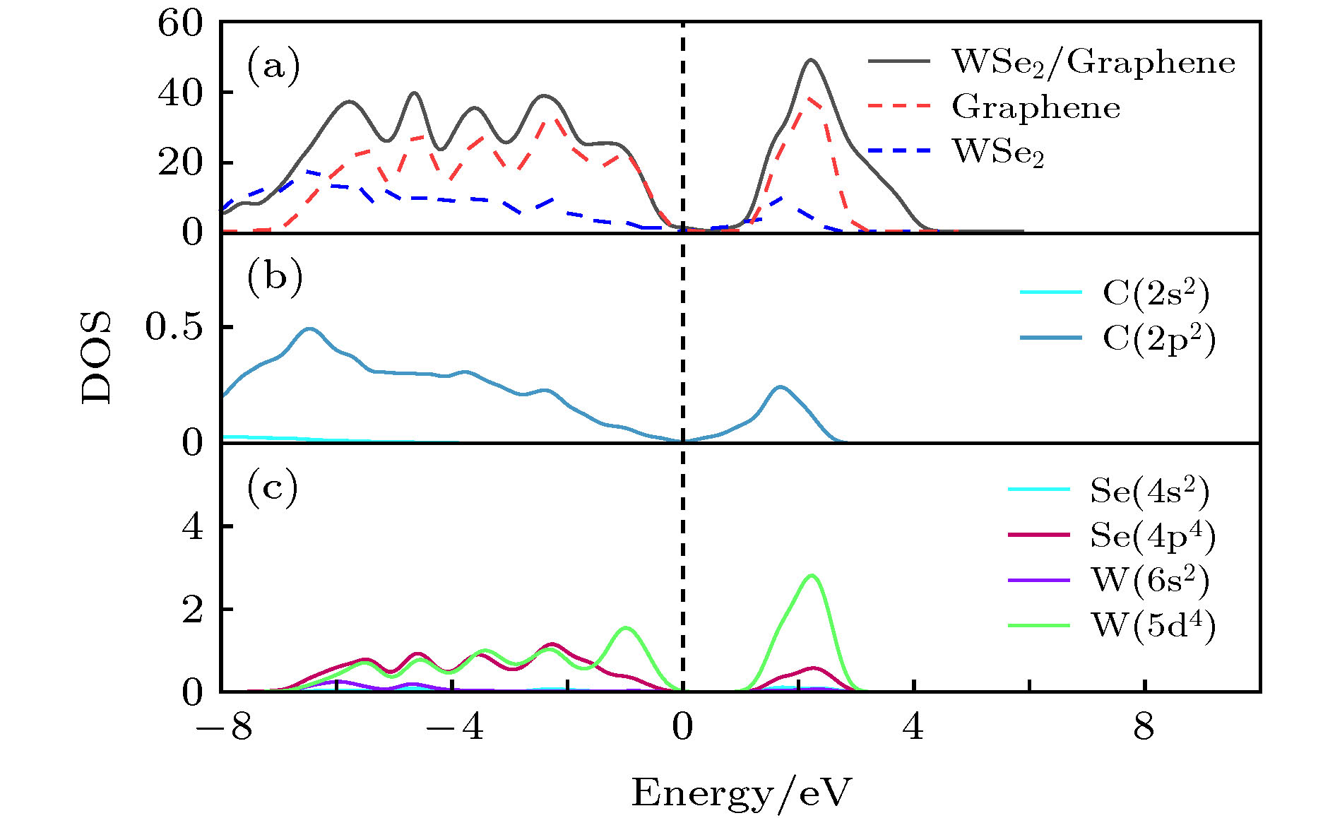
      In order to effectively control the type and height of Schottky barrier, it is crucial to appropriately select the material and method of controlling the type and height of the Schottky barrier effectively. Two-dimensional materials exhibit massive potential in research and development due to their unique electrical, optical, thermal and mechanical properties. Graphene is a two-dimensional material found earliest, which has many excellent properties, such as high carrier mobility and large surface area. However, single-layered graphene has a zero band gap, which limits its response in electronic devices. Unlike the graphene, the transition metal sulfides have various band structures and chemical compositions, which greatly compensate for the defect of zero gap in graphene. From among many two-dimensional transition metal sulfides, we choose WSe 2. The reason is that the single-layered WSe 2possesses the photoelectric excellent performance, band gap that can meet the majority of requirements in electronic and photoelectric devices, and transport properties that can be adjusted to p-type or bipolar which is first found in semiconductor materials. And compared with metal, the graphene at room temperature has superior properties such as high electron mobility, resistivity of 10 -6Ω·m lower than copper and silver, coefficient of thermal conductivity 5300 W/(m·K) large than 10 times that of copper, aluminum and other metal, and hardness exceeding the diamond, fracture strength up to 100 times more than that of iron and steel. The Two-dimensional semiconductors along with semimetallic graphene are seen as the basic building blocks for a new generation of nanoelectronic devices, in this sense, the artificially designed transition metal sulfide heterostructure is a promising option for ultrathin photodetectors. At present, most researchers focus on the control of the type and height of Schottky via heterojunction doped metallic element. However, there are few Schottky that are doped by nonmentallic element. Therefore, our work provides the interaction between WSe 2and graphene, which are described by the first principles effectively. The results show that there is the van der Waals interaction between the interface of WSe 2and that of graphene, and thus forming a stable structure. Through the analysis of energy band, it is found that the semiconductor properties of WSe 2are changed by the coupling between WSe 2and graphene, making the WSe 2transform from direct band gap into indirect band gap semiconductor. Furthermore, the total density of states and corresponding partial density of states of WSe 2/graphene heterostructure are