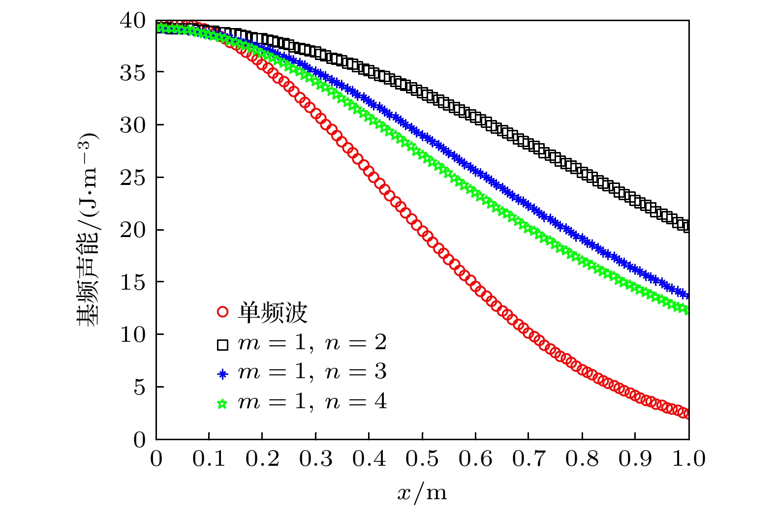
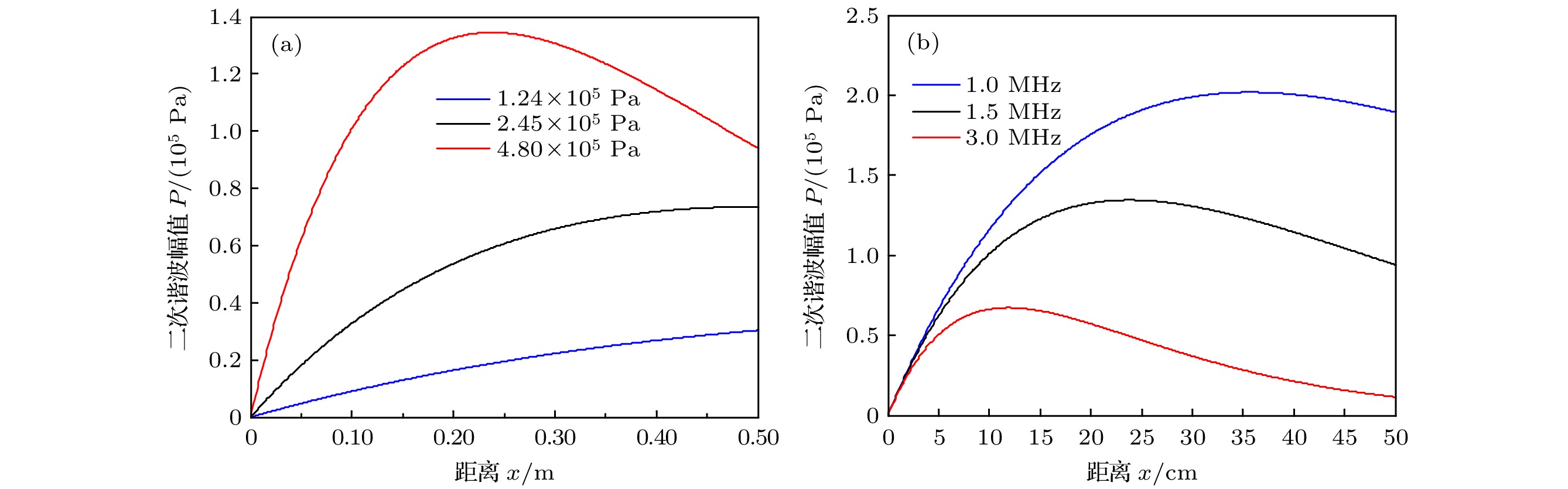
The formula for the nonlinear propagation of harmonics is obtained by using the generalized Navier-Stokes equations and the modified equations of state, considering the presence of heat transfer and fluid viscidity. The quantitative relationship among the harmonic pressure, initial sound pressure amplitude, frequency and the media property is obtained by approximately solving the single-frequency acoustic equation. In this paper, the hamonics’ distributions and propagations in the radiation field of single- and double-frequency sound source with different driving pressures and frequencies are discussed. It is found that new harmonics constantly appear in the sound field, and each-order harmonic of excitation gradually increases and then weakens with the increase of distance. The amplitude of harmonic pressure increases with the increase of the driving acoustic pressure near the sound source, but decreases with the increase of the frequency. Compared with the single-frequency field, the dual-frequency field has a large propagation distance, a very uniform acoustic energy distribution, and a large harmonic content in the far-field when the input total sound energy is constant. The physical mechanism is that the higher driving frequency causes a faster acoustic loss, a slower harmonic accumulation, and a smaller sound propagation distance. The higher driving pressure causes the much fundamental sound energy to be transferred, the more harmonics to be generated, the fundamental wave to be attenuated faster, and the negative effect of sound pressure on far-field sound energy to be increased. Through the analysis, it is found that the multi-frequency sound source can increase the propagation distance of sound, and improve the uniformity of sound energy distribution.