百岁铁电: 新材料、新应用专题
2020, 69 (21): 216801.
doi:10.7498/aps.69.20201718
摘要 +
铁电拓扑结构因其尺寸小而且具有优良的物理特性, 有望应用于未来高性能电子器件中. 本文从应变、屏蔽和外场等对于铁电材料至关重要的几个外部要素出发, 结合薄膜厚度等材料内部参数, 针对PbTiO3和BiFeO3这两种典型的铁电材料, 简要总结新型铁电拓扑结构的形成及其在外场作用下的演变规律. 利用具有亚埃尺度分辨能力的像差校正透射电子显微术呈现了相关拓扑结构的原子结构图谱, 构建了针对PbTiO3体系的厚度-应变-屏蔽相图, 系统归纳了两种材料中各种拓扑结构的形成条件. 最后指出这两类铁电材料中易于调控出拓扑结构的几何维度体系, 并指出像差校正透射电子显微术在表征铁电拓扑结构方面的重要作用, 展望了未来可能的关注重点.
2020, 69 (21): 217501.
doi:10.7498/aps.69.20201063
摘要 +
铁电体中极化拓扑畴(如涡旋畴)有望带来一系列新颖物理现象、新性能和新应用前景(如存储器件应用), 从而引起了广泛兴趣. 尤其是近年来在铁电纳米结构中发现了一系列有趣的新奇极化拓扑畴态, 例如涡旋、中心畴、斯格明子、麦韧(Meron, 也有称半子)等, 引发了新一轮探索热潮. 这些发现为进一步探索其中蕴含的丰富多彩的物理现象创造了条件, 也为调控和设计高性能材料和器件提供了新的基元和序构, 从而形成拓扑电子学的概念. 过去十年, 这一领域经历了快速发展, 成长为铁电物理领域的前沿热点. 本文将回顾近年来在铁电纳米结构中奇异极化拓扑畴的研究新进展, 并简要讨论了该领域所存在的问题和潜在发展方向.
2020, 69 (21): 217502.
doi:10.7498/aps.69.20201193
摘要 +
磁电耦合效应是百年铁电领域中新兴的科学话题和前沿难点. 包含两种及以上铁性序的多铁性材料则是追求本征强磁电耦合的理想体系, 其展现了丰富的物理性质, 蕴含着很高的应用潜力. 作为关联电子大家庭的一个分支, 多铁性材料体系也涉及电荷、自旋、轨道, 以及晶格多重自由度. 但过往的磁电耦合研究对自旋与晶格自由度关注最多, 却往往忽略了其中的电荷自由度. 实际上, 电荷自由度可以在磁电耦合中扮演重要的媒介作用. 本文将介绍异质结中的铁电场效应和单相多铁性材料中的电荷序所涉及的磁电耦合物理机制, 以及回顾作者近年来在此方向上的若干尝试, 希望能为本领域的研究者提供一些参考.
2020, 69 (21): 217701.
doi:10.7498/aps.69.20201006
摘要 +
介电储能电容器以其充放电速度快、功率密度高等优点, 在现代电子和电力系统中得到了广泛应用. 目前, 与可再生能源相关的新兴产品, 如混合动力汽车、并网光伏发电和风力发电、井下油气勘探等, 对于介电储能电容器的高温储能性能提出了更高的要求. 本文总结了近年来关于聚合物及其纳米复合电介质材料的高温介电储能研究中的代表性研究进展, 为该领域科研工作者进一步研究提供参考. 首先介绍了电介质材料储能的物理机理, 并对电介质材料的几种电导机制进行了总结和分析; 接下来介绍了目前提高聚合物基电介质材料高温储能性能的几种方法, 包括纳米复合改性和相关的层状结构设计, 以及高分子聚合物的分子结构设计和化学交联处理等; 最后对聚合物基电介质材料在高温储能应用领域中尚待解决的科学技术问题进行了讨论, 并展望了未来可能的研究方向.
2020, 69 (21): 217702.
doi:10.7498/aps.69.20201031
摘要 +
随着功率型电子器件设备向小型化和高性能化方向发展, 迫切需要高储能密度、高充放电效率、易加工成型、性能稳定的介质材料. 目前BaTiO3基介电陶瓷具有较高的介电常数, 但耐击穿场强低、柔性差, 而聚合物基电介质材料具有超高功能密度、超快的充放电响应时间、良好的柔韧性、高耐击穿场强、质量轻等优点, 但聚合物材料本身存在介电常数较低、极化强度低等问题, 因此导致两者储能密度较低, 限制了在小型化功率型电容器元件中的应用. 为了获得高储能性能材料, 科学家提出通过复合的方式将高介电常数无机陶瓷填料加入到聚合物中, 提高材料的储能性能, 界面在材料的性能中扮演着至关重要的角色, 本文综述了钛酸钡基/聚偏氟乙烯复合电介质材料界面设计和控制的最新研究进展. 总结了偶联剂、表面活性剂表面改性、聚合物壳层表面修饰、无机壳层表面改性、有机-无机壳层协同改性等界面改性方法对复合材料极化和储能性能的影响, 探讨了现有的界面模型与理论研究方法, 概述了存在的挑战和实际局限性, 展望了未来的研究方向.
