Understanding the power deposition characteristic of high density helicon wave plasma source is critical for further investigating into the discharge mechanism of helicon wave discharge. Based on the warm plasma dielectric tensor model which contains both the particle thermal effect and temperature anisotropy and using the insulting boundary condition, the eigenmode dispersion relation of helicon wave and Trivelpiece-Gould (TG) wave propagating in radially uniform plasma column are numerically obtained. Then based on the eigenmode dispersion relation and exact field distribution in the plasma column, the mode coupling properties between the helicon wave and TG wave, the parametric dependence of the cyclotron damping properties of the electron cyclotron wave (TG wave) and power deposition properties of the
m= –1, 0, +1 modes under moderate plasma density and low magnetic fields conditions are theoretically investigated in typical helicon plasma parameter range. The detailed investigations are shown below. Under typical helicon plasma parameter conditions, i.e. wave frequency
ω/2π = 13.56 MHz and the ion temperature is one-tenth of the electron temperature, there exist a critical magnetic field value
B
0,cand a critical electron temperature value
T
e,cfor which under the conditions of
B
0<
B
0,cthe helicon wave becomes an evanescent wave and the TG wave becomes an evanescent wave when
T
e<
T
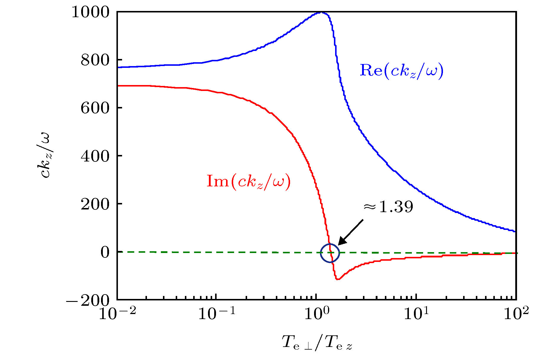
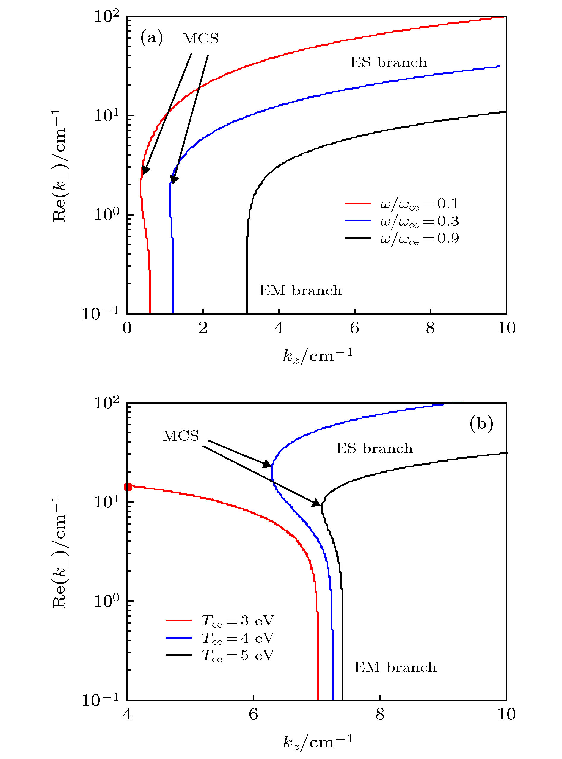
e,c. The cyclotