搜索

x

留言板

姓名
邮箱
手机号码
标题
留言内容
验证码

downloadPDF
引用本文:
Citation:

    乔厚, 何锃, 张恒堃, 彭伟才, 江雯

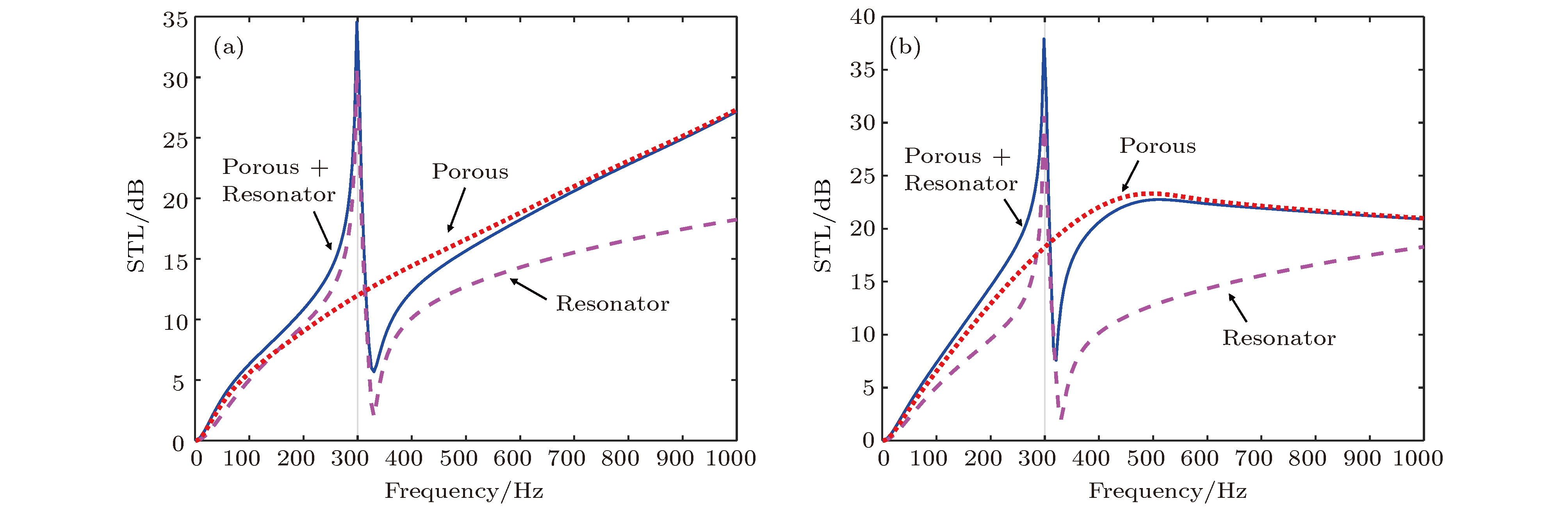
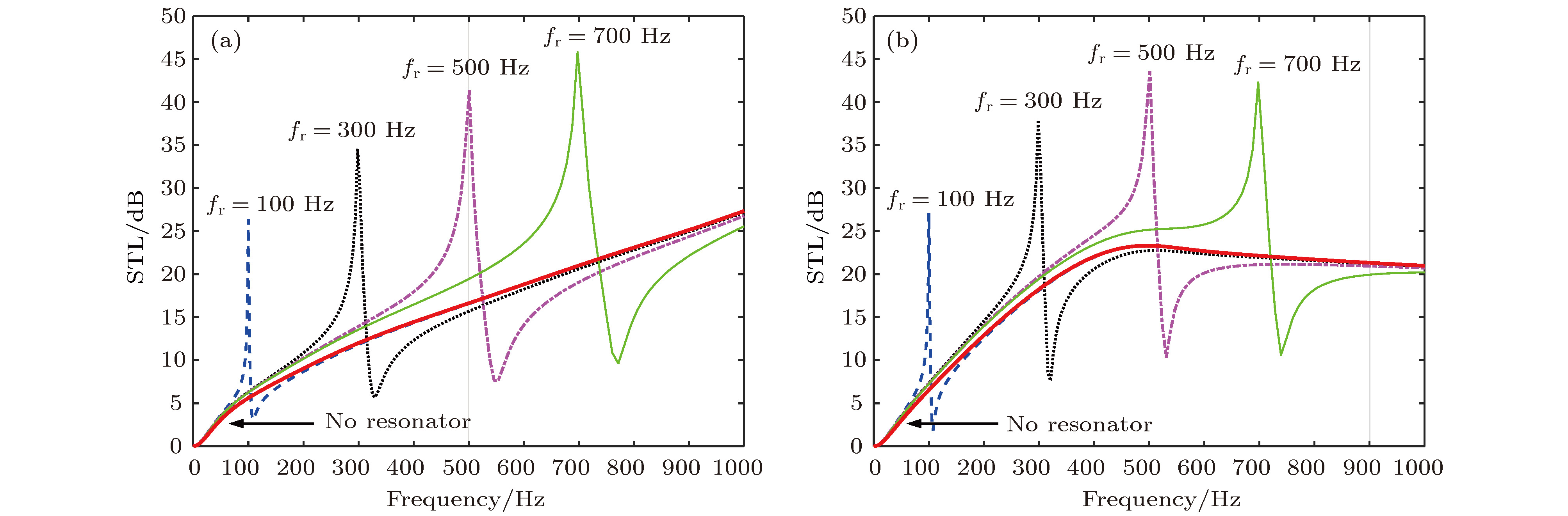
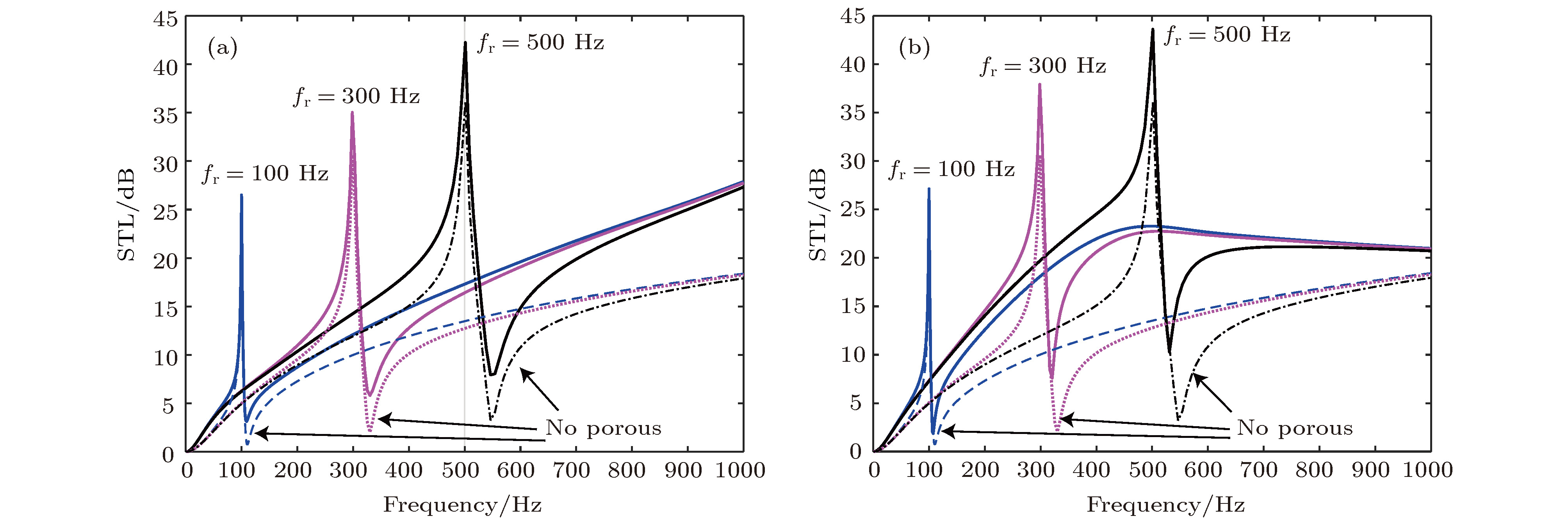
    Sound transmission in two-dimensional periodic poroelastic structures

    Qiao Hou, He Zeng, Zhang Heng-Kun, Peng Wei-Cai, Jiang Wen
    PDF
    HTML
    导出引用
    计量
    • 文章访问数:7353
    • PDF下载量:71
    • 被引次数:0
    出版历程
    • 收稿日期:2019-01-28
    • 修回日期:2019-04-03
    • 上网日期:2019-06-01
    • 刊出日期:2019-06-20

      返回文章
      返回