investigated, and the results show that the valence band is composed of hybrid orbitals of W 5d and Se 4p, whereas the conduction band is comprised of W 5d and C 2p orbitals, the orbital hybridization between W 5d and Se 4p will cause the photo generated electrons to transfer easily from the internal W atoms to the external Se atoms, thereby forming a build-in internal electric field from graphene to WSe 2. Finally, for ascertaining the effect of doping WSe 2with nonmetallic elements, the WSe 2/graphene Schottky is investigated by using the plane-wave ultrasoft pseudo potentials in detail. Besides, the lattice mismatch rate and lattice mismatch can prove the rationality of doping WSe 2by non-metallicelement. The stability of the combination between the doped WSe 2and graphene is demonstrated by the interface binding energy. The influence of nonmetallic atoms on WSe 2is analyzed before investigating the heterojunction of the doped WSe 2and graphene. The results show that the band gap of WSe 2doped by O atoms changes from 1.62 to 1.66 eV and the leading band moves upward by 0.04 eV. This indicates that O atom doping has little effect on the band gap of WSe 2. When WSe 2is doped with N and B atoms, the impurity energy level appears near the Fermi level of WSe 2, which results in the band gap being zero, and then it presents severe metallization. This is due to the Fermi level of WSe 2shifting. When the C atom is doped, the impurity level appears at the bottom of the guide band of WSe 2, and the band gap is 0.78 eV. Furthermore, we analyze the effect of doping on heterojunction. In the W 9Se 17O 1/graphene heterojunction, the Schottky barrier height of n-type and p-type are 0.77 eV and 0.79 eV respectively. It shows that the heterojunction type transforms form p-type into n-type, whose Schottky barrier height is reduced effectively. Due to the W 9Se 17N 1as well as W 9Se 17B 1with metallic properties combining with graphene, the Fermi energy level of graphene is shifted, its Dirac point is located above the Fermi energy level and its conduction band has a filling energy level. When doped with N and B atoms, WSe 2/graphene belongs to the type of ohmic contact. When W 9Se 17C 1contacts the graphene, the graphene Dirac point is on the Fermi surface, and the Fermi energy level of W 9Se 17C 1is shifted by 0.59 eV. And then, the height of Schottky barrier of type-n for the heterojunction is 0.14 eV, the height of type-p is 0.59 eV and overall type of heterojunction is type-n. Therefore, by doping WSe 2with O, N, C and B, the WSe 2/graphene Schottky type and barrier height can be adjusted. These will provide guidance for designing and manufacturing the 2D FET.
        [1]

