Simultaneous occurrence of temperature gradient and solute gradient at the fluid-sediment interface is conducive to the onset of salt-finger convection, which may in turn cause adverse effects on fluid mechanism. Ignoring the existence of salt finger would lead to numerical errors or sometimes even qualitative error in calculation of vertical mass fluxes. In this paper, a single-domain approach is adopted for the two-dimensional numerical model of flow coupled temperature and solute in a composite region made up of an upper fluid layer and an underlying saturated porous layer to investigate the evolution of the double diffusion convection of salt-finger form at the fluid-saturated porous interface. Darcian model describing the porous medium and incompressible Navier-Stokes equations in the fluid layer are solved at the same time, where different heat capacities, thermal conductivities and solute diffusion coefficients are considered. Three cases for
$ \phi = 0.3{{5}},\;0.4{{0}},\;1 $
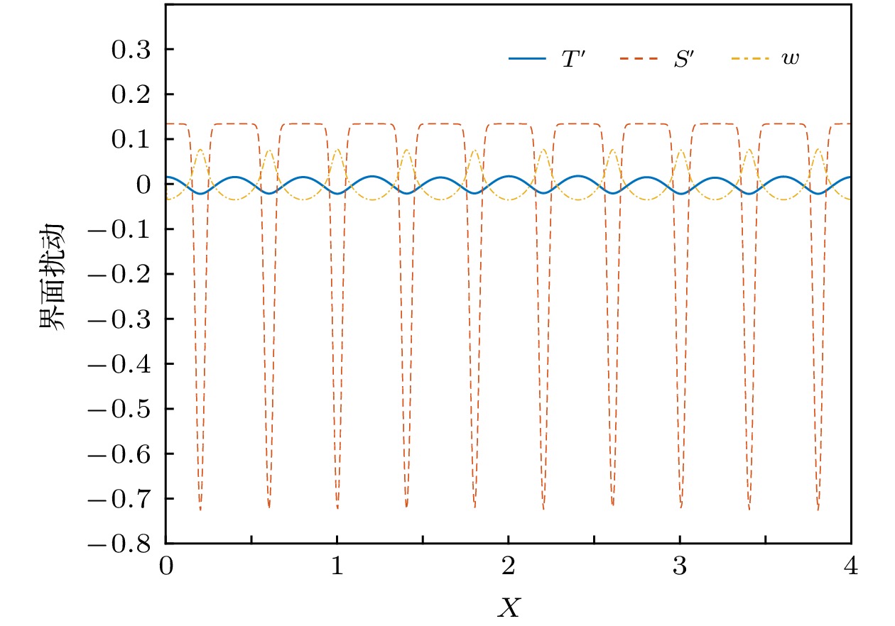
are considerded to study the evolution process and structure of salt fingers. The evolution process of salt finger is divided into three stages: diffusion stage, linear growth stage and slow growth stage. For all cases, the kinetic energy is transformed rapidly at linear growth stage, which promotes the mixture of momentum, temperature and salinity at the interface. Then at the slow growth stage, the kinetic energy conversion rate becomes slower before finally the kinetic energy is dissipated by the viscosity and friction. The results show that unlike the salt finger structure in stratified fluid, an asymmetric structure of salt finger is discovered where finger in the porous medium is shorter and wider. The existence of solid skeleton in porous medium hinders the growth of salt finger and reduces the vertical mass flux. Compared with the temperature, the salinity fluctuates more greatly at the interface, which also means that the effect of salt finger on salinity is greater than that of temperature. It is found that the higher the porosity, the faster the growth of thickness of salt finger interface is. Under the condition of high porosity, the potential energy stored by the unstable stratification of salinity is converted much more into kinetic energy, which increases the transport of heat and mass in the vertical direction and thus enhances the mixture capability of salt finger in the vertical direction.