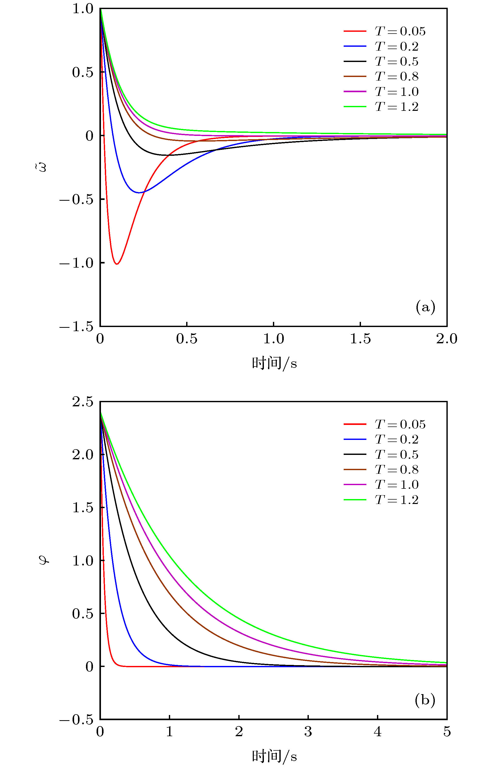
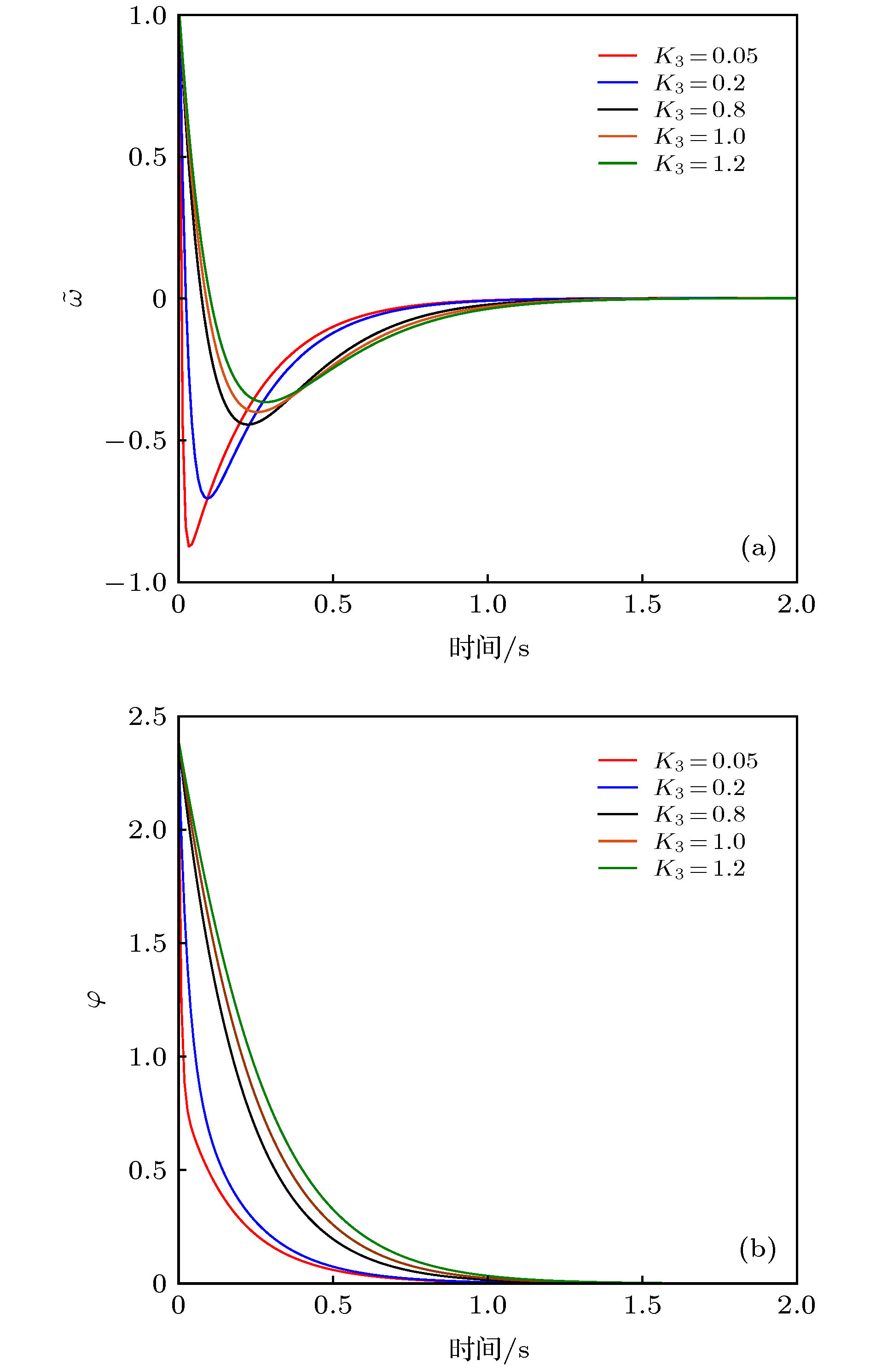
The main purpose of this paper is to reveal the evolution mechanism of the bursting oscillation and suppress the bursting oscillation. The permanent magnet synchronous motor (PMSM) system is taken as a research object, and the case of the PMSM with periodic external load perturbation is considered. The first part in this paper is for the analysis of bursting oscillation. First, a mathematical model of the non-autonomous PMSM system with external load perturbation is established, and the frequency of the external load perturbation is set to be far less than the natural frequency of the PMSM system, so that the PMSM system has a fast-slow coupling effect. Then, the non-autonomous PMSM system with external load perturbation is transformed into a generalized autonomous PMSM system by taking the external load perturbation as a slow-varying parameter of the PMSM system. In order to obtain the bifurcation behaviors and different equilibrium types of the PMSM system, the time series diagram, the equilibrium point distribution curve that changes with slow-varying parameter, and the transformed phase portrait are analyzed. Finally, the evolution mechanism of bursting oscillation is revealed by analyzing the overlay of the equilibrium point distribution curve and the transformed phase portrait, and it is found that the change of the equilibrium type and the corresponding bifurcation behavior will cause the PMSM system to exhibit “periodic symmetrical subcritical Hopf bursting oscillation”. The second part focuses on the control of the bursting oscillation. First, a macro-variable is defined by using the synergetic control strategy, which is a linear combination of all state variables of the PMSM system. Then, the synergetic controller is designed based on the constraint that the macro-variable converges to the invariant manifold. When the macro-variable converges to the invariant manifold, the PMSM system is also stabilized to the equilibrium. In addition, in order to explore the influence of controller parameters, a large number of simulation experiments are carried out, and the relationship between the control parameters with the response speed of the PMSM system is obtained. Finally, the effectiveness of the synergetic control strategy is verified by changing the amplitude of the external load perturbation. The simulation results show that the synergetic control strategy has a continuous control law when the system has external load perturbations, and can effectively suppress the bursting oscillation phenomenon of the PMSM system, so that the PMSM system runs stably.