2020, 69 (21): 217703.
doi:10.7498/aps.69.20200980
摘要 +
作为电介质大家庭的重要成员, 铁电材料以其蕴含丰富的物理性质而闻名, 并因此吸引了大量科技工作者. 压电效应是铁电材料最为重要的物理性质之一, 同时也是目前铁电材料所有物理性质中应用最为广泛的. 例如: 水声声呐系统、医疗超声探头、压电驱动器等器件的核心压电元件均为铁电材料. 本文将以时间为轴, 重点介绍钛酸铅基铁电材料压电效应的发展历史, 同时讨论铁电材料微观结构、极化状态与压电效应之间的构效关系. 本文涉及到影响铁电材料压电效应的一些重要因素, 如: “准同型相界”、“软性掺杂”、“极化旋转”、“局域结构无序”等, 希望能够在铁电功能材料的设计方面给予读者启发.
2020, 69 (21): 217704.
doi:10.7498/aps.69.20201079
摘要 +
压电陶瓷能够通过正/逆压电效应实现电能与机械能之间的相互转化, 在电子信息、通信、传感等领域中具有广阔的应用前景. 压电陶瓷的压电性能对晶粒尺寸极为敏感, 其晶粒尺寸效应的研究受到了广泛关注. 本文对目前应用较多的几类钙钛矿型压电陶瓷, 包括钛酸钡、锆钛酸铅、铌酸钾钠、钛酸铋钠陶瓷的压电性能晶粒尺寸效应的研究与进展进行了综述; 总结了这些体系中晶粒尺寸的调控方法, 晶粒尺寸效应的表现规律, 同时回顾了相关物理模型与理论机制. 本文为系统理解压电性能的晶粒尺寸效应提供了指导, 并对压电陶瓷晶粒尺寸效应的未来研究方向做出了展望.
2020, 69 (21): 217706.
doi:10.7498/aps.69.20201209
摘要 +
介电电容器具有超高功率密度、低损耗以及高工作电压等优点, 是广泛应用于电子电力系统的关键储能器件. 铁电聚合物是发展高储能密度电介质薄膜材料的理想选择, 而基于铁电聚合物的纳米复合材料则兼具了聚合物的高击穿场强、柔性、易加工等特点以及陶瓷的高介电性能, 是近年来电介质储能材料研究的前沿与热点. 本文首先介绍了铁电聚合物材料的制备、铁电性能以及极化特性的调控方法, 随后总结了铁电聚合物纳米复合材料中纳米填料、复合结构以及界面三个关键调控策略对复合材料介电与储能性能的影响, 并探讨了基于相场方法的纳米复合材料中介电与储能特性的微观机制研究, 最后对高储能密度铁电聚合物纳米复合材料现存问题以及未来发展方向进行了总结与展望.
2020, 69 (21): 217707.
doi:10.7498/aps.69.20201432
摘要 +
近年来有一系列二维范德瓦耳斯材料铁电性被实验证实, 层间滑移铁电体是其中重要的一类, 该机制是传统铁电所没有, 而很多二维材料普遍具有的. 本文回顾了相关研究, 介绍了这种铁电的起源: 不少二维材料双层中上下两层并不对等, 造成净层间垂直电荷转移, 而层间滑移使该垂直铁电极化得以翻转. 这种独特的滑移铁电可广泛存在于范德瓦耳斯双层、多层乃至体相结构中, 层间滑移势垒较传统铁电低几个数量级, 有望极大节约铁电翻转所需的能量. 目前这种滑移铁电机制已在WTe2和β-InSe双层/多层体系得到实验证实, 不少预期极化更高的滑移铁电体系(如BN)也有望在近期实现.
2020, 69 (21): 217708.
doi:10.7498/aps.69.20201365
摘要 +
无机铁电薄膜材料有着优异的电、光特性, 被广泛应用于介电、信息存储、压电、光电等领域. 然而, 基于单晶刚性基底和高温、含氧的合成环境的传统制备工艺, 大大限制了其在柔性电子器件中的应用. 实现无机铁电薄膜材料的柔性化可以将这些材料的性能优势进一步应用到可穿戴电子器件中, 是下一代可穿戴电子器件领域的重要发展方向. 本文综述了无机钙钛矿结构铁电薄膜的柔性化制备工艺, 包括直接在柔性基底上生长和将铁电薄膜从刚性基底上剥离、转印到柔性基底两类. 并介绍了柔性无机铁电薄膜的应用, 对其研究现状及未来发展进行了总结与展望.
2020, 69 (21): 217709.
doi:10.7498/aps.69.20200884
摘要 +
钙钛矿型铁电氧化物由于具有本征的、非易失的、可翻转的自发极化以及带有高电荷密度的极性表面等特性, 被认为是最有前途的功能材料之一. 研究钙钛矿型铁电氧化物的表面结构对理解其表面/界面能量转化、调控表面物质吸附和脱附、控制界面化学反应、以及设计稳定的低功耗电子器件具有重要意义. 本文首先概述了铁电相与其表面结构的关系, 并介绍了钙钛矿型铁电氧化物复杂表面结构的形成; 之后阐述了铁电表面/界面结构的调控机制, 为后续的钙钛矿型铁电氧化物的表面结构设计、表面性能与功能的控制提供了研究基础; 最后介绍了铁电氧化物表面/界面的功能调控和潜在器件的设计, 并结合目前铁电材料领域表面科学研究的局限性, 对今后基于钙钛矿型铁电氧化物表面结构的研究发展以及应用前景提出了展望.
