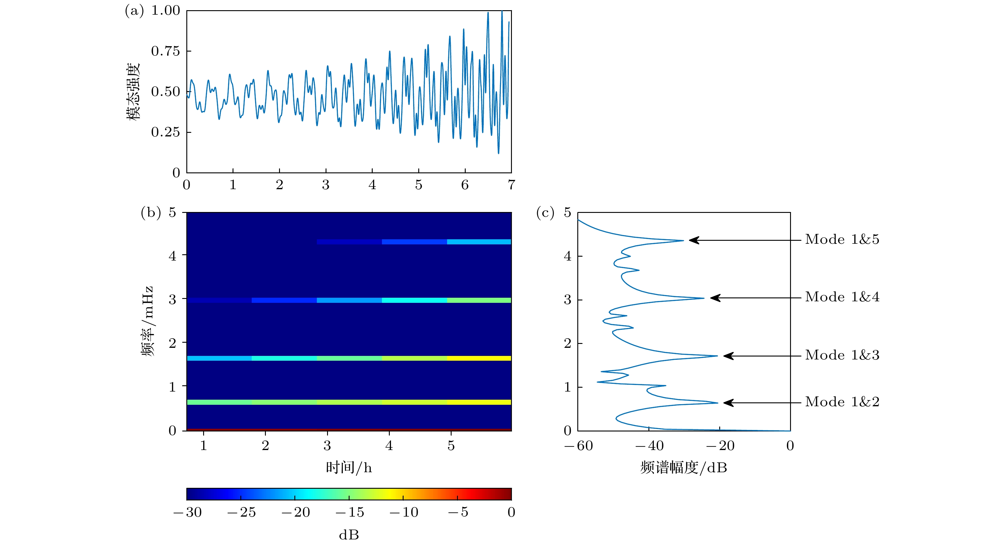
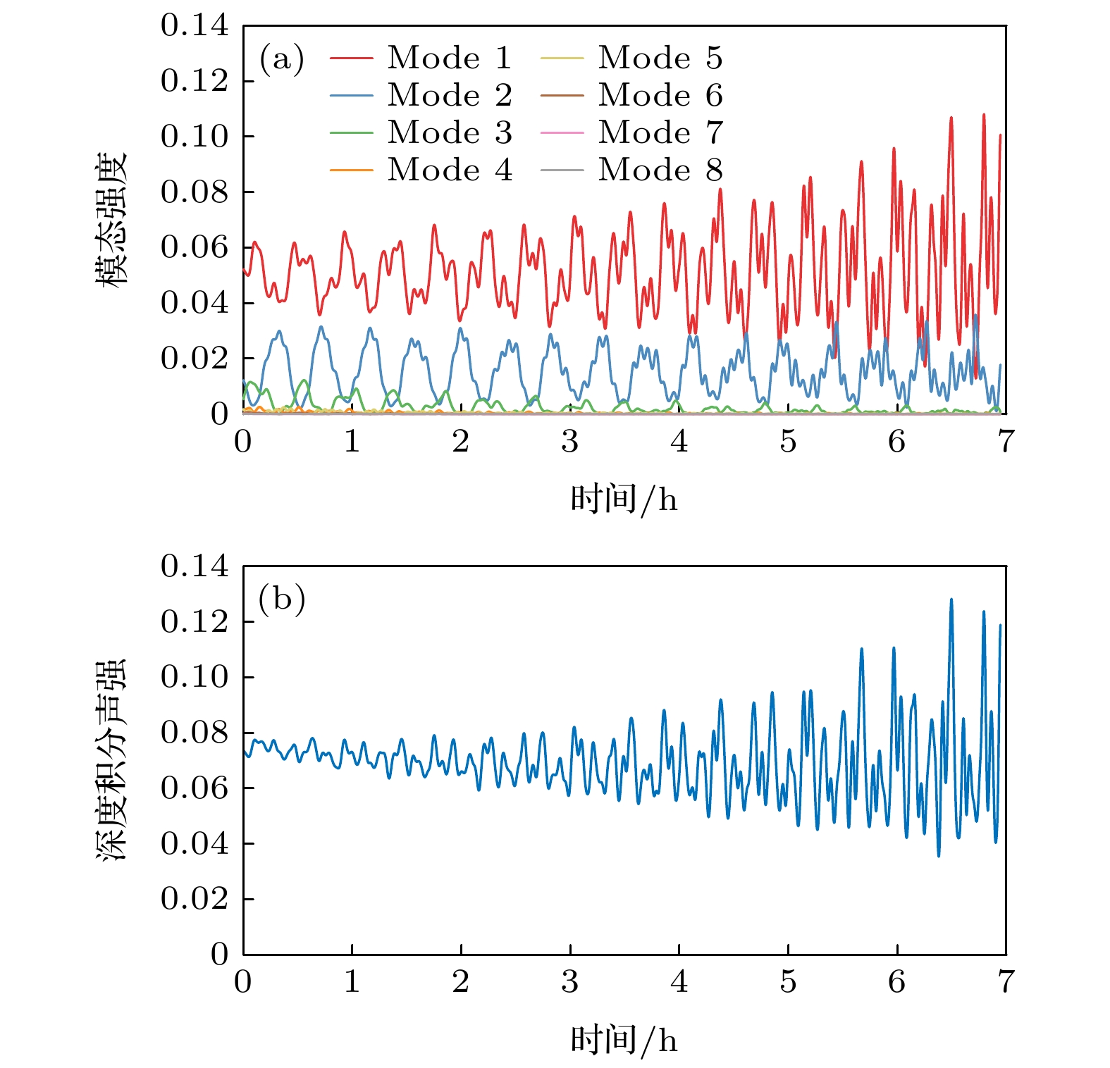
Internal solitary wave (ISW) is a kind of nonlinear internal wave commonly observed in the shallow water, which has the characteristics of large amplitude, short period and strong current velocity. With the distribution of the temperature and the salinity in the water column perturbed by ISWs, the sound speed profile becomes range-dependent, and thus affecting the characteristics of the underwater acoustic propagation. The ISWs usually propagate at a speed of the order of 1 m/s , and moving internal waves cause the energy in each acoustic mode to fluctuate dramatically. In this paper, the modal intensity is defined as the squared modulus of the modal coefficient, and is used to measure the sound energy in each mode. Based on the coupled mode theory, the expression of the acoustic modal intensity during the propagation of internal waves is derived in this paper, and the modal intensity is taken as the linear superposition of the oscillating term and the trend term. Most of previous researches were limited to the study of the time-varying characteristics of the acoustic modal intensity during the propagation of internal waves in the time domain or frequency domain. In this paper, the mechanism of modal intensity fluctuations is studied simultaneously in the time domain and the frequency domain with the aid of the short-time Fourier transform. Both the theoretical derivation and the numerical simulation show that the internal solitary wave gives rise to the energy transfer among acoustic modes, i.e., the mode coupling. The dynamic propagation of internal waves further leads to the modal interference, which behaves as an oscillating term in the modal intensity, and causes the modal intensity to fluctuate rapidly with time. The amplitude of the trend term changes with time due to the mode stripping (the difference in attenuation coefficients between different modes), which in turn adds a time-varying offset to the oscillations induced by the modal interference. The trend of the modal intensity and the time-varying characteristics of the amplitude of each frequency component in the oscillating term are closely associated with the modal attenuation. Meanwhile, the depth-integrated intensity is chosen as the measure of the total received acoustic intensity, and the influences of modal intensity fluctuations on the acoustic energy at the receivers during the propagation of internal waves are studied. It is demonstrated that the modal intensity with high energy which oscillates most dramatically will dominate the temporal variation of the received acoustic energy.