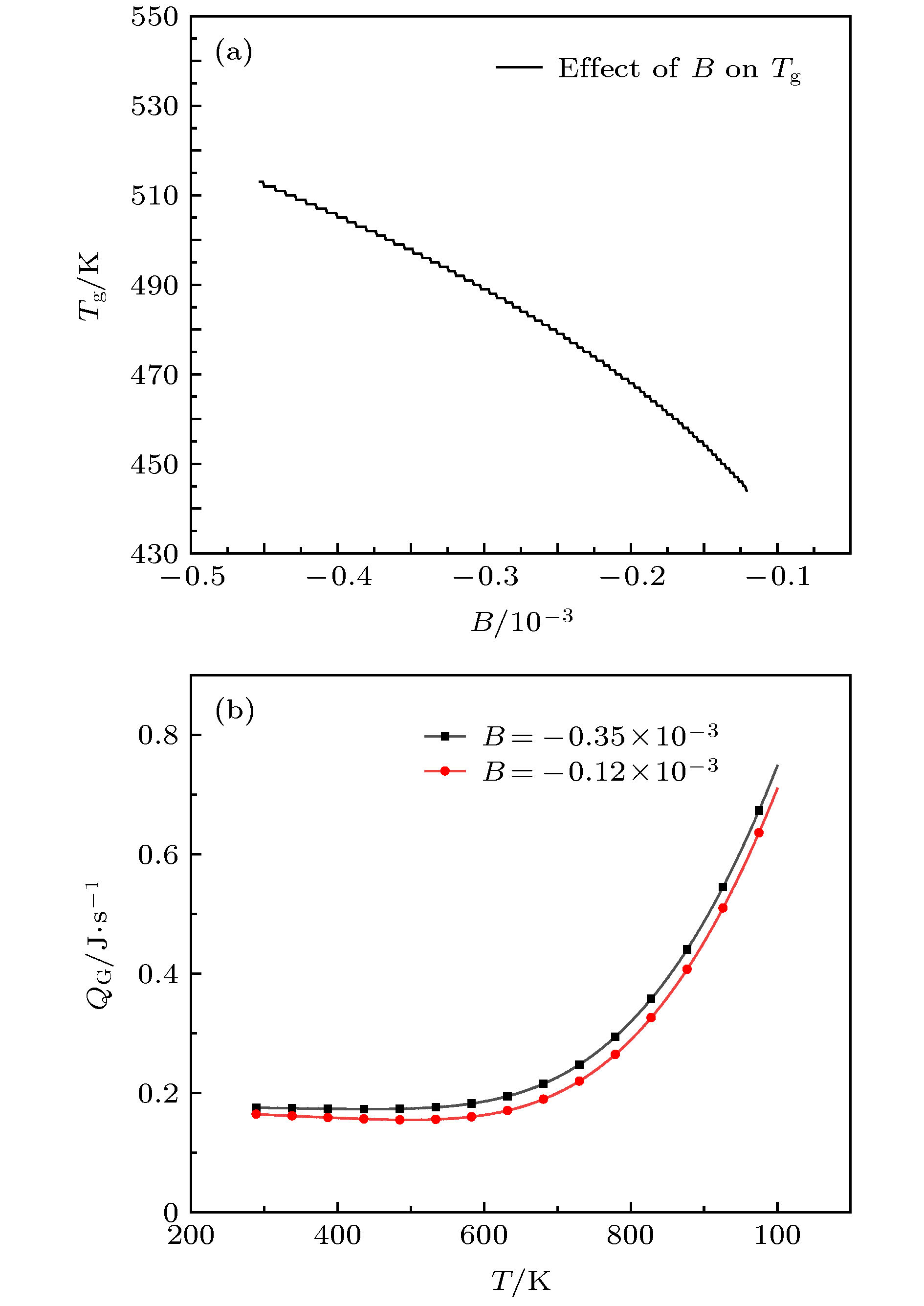
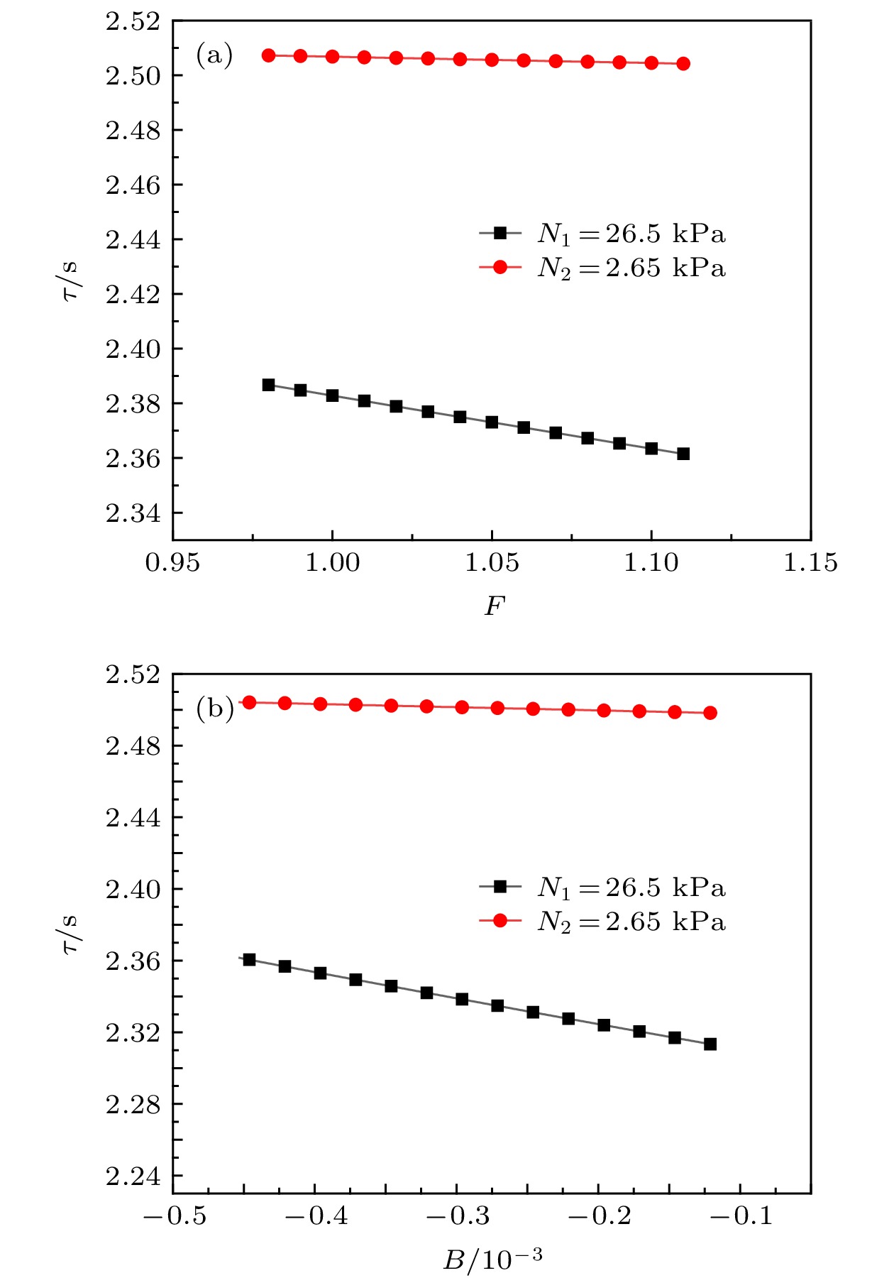
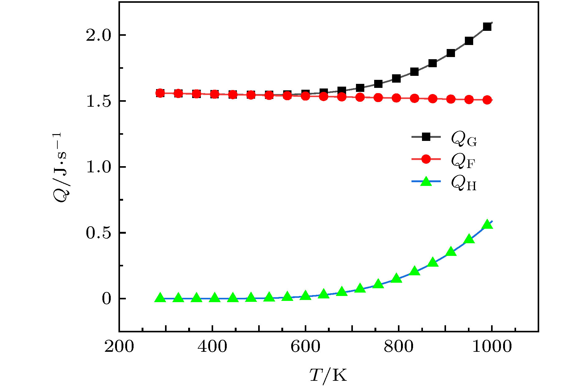
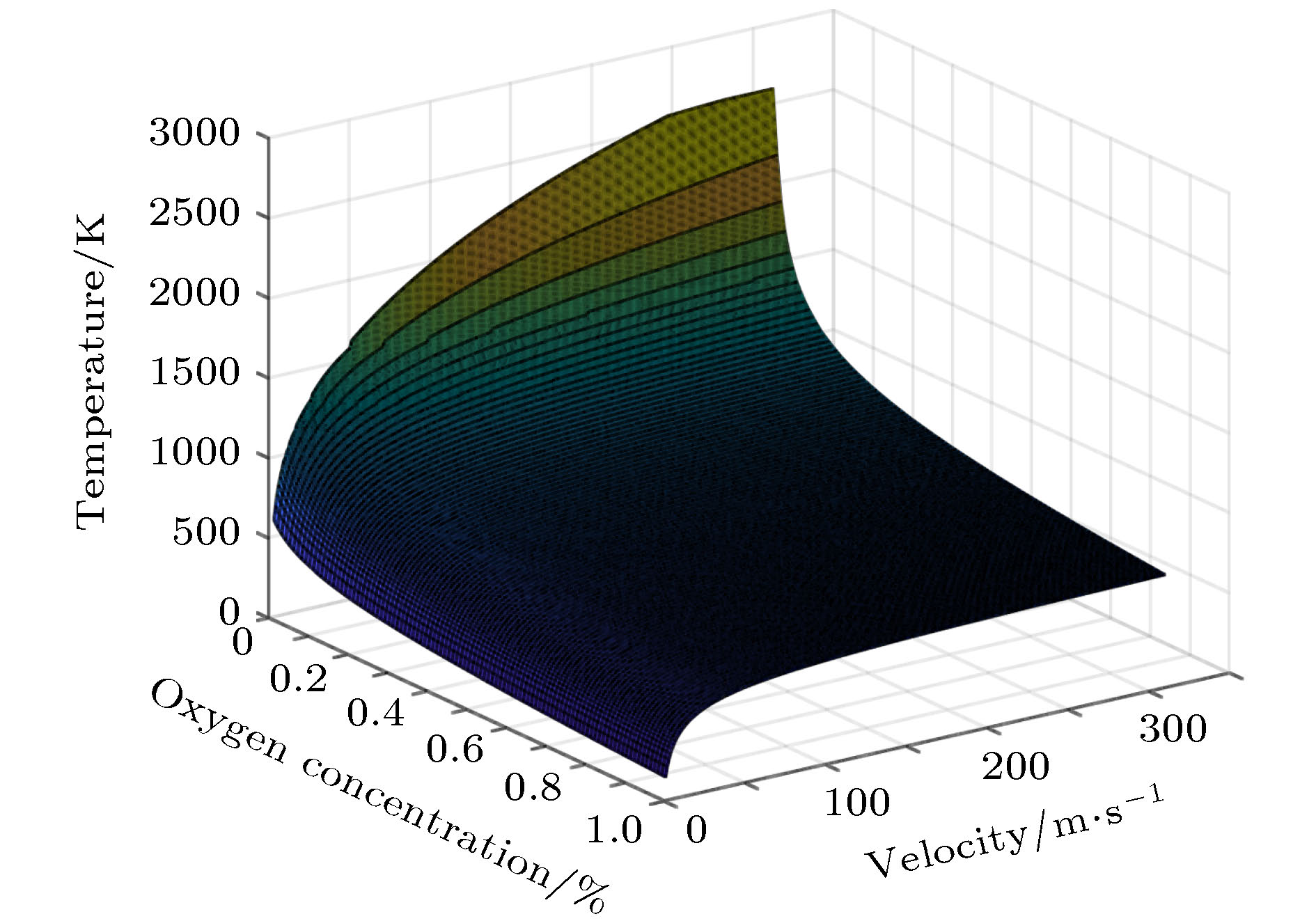
Combustion of titanium alloy is a typical catastrophic failure of modern aeroengine. The abnormal friction between compressor rotor and stator is the main ignition source. A thermal theory model with friction heat source of titanium alloy is established based on the theory of heterogeneous ignition. The corresponding equation of critical temperature and ignition delay time are derived. The difference between the frictional ignition model and the classic model is discussed. The concept of critical heat generation temperature is proposed. The difference from the heterogeneous ignition model, and the effects of friction coefficient, oxygen concentration, flow velocity, contact radius and flame retardant