2020, 69 (21): 217710.
doi:10.7498/aps.69.20201433
摘要 +
铁电材料因其具有可被外场调控的电极化状态, 以及在传感器、光电器件和信息存储器件中具有潜在应用前景, 所以一直以来都是凝聚态物理领域的研究热点. 随着微电子集成技术的飞速发展, 电子器件日益趋于微型化、集成化和多功能化. 传统块体铁电材料因受尺寸效应、界面效应等因素影响, 难以满足此发展需求, 因而低维铁电材料引起了学术界的广泛关注. 近年来, 实验上已成功制备出稳定的室温二维铁电材料, 第一性原理计算等理论方法对新材料的预测和设计也促进了二维铁电材料的发展. 同时, 利用二维铁电性与铁谷性、磁性的多铁耦合效应, 可以实现电控谷极化、电控磁性等调控机制. 多重自由度的相互耦合, 会产生如能谷间圆(线)偏振光学选择性、量子自旋霍尔效应等奇异物理特性, 对于自旋电子学、谷电子学及光学的发展具有重大的意义. 本文首先介绍近年来新型二维铁电材料在理论和实验方面的研究进展, 以及二维铁电材料在铁电隧道结、铁电二极管等二维铁电器件中的应用. 其次阐述了二维电控铁谷性和电控磁性的多铁耦合效应及其衍生出的新物理现象和机制. 最后对二维铁电材料和其他物理性质耦合所具有的丰富物理内涵和广阔应用前景, 进行了分析与探讨.
封面文章
2020, 69 (21): 217705.
doi:10.7498/aps.69.20200540
摘要 +
压电陶瓷作为一种能够实现机械能和电能相互转换的功能材料, 在民用和军事方面都有着广泛应用. 随着人们环保及健康意识的提高, 高性能兼具环境协调性的无铅压电陶瓷的研究成为了一项紧迫任务. 在众多无铅材料中, (K, Na)NbO3(KNN)基陶瓷因其优异的综合性能而受到关注, 但是利用相界同时调控高压电和电卡性能的研究偏少. 本文采用传统固相方法制备了0.944K0.48Na0.52Nb0.95Sb0.05O3-0.04Bi0.5(Na0.82K0.18)0.5ZrO3-1.6%(AgxNa1–x)SbO3-0.4%Fe2O3(x= 0—1.0)无铅压电陶瓷, 重点研究了AgSbO3/NaSbO3对陶瓷相结构、压电和电卡性能的影响. 研究结果表明: 陶瓷在研究组分范围内均为“三方-正交-四方”三相共存; 随着AgSbO3含量的增加, 该陶瓷的压电及铁电性能均有所波动(d33= 518—563 pC/N,kp= 0.45—0.56,Pmax= 21—23 μC/cm2和Pr= 14—17 μC/cm2). 同时, 利用间接法表征了该陶瓷的电卡效应, 在居里温度附近得到了较高的电卡温变值(>0.6 K). 因此, 在KNN基陶瓷中通过相界构建能够同时实现高压电和良好的电卡性能.
2020, 69 (21): 217801.
doi:10.7498/aps.69.20201195
摘要 +
近年来, 低成本、高效、环保的电卡效应制冷材料得到了广泛研究, 其中包括无机钙钛矿、有机钙钛矿、有机聚合物、分子铁电材料和二维铁电材料等. 这些不同铁电材料的相变类型和电卡性能各异, 而造成其差异的物理起源尚不明确. 本文选择传统无机钙钛矿BaTiO3, PbTiO3和BiFeO3, 有机钙钛矿[MDABCO](NH4)I3, 有机聚合物P(VDF-TrFE), 分子铁电体ImClO4和二维铁电体CuInP2S6这七种材料, 利用Landau-Devonshire理论, 研究并对比了其温变、熵变和电卡强度. 通过分析自由能与极化之间的关系发现, 在相变点附近, 铁电材料的自由能势垒高度随温度的变化率越大, 造成的极化随温度的变化率越高, 而材料的电卡性能也越优异. 本文揭示了不同类型铁电材料电卡性能差异的物理起源, 为进一步开发具有高电卡性能的铁电材料提供理论指导.