        [2]

        [3]

        [4]

        [5]

        [6]

        [7]

        [8]

        [9]

        [10]

        [11]

        [12]

        [13]

        [14]

        [15]

        [16]

        [17]

        [18]

        [19]

        [20]

        [21]

        [22]

        [23]

        [24]

        [25]

        [26]

        [27]

        [28]

        [29]

        [30]

        [31]

        [32]

        [33]

        [34]

        [35]

        [36]

        [37]

        [38]

        [39]

        [40]

        [41]

        [42]

        [43]

        [44]

        [45]

        [46]

        [47]

        [48]

        [49]

        [50]

        [51]

        [52]

        [53]

        [54]

        [55]

        [56]

        [57]

        [58]

        [59]

        [60]

        [61]

        [62]

        [63]

        [64]

      • a1/nm a2/nm σ/% Ef/eV Ecoh/eV·nm–2 ΔEmismatch/eV·nm–2
        W9Se18 0.990 0.984 0.625 0 –1.791 –1.690
        W9Se17O1 0.979 0.984 0.500 0.373 –3.000 –6.896
        W9Se17N1 0.983 0.984 0.020 0.732 –1.992 –7.022
        W9Se17C1 0.987 0.984 0.304 2.650 –1.905 –6.923
        W9Se17B1 0.989 0.984 0.586 5.430 –2.662 –6.500
        下载: 导出CSV
      • [1]

        [2]

        [3]

        [4]

        [5]

        [6]

        [7]

        [8]

        [9]

        [10]

        [11]

        [12]

        [13]

        [14]

        [15]

        [16]

        [17]

        [18]

        [19]

        [20]

        [21]

        [22]

        [23]

        [24]

        [25]

        [26]

        [27]

        [28]

        [29]

        [30]

        [31]

        [32]

        [33]

        [34]

        [35]

        [36]

        [37]

        [38]

        [39]

        [40]

        [41]

        [42]

        [43]

        [44]

        [45]

        [46]

        [47]

        [48]

        [49]

        [50]

        [51]

        [52]

        [53]

        [54]

        [55]

        [56]

        [57]

        [58]

        [59]

        [60]

        [61]

        [62]

        [63]

        [64]