layer thickness on the ignition parameters are analyzed. The research result shows that when the instantaneous temperature of the contact surface is lower than the critical heat temperature, the heat generation process is dominated by frictional heat, and when the temperature is higher than the critical heat temperature, the heat generation process is dominated by chemical reaction heat, that reducing the coefficient of friction can dramatically increase the critical temperature, but the change of friction coefficient has very little effect on the ignition delay time which can be ignored, that the critical temperature decreases significantly with the increase of oxygen concentration and the decrease of flow velocity. When the oxygen concentration increases from 21% to 42% and the flow velocity decreases from 310 m/s to 50 m/s, the critical temperature decreases by about 213 K and 197 K, respectively. The relative error between the experimental result and the theoretical result is 8.3%, which verifies the reliability of the model. The contact area has an effect on friction heat generation, reaction heat generation, and surface heat dissipation, and has a great influence on the critical temperature. The critical temperature decreases exponentially with contact radius increasing. When the contact radius increases to 0.007 m, the ignition temperature of the titanium alloy and its flame retardant layer are 899 K and 988 K, respectively. The increase of the thickness of flame retardant layer can effectively improve the critical temperature and ignition delay time. The critical temperature of titanium alloy with flame retardant layer is increased by about 172 K, and the ignition delay time is increased by about 3 s.