研究快讯
编辑推荐
2020, 69 (21): 218801.
doi:10.7498/aps.69.20200988
摘要 +
无毒环保且稳定的非铅双钙钛矿材料因具有和铅基钙钛矿相似的三维结构, 被认为是铅基钙钛矿材料最有前景的替代品之一. 本文采用溶液法制备了一种新型非铅双钙钛矿材料Cs2TeCl6, 利用金刚石对顶砧高压装置和高压原位同步辐射X射线衍射、紫外-可见吸收光谱技术, 对其在高压下的晶体结构、光学带隙和电子结构演化进行了深入研究. 研究表明, 在实验压力范围(0—50.0 GPa)内Cs2TeCl6晶体结构并未发生改变, 始终保持Fm-3m的结构对称性, 表明该样品具有良好的稳定性; Cs2TeCl6的体积随压力的增加曲线变化比较平滑, 通过三阶Birch-Mumaghan状态方程得到了体弹模量B0= (18.77 ± 2.88) GPa; Cs2TeCl6为间接带隙半导体, 在0—20.0 GPa范围内其光学带隙随着压力的增大逐渐减小, 这与高压下八面体[TeCl6]2–的收缩相关. 完全卸压后, Cs2TeCl6恢复到加压前的初始状态. 研究结果为深入理解此类材料的晶体结构和光学性质提供科学依据, 并为调控其晶格结构、光学带隙及电子结构提供思路.
综述
2020, 69 (21): 218501.
doi:10.7498/aps.69.20200755
摘要 +
钙钛矿发光二极管具有色纯度高, 发光层材料带隙可调等优点, 目前其外量子效率已经超过20%, 在平板显示和照明领域有很好的商业化前景. 然而, 同有机发光二极管类似, 钙钛矿发光二极管同样存在衬底模式、表面等离子体模式、波导模式引起的内部损耗问题, 在一定程度上限制了钙钛矿发光二极管的性能提升. 因此, 需要优化器件的材料和几何结构以获得更好的膜间光学导纳匹配, 改善钙钛矿发光二极管光提取效率以增强器件的发光性能. 当前, 通过改变电极材料、增加等离子体激元、引入微纳结构以及优化钙钛矿薄膜和器件结构, 可以增强钙钛矿发光二极管光提取效率, 通过增强光提取效率后的钙钛矿发光二极管外量子效率可达 28.2%, 电流效率可达88.7 cd/A. 本文针对钙钛矿发光二极管材料与结构的改变, 从以上四个方面进行重点阐述. 此外, 进一步分析了这四种方法在提升器件光提取效率方面存在的优点和面临的问题, 从而为钙钛矿发光二极管的制备和优化提供一定的借鉴.
总论
2020, 69 (21): 210501.
doi:10.7498/aps.69.20200413
摘要 +
以永磁同步电动机系统作为研究对象, 当永磁同步电动机受到周期性外部负载扰动, 且扰动频率与电机系统的固有频率之间存在量级差时, 永磁同步电动机系统中存在快慢耦合效应, 会产生复杂的簇发行为, 严重影响电机的安全稳定运行. 首先利用快慢动力学分析方法将负载扰动项作为系统的慢变参数, 分析系统随慢变参数变化的动力学行为, 揭示了系统“周期性对称式亚临界霍普夫(Hopf)簇发振荡”的演化机理. 其次针对电机系统出现的簇发振荡, 提出了基于协同控制的簇发振荡抑制策略. 通过定义含有所有系统状态的宏变量来设计协同控制器, 当宏变量在控制器作用下收敛到不变流形时, 永磁同步电动机系统也稳定到平衡态. 最后通过理论证明和实验验证该方法的有效性, 仿真结果表明, 协同控制策略在系统存在外部负载扰动时, 具有连续的控制律, 能够有效地快速抑制永磁同步电动机出现的簇发振荡现象, 从而使系统稳定运行.
2020, 69 (21): 210701.
doi:10.7498/aps.69.20200773
摘要 +
半导体金属氧化物二氧化钛因其稳定、高效、无毒、兼容、低廉等优点受到广泛的关注, 本文在低温78 K下利用原子力显微镜探索了二氧化钛亚表面电荷的特性及其对表面点缺陷和吸附原子分布的影响. 在原子结构形貌图中亚表面电荷被成像为椭圆形亮丘, 且亮丘的高度主要分布在3个不同的区间内, 这意味着亚表面电荷位于3个不同的亚表面原子层. 在开尔文探针力显微镜成像中, 亚表面电荷的电势分布相对低, 根据电势成像机理, 亚表面电荷为正电荷特性. 原子力显微镜的成像图表明, 亚表面电荷不仅排斥具有正电荷特性的表面氧空位、吸附氢原子和表面台阶, 而且排斥具有负电荷特性的吸附氧原子. 实验结果有助于二氧化钛物理特性的研究及其相关产品性能的改进和设计.
核物理学
2020, 69 (21): 212801.
doi:10.7498/aps.69.20201397
摘要 +
2020年6月22日, 位于瑞典的全面禁止核试验条约国际监测系统放射性核素台站监测到大气中微量的134Cs,137Cs和103Ru等放射性核素, 芬兰和爱沙尼亚在6月14至22日期间还监测到141Ce,95Zr和95Nb等放射性核素, 国际上对这些核素的来源进行了各种猜测. 本文在确证这些核素及其活度浓度基础上, 结合国际监测系统放射性核素台站监测数据的统计分析, 对核事件性质进行了判断, 推算了放射性核素的释放时间, 并利用大气输运模拟程序对这些放射性核素来源进行了初步判断. 结果表明,134Cs与137Cs活度浓度比值约为1.1, 可排除来自核试验或核爆炸; 位于俄罗斯境内的RN61核素台站探测到131I和133I与位于挪威境内的RN49核素台站探测到的133Xe相关, 可能来自反应堆运行过程中的泄漏; 初步判断134Cs,137Cs和103Ru等核素可能来自北欧地区反应堆事故停堆换料或新鲜乏燃料转移过程中的意外释放; 探测到的放射性核素活度浓度为μBq/m3量级, 不会对公众健康产生影响.