      • [1] 刘俊岭, 柏于杰, 徐宁, 张勤芳.GaS/Mg(OH)2异质结电子结构的第一性原理研究. 必威体育下载 , 2024, 73(13): 137103.doi:10.7498/aps.73.20231979
        [2] 姜舟, 蒋雪, 赵纪军.二维kagome晶格过渡金属酞菁基异质结的电子性质. 必威体育下载 , 2023, 72(24): 247502.doi:10.7498/aps.72.20230921
        [3] 丁俊, 文黎巍, 李瑞雪, 张英.铁电极化翻转对硅烯异质结中电子性质的调控. 必威体育下载 , 2022, 71(17): 177303.doi:10.7498/aps.71.20220815
        [4] 邓霖湄, 司君山, 吴绪才, 张卫兵.过渡金属二硫化物/三卤化铬范德瓦耳斯异质结的反折叠能带. 必威体育下载 , 2022, 71(14): 147101.doi:10.7498/aps.71.20220326
        [5] 房晓南, 杜颜伶, 吴晨雨, 刘静.(SrVO3)5/(SrTiO3)1(111)异质结金属-绝缘体转变和磁性调控的第一性原理研究. 必威体育下载 , 2022, 71(18): 187301.doi:10.7498/aps.71.20220627
        [6] 郝国强, 张瑞, 张文静, 陈娜, 叶晓军, 李红波.非对称氧掺杂对石墨烯/二硒化钼异质结肖特基势垒的调控. 必威体育下载 , 2022, 71(1): 017104.doi:10.7498/aps.71.20210238
        [7] 姚文乾, 孙健哲, 陈建毅, 郭云龙, 武斌, 刘云圻.二维平面和范德瓦耳斯异质结的可控制备与光电应用. 必威体育下载 , 2021, 70(2): 027901.doi:10.7498/aps.70.20201419
        [8] 白亮, 赵启旭, 沈健伟, 杨岩, 袁清红, 钟成, 孙海涛, 孙真荣.基于MXene涂层保护Cs3Sb异质结光阴极材料的计算筛选. 必威体育下载 , 2021, 70(21): 218504.doi:10.7498/aps.70.20210956
        [9] 李永宁, 谢逸群, 王音.二维铁电In2Se3/InSe垂直异质结能带的应力调控. 必威体育下载 , 2021, 70(22): 227701.doi:10.7498/aps.70.20211158
        [10] 刘川川, 郝飞翔, 殷月伟, 李晓光.Pt/BiFeO3/Nb:SrTiO3异质结的光伏效应和光调控整流特性. 必威体育下载 , 2020, 69(12): 127301.doi:10.7498/aps.69.20200280
        [11] 龙慧, 胡建伟, 吴福根, 董华锋.基于二维材料异质结可饱和吸收体的超快激光器. 必威体育下载 , 2020, 69(18): 188102.doi:10.7498/aps.69.20201235
        [12] 左博敏, 袁健美, 冯志, 毛宇亮.应力调控下二维硒化锗五种同分异构体的第一性原理研究. 必威体育下载 , 2019, 68(11): 113103.doi:10.7498/aps.68.20182266
        [13] 郭丽娟, 胡吉松, 马新国, 项炬.二硫化钨/石墨烯异质结的界面相互作用及其肖特基调控的理论研究. 必威体育下载 , 2019, 68(9): 097101.doi:10.7498/aps.68.20190020
        [14] 李小影, 黄灿, 朱岩, 李晋斌, 樊济宇, 潘燕飞, 施大宁, 马春兰.-(Zn,Cr)S(111)表面上的Dzyaloshinsky-Moriya作用:第一性原理计算. 必威体育下载 , 2018, 67(13): 137101.doi:10.7498/aps.67.20180342
        [15] 康海燕, 胡辉勇, 王斌, 宣荣喜, 宋建军, 赵晨栋, 许小仓.Si/Ge/Si异质横向SPiN二极管固态等离子体解析模型. 必威体育下载 , 2015, 64(23): 238501.doi:10.7498/aps.64.238501
        [16] 张理勇, 方粮, 彭向阳.金衬底调控单层二硫化钼电子性能的第一性原理研究. 必威体育下载 , 2015, 64(18): 187101.doi:10.7498/aps.64.187101
        [17] 冯秋菊, 蒋俊岩, 唐凯, 吕佳音, 刘洋, 李荣, 郭慧颖, 徐坤, 宋哲, 李梦轲.CVD法制备p-ZnO薄膜/n-Si异质结发光二极管及其性能研究. 必威体育下载 , 2013, 62(5): 057802.doi:10.7498/aps.62.057802
        [18] 吴木生, 徐波, 刘刚, 欧阳楚英.应变对单层二硫化钼能带影响的第一性原理研究. 必威体育下载 , 2012, 61(22): 227102.doi:10.7498/aps.61.227102
        [19] 全知觉, 孙立忠, 叶振华, 李志锋, 陆 卫.碲镉汞异质结能带结构的优化设计. 必威体育下载 , 2006, 55(7): 3611-3616.doi:10.7498/aps.55.3611
        [20] 刘 鲁, 范广涵, 廖常俊, 曹明德, 陈贵楚, 陈练辉.AlGaInP四元系材料渐变异质结及其在高亮度发光二级管器件中的应用. 必威体育下载 , 2003, 52(5): 1264-1271.doi:10.7498/aps.52.1264
      计量
      • 文章访问数:9849
      • PDF下载量:261
      • 被引次数:0
      出版历程
      • 收稿日期:2020-01-12
      • 修回日期:2020-03-23
      • 刊出日期:2020-06-05

        返回文章
        返回