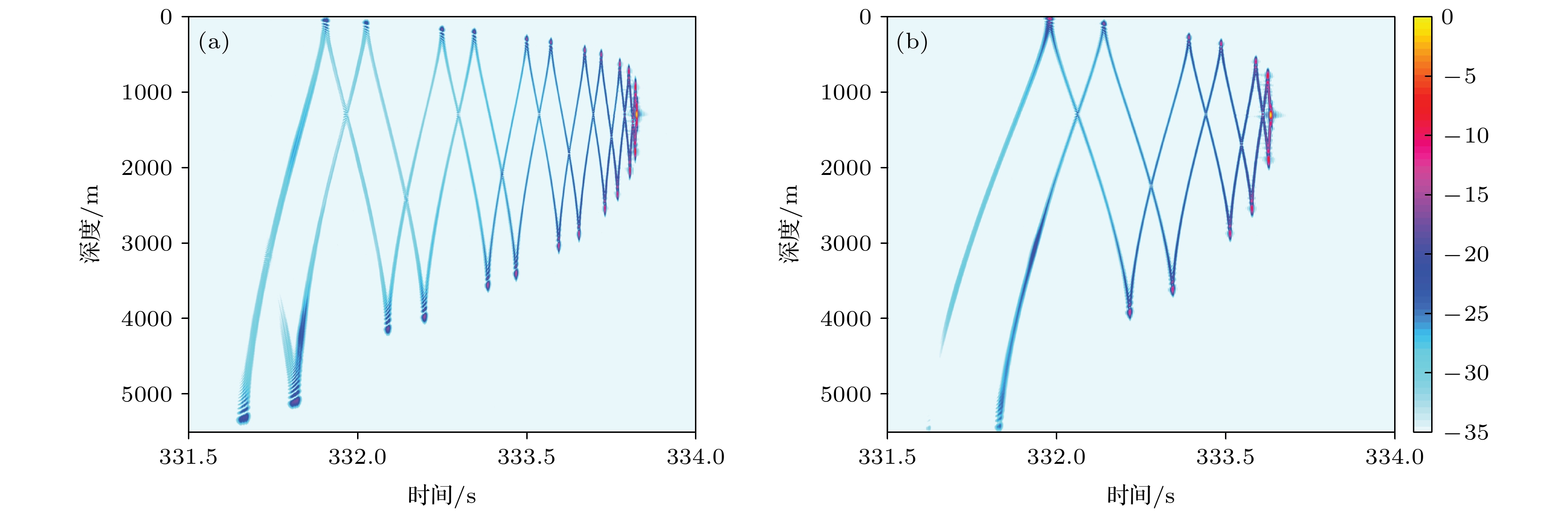
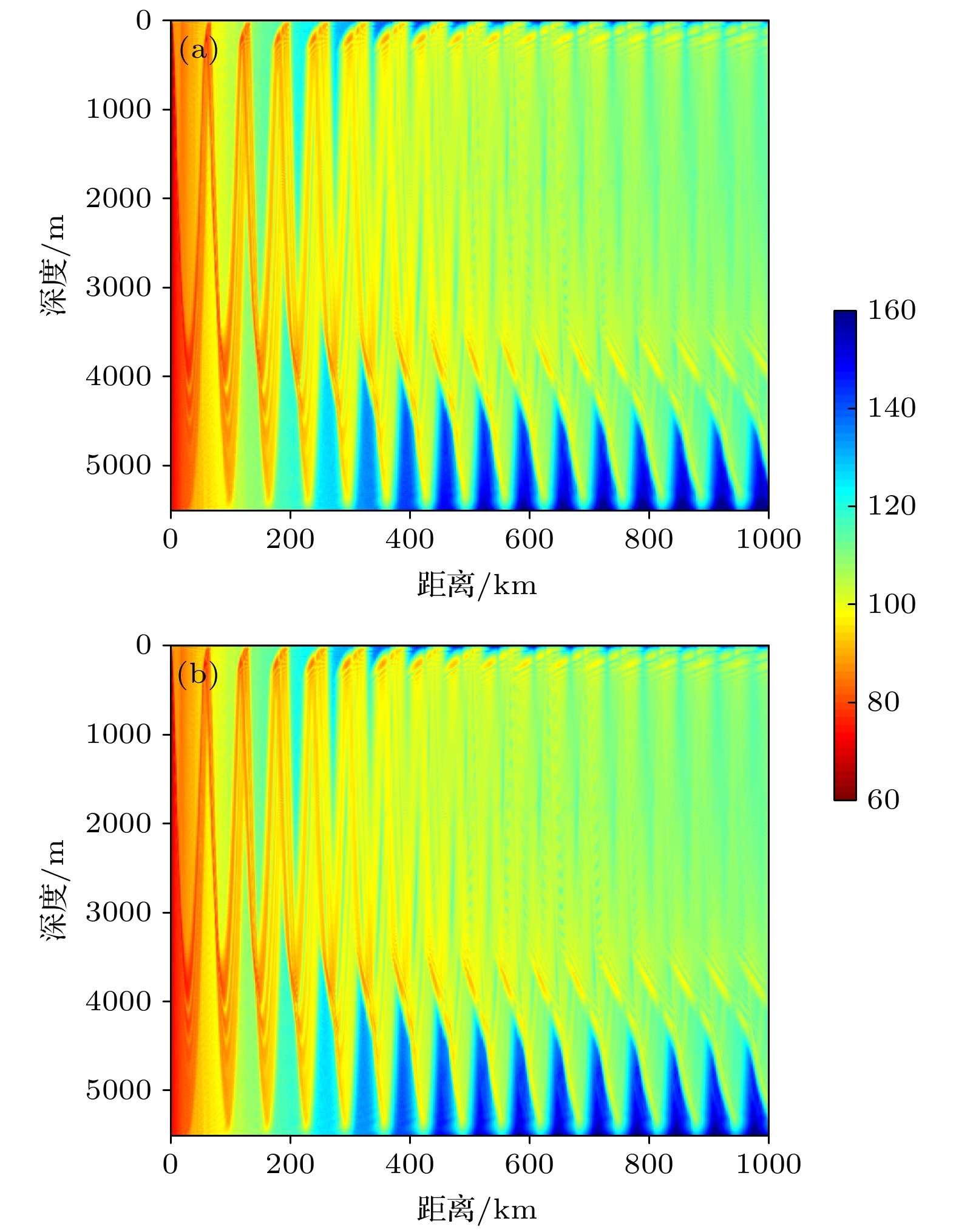
Since the earth is approximately a sphere, the sound speed equivalent surface on the range-depth plane is not a parallel plane, but a concentric sphere at a long distance. Therefore, for a long-range sound propagation, the effect of the curvature of the earth cannot be ignored. In this paper, conformal mapping is used to propose a method of earth curvature correction without changing the existing sound field calculation model, and has the characteristics of good portability and simple calculation. The simulation results in a typical environment show that because of the earth curvature, the location of the convergence zone moves toward the sound source, and its movement can reach 10 km at 1000 km in distance. Before and after the earth curvature correction, the transmission loss difference can reach up to 15 dB at a particular location. Through the analysis of the simulation results in four typical sound speed profiles in Northwest Pacific Ocean, it is found that the movement of the convergence zone and the distance change are approximately linear, and the movement of the convergence zone increases by about 1km for every increase of the propagation distance by 100 km. For deep-sea channel propagation, the earth curvature will cause the arrival structure to move forward as a whole on the time axis, and the degree of the forward motion will gradually increase with the distance increasing. At 1000 km, the amplitude of the forward motion can reach 136 ms. In addition, the earth curvature will also cause the depth and time extension of the arrival structure. For the received time-domain waveform at a certain depth, there is a big difference between before and after the earth curvature correction. The modified results from different earth approximation models show that the accuracy of the calculation can be satisfied by approximating the earth as a standard sphere.