原子和分子物理学
2020, 69 (21): 213301.
doi:10.7498/aps.69.20200500
摘要 +
利用动能一定(1360 keV)的高电荷态129Xeq+(q= 21, 23, 25, 27)离子束和动能为4 MeV的129Xe20+离子束分别入射洁净的Cu靶表面, 流强为nA量级, 离子在飞秒时间尺度内俘获靶电子完成中性化, 能量沉积在靶表面使靶原子离化和激发, 发生复杂组态之间的跃迁. 测量到了炮弹离子中性化后的Xe原子退激跃迁辐射的近红外光谱线和相互作用过程中激发和离化的靶原子退激辐射的近红外光谱线, 其中包括偶极禁戒跃迁(磁偶极和电四极跃迁)和Cu22+的磁偶极退激辐射跃迁的近红外光谱线. 4 MeV的129Xe20+离子入射Cu靶表面, 测量到Cu22+的软X射线、Cu原子的L1edge和Lβ3跃迁辐射的X射线以及高电荷态129Xe20+中性化后Xe原子退激辐射的Lη和Lβ3X射线. 结果表明, 低速高电荷态129Xeq+离子入射金属表面中性化过程中, 离子中性化退激和激发离化靶原子辐射红外光谱线, 近红外谱线的单离子荧光产额增加的趋势与入射离子的势能增加趋势相同. Xe原子的特征L X射线是炮弹离子进入表面下形成的第二代空心原子发射的.
电磁学、光学、声学、传热学、经典力学和流体动力学
2020, 69 (21): 214101.
doi:10.7498/aps.69.20200728
摘要 +
非对称传输型超材料在极化转换器与光电二极管等领域具有重要的研究意义及应用价值. 本文借助于结构设计中的拓扑优化技术, 设计出一种具有优异非对称传输特性的新型双层L型变体超材料结构, 实现了线性极化波在K波段及Ka波段的非对称传输现象; 数值仿真分析及实验结果表明, 其非对称传输系数在21.65 GHz处达到0.8562, 在28.575 GHz处达到0.8175, 并通过分析在谐振频点处的表面电流、电场分布, 阐明了双层L型变体超材料结构非对称传输性能的物理机理; 此外, 选取合理的几何参数并改变该结构金属层的旋转角度, 进一步实现了对非对称传输现象的调控, 并在K波段同时实现了线性极化波和圆极化波的非对称传输现象. 本文采用拓扑优化设计方法得到的非对称传输型手性超材料结构具有结构简单、易调控等优点, 且具有明确的方向性, 在手性超材料结构设计领域拥有广阔的应用前景.
2020, 69 (21): 214201.
doi:10.7498/aps.69.20200098
摘要 +
为了在天基远距离条件下估计空间目标的姿态参数, 提出了基于时序光谱信号分级求解目标表面参数及姿态参数的方法. 第一级, 在三轴稳定状态下将空间目标等效为“双面模型”, 引入双向反射分布函数(bidirectional reflectance distribution function, BRDF)的多级融合模型表征复杂材料的光谱反射特性, 基于时谱信号与时谱信号模型对双面光谱BRDF与面积乘积进行重构. 第二级, 为了抑制双面耦合特性对姿态估计的影响, 构建双面特性分离度, 并基于该度量最大化实现光谱波段优选. 第三级, 构建目标姿态运动状态下的时序光谱信号模型, 以模型值与观测值之间的误差为目标函数, 利用Levenberg-Marquardt算法对姿态参数进行估计. 仿真表明, 该方法更适用于方形本体的目标, 且反演误差会随相位角和探测器噪声的增大而增大, 在信噪比SNR ≥ 10条件下反演误差在2%以内.
编辑推荐
2020, 69 (21): 214202.
doi:10.7498/aps.69.20201055
摘要 +
用飞秒脉冲激光照射砷化镓(gallium arsenide, GaAs)晶体, 透射光出现了多级的干涉环. 利用透射式Z-扫描光路, 改变飞秒脉冲激光入射到GaAs晶体表面时的功率密度, 观察到干涉环有规律地收缩(或扩张): 功率密度越大, 出现的干涉环越多, 张角也越大. 高强度飞秒脉冲激光的非线性效应局部地改变了GaAs晶体的折射率, 从而导致光程差的出现, 这是一种非线性效应(克尔透镜). 超快光脉冲在GaAs晶体里产生的克尔透镜不能像理想的薄透镜那样把光束聚焦, 而是让透镜光束形成了干涉环. 通过分析干涉环的变化, 可以得到GaAs晶体的非线性吸收系数和非线性折射率.
2020, 69 (21): 214203.
doi:10.7498/aps.69.20200710
摘要 +
Fokas系统是最简单的二维空间非线性演化模型. 本文首先研究一种相似变换将该系统转换为长波-短波共振模型形式; 然后基于该相似变换和已知的长波-短波共振模型的有理形式解, 通过选择空间变量y的待定函数为Hermite函数, 得到了Fokas系统的一个有理函数表示的严格解析解; 进而选定合适自由参数给出了Fokas系统丰富的二维怪波激发, 并可对二维怪波的形状和幅度进行有效控制; 最后借助图示展现了二维怪波的传播特征. 本文提出的构造Fokas系统二维怪波的途径可以作为一种激发二维怪波现象的潜在物理机制, 并推广应用于其他(2 + 1)维非线性局域或非局域模型.
编辑推荐
2020, 69 (21): 214401.
doi:10.7498/aps.69.20201000
摘要 +
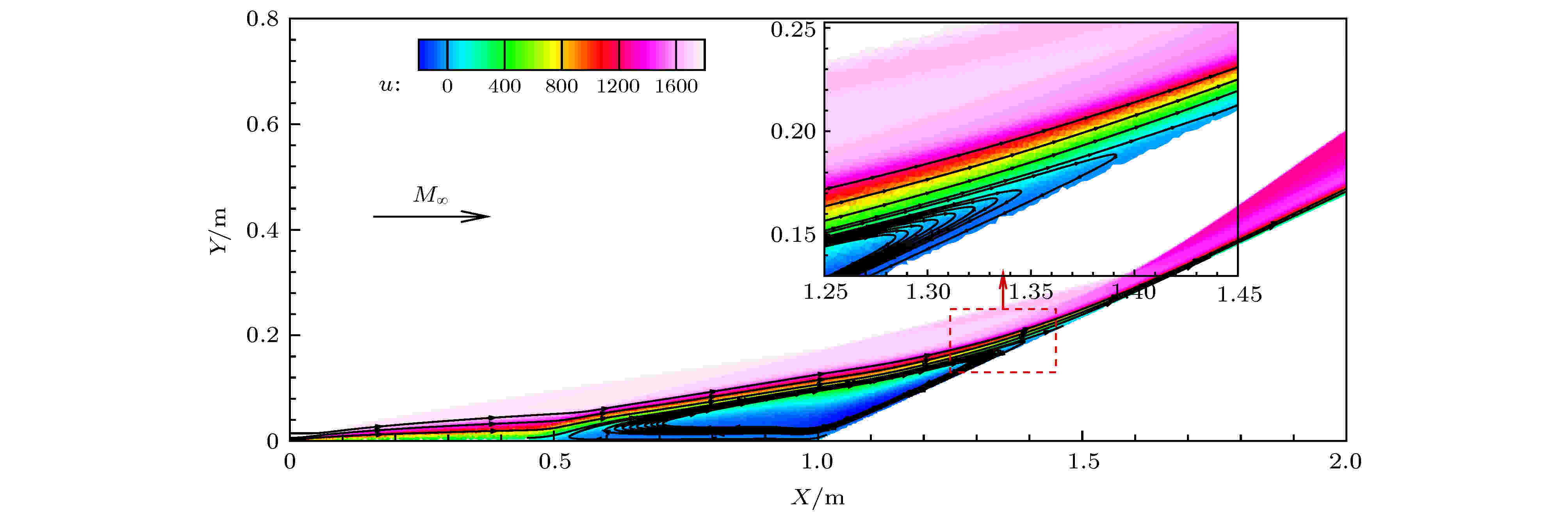
高速流体以一定角度冲击壁面可以简化为斜驻点流动, 包括正驻点流动分量和剪切流动分量. 以往研究集中在不可压缩的斜驻点流动, 本文针对高速可压缩的斜驻点流动模型, 给出了新的自相似求解方案. 通过与数值结果对比验证, 发现该模型能很好地模拟高超声速再附产生的均匀剪切层撞击壁面流动. 通过对比流动中能量输运项和做功项的贡献, 发现斜驻点流动的剪切分量带来较强的压缩效应和耗散效应, 造成流动具有显著的流向对流传热, 表现为再附后近壁流体温度迅速升高, 最终产生壁面上的高热流值. 参数分析表明壁面热流系数与无量纲壁面温度梯度和边界层厚度相关, 前者主要受斜驻点剪切分量参数控制, 后者与驻点分量参数呈负相关.
2020, 69 (21): 214701.
doi:10.7498/aps.69.20200351
摘要 +
自由流体层和多孔介质层交界处同时存在温度梯度和盐度梯度会导致盐指型双扩散对流的发生, 改变流体的运动状态, 进而影响物质输移规律. 本文建立了流体层与多孔介质层界面双扩散耦合模型, 模型采用统一域法, 在上下层分别计算水动力-温度-浓度输运方程, 用快速傅里叶变换求解统一域内流函数方程. 计算分析了
$ \phi = 0.3{{5}},\;0.4{{0}},\;1 $
的三个典型工况, 研究在多孔介质层不同孔隙率下盐指的对流结构和演变过程, 讨论了稳定密度分层下物质输移现象及其输运特性. 结果表明, 与分层水体中的盐指不同, 流体层和多孔介质层界面的盐指具有非对称结构, 多孔介质层的下沉盐指较于上升盐指更宽, 生长速度慢, 在混合区域内具有更好的输运能力. 研究发现多孔介质中固体的存在极大地阻碍了盐指对流的生长, 同时影响了垂向的物质通量; 在孔隙率高的工况中, 由盐度的不稳定分层储存的潜在势能更多地转化为动能, 从而增加了垂直方向上的物质输运, 使盐指具有更强的混合能力.
2020, 69 (21): 214702.
doi:10.7498/aps.69.20200748
摘要 +
以基于纳米示踪平面激光散射技术的密度场测量方法获得的Ma= 3.0平板湍流边界层密度场实验数据为基础, 采用小波方法对湍流边界层密度脉动进行了多尺度与动态特性分析. 研究表明, 近壁区密度脉动概率密度呈偏离高斯分布, 大尺度分量对湍流边界层密度脉动起主导作用, 小尺度分量使概率密度呈“M”型分布; 采用希尔伯特变换对幅度调制效应进行分析, 结果表明超声速湍流边界层近壁处外层大尺度密度偏移会导致内层小尺度密度脉动的局部增强或减弱; 采用基于小波变换的时变谱密度估计对边界层不同高度的密度脉动进行分析, 结果表明脉动主要分布在1 MHz以内, 主导频段的密度脉动间歇性明显; 随着时间的发展, 大部分脉动存在频率从高频过渡到低频, 幅值先增加后减少的规律; 随着高度的增加, 对数区脉动主要分布在105Hz以下, 尾迹区则集中在105Hz以上, 边界层与主流交界处的脉动主要分布在两者相互作用形成的大尺度结构附近, 脉动能量从近壁面到主流区呈现先升高后降低的变化规律.
2020, 69 (21): 214703.
doi:10.7498/aps.69.20200630
摘要 +
针对霍尔效应对高超声速磁流体力学控制的影响问题, 考虑高超声速流动过程中高温化学反应、气体分子热力学温度激发(即平动、转动、振动以及电子温度能量模态之间的激发与松弛过程)及多电离组分等离子体霍尔系数分布, 通过耦合求解各向异性霍尔电场泊松方程和带电磁源项的高温热化学非平衡流动控制方程组, 建立了高超声速流动磁流体力学控制霍尔效应数值模拟方法, 开展了多种条件下高超声速流动磁流体力学控制数值模拟, 分析了霍尔效应“漏电”与“聚集”现象原理及其对气动力/热特性的影响机制, 详细探讨了不同空域、速域和飞行器特征尺度条件下霍尔效应的作用机理和影响规律. 研究表明: 1)霍尔效应改变了流场等离子体洛伦兹力分布, 削弱了整体的力学效果, 使整体的磁阻特性降低; 2)霍尔效应对高超声速磁流体力学控制的影响, 与壁面导电性和壁面附近漏电层的“漏电”现象紧密相关, 要增强磁控效果, 必须抑制壁面附近的“漏电”现象; 3)霍尔效应对磁控热防护效果的影响较为复杂, 受“漏电”现象和电流“聚集”现象共同作用; 4)基于本文基准状态, 当高度高于67 km或速度高于5.7 km/s或特征尺度大于0.5 m时, 霍尔效应使磁控热防护效果增强, 电流“聚集”现象对气动热环境的影响占主导; 反之, 则霍尔效应使磁控热防护效果减弱, “漏电”现象对气动热环境的影响占主导.
气体、等离子体和放电物理
2020, 69 (21): 215201.
doi:10.7498/aps.69.20201018
摘要 +
采用考虑粒子热效应及粒子温度各向异性的温等离子体介电张量模型, 借助绝缘边界条件下径向密度均匀分布等离子体柱中螺旋波与Trivelpiece-Gould (TG)波的本征模色散关系, 理论分析了螺旋波等离子体中典型电子温度范围内中等密度、低磁场情形下m= –1, 0, +1角向模的能量沉积特性. 研究结果表明: 在ω/2π = 13.56 MHz,Ti= 0.1Te参量条件下, 存在一个临界轴向静磁场值B0,c, 当B0<B0,c时螺旋波变为消逝波; 存在一个临界电子温度值Te,c, 当Te<Te,c时TG波变为消逝波; 当波频率靠近电子回旋频率时, TG波的回旋阻尼开始显著陡升; 当电子横纵向温度比Te⊥/Tez大于某一临界值时, TG波变为增长波; 在螺旋波放电典型电子温度Te∈ (3 eV, 5 eV)范围内, TG波朗道阻尼和碰撞阻尼致使的能量沉积在不同范围内占据主导地位.
2020, 69 (21): 215202.
doi:10.7498/aps.69.20201383
摘要 +
超声分子束注入加料技术是用于磁约束聚变等离子体燃料补充的方法之一. 为优化超声分子束注入束流特性, 提升超声分子束注入加料效率以及深入研究分子束与等离子体相互作用, 研制了用于超声分子束束流特性测试的诊断系统并开展了应用测试. 基于超声分子束注入束流具有透明、超高速等特点, 该诊断系统主要利用纹影法配合高速相机进行束流特性测量, 其中纹影系统设计为“Z”字型反射式. 该系统应用在超声分子束束流测试平台上, 测试了分子束束流基本特征. 为验证系统的有效性, 使用不同形状(圆孔及锥形一体式)喷嘴在大气和真空条件下开展了一系列测试, 分别获得了二氧化碳气体及氘气在不同条件下的束流轮廓. 该系统为超声分子束束流优化提供了直接测试手段.
凝聚物质:结构、力学和热学性质
2020, 69 (21): 216101.
doi:10.7498/aps.69.20200304
摘要 +
钛合金燃烧是现代航空发动机的典型灾难性事故, 压气机转子与静子的异常摩擦是主要的着火源. 本文基于非均相着火理论建立了考虑摩擦热源的钛合金着火模型, 推导了着火温度和着火延迟时间的理论计算公式, 进而分析摩擦系数、氧浓度、流速、接触半径以及阻燃层等因素对着火参数的影响规律. 结果表明: 当摩擦接触区的瞬时温度低于临界生热温度时, 生热过程由摩擦热主导; 当高于临界生热温度时, 生热过程由化学反应热主导. 降低摩擦系数可以显著提高着火温度, 而摩擦系数的变化对着火延迟时间影响很小. 着火温度随着氧浓度的增大和流速的减小均呈明显下降趋势. 当氧浓度从21%增加至42%、流速从310 m/s下降至50 m/s时, 着火温度分别降低约213 K和197 K. 实验结果与理论计算值的相对误差为8.3%, 验证了模型的可靠性. 阻燃层可以明显提高钛合金的着火温度和着火延迟时间, 带阻燃层的钛合金的着火温度提高约172 K, 着火延迟时间提高约3 s.
物理学交叉学科及有关科学技术领域
2020, 69 (21): 218101.
doi:10.7498/aps.69.20200592
摘要 +
随着功率型电力电子设备运行负荷的不断增加以及小型化集成化的发展趋势, 对电介质电容器提出了更高的要求, 其需具有高储能密度、快速充放电速度、易加工成型. 钛酸钡基无铅铁电陶瓷具有较高的介电常数的优点, 但耐击穿场强低, 而聚偏氟乙烯(PVDF)聚合物材料具有良好的柔韧性、击穿场强高、质量轻的优点, 但介电常数相对较低, 两者的储能密度均受到了限制. 为了获得高介电常数、高储能密度介质材料, 采用静电纺丝法制备了钛酸锶(SrTiO3)一维纳米纤维作为无机填料, 以聚偏氟乙烯(PVDF)为聚合物基体, 为了改善SrTiO3一维纳米纤维与PVDF聚合物基体之间的界面情况, 利用表面羟基化处理方法对SrTiO3一维纳米纤维进行表面改性, 辅以流延法制备了SrTiO3/PVDF复合材料, 研究了表面羟基化处理SrTiO3一维纳米纤维对复合材料储能性能的影响. 结果表明: 表面羟基化处理SrTiO3纳米纤维填料在PVDF聚合物中分散和结合情况良好, 复合材料具有良好的介电性能和耐击穿性能; 当表面羟基化处理SrTiO3一维纤维填料的填充量为2.5% (体积分数)时, 复合材料的储能密度达7.96 J/cm3.
编辑推荐
2020, 69 (21): 218401.
doi:10.7498/aps.69.20201013
摘要 +
多注相对论速调管放大器向工程化和实用化方向发展, 需要进一步提高其工作重频和使用寿命. 针对高功率多注相对论速调管放大器在输出腔间隙电子束换能后, 会出现电子返流轰击输出腔表面, 以及输出腔间隙电场过高产生射频击穿导致输出腔表面出现烧蚀的问题, 本文分析了强流相对论电子束在器件中的返流过程, 在此基础上设计了四间隙扩展互作用提取结构以避免电子返流和降低间隙电场, 并提高器件工作寿命. 同时针对高工作频段高过模器件中常规水冷却通道会影响输出微波模式的问题, 设计了同轴TEM模-扇形TE10模-同轴TEM模-圆波导TM01模的模式变换结构, 模式转换效率大于99.9%, 避免了收集极水冷却通道对输出微波模式的影响, 以提高器件工作重频. 在重频45 Hz工作条件下, 实验实现X波段长脉冲GW级高功率微波稳定输出, 器件累计运行约10000次, 输出微波参数无明显下降.
2020, 69 (21): 218402.
doi:10.7498/aps.69.20201525
摘要 +
为了对位于天线近场区的目标进行定位和能量传递, 提出了一种近场目标自适应聚焦天线的设计原理. 当无源目标位于阵列天线近场区域时, 通过检测发射阵列天线到接收天线之间的电磁散射参数, 建立发射阵列天线到接收天线之间的功率传输方程, 通过特征值方法优化求解功率传输效率的最大值, 即可获得发射阵列天线在目标位置产生聚焦效应的激励分布. 实验过程中, 随机预设了多个不同位置、不同电磁参数和不同形状的近场目标, 均获得了与预设目标位置相符合的电场聚焦分布效果. 该近场目标自适应聚焦天线能够有效地将辐射电场聚集到位于近场区域的随机目标位置, 从而实现目标的定位、跟踪和能量传递, 聚焦效应对近场目标的位置、形状和电磁参数均不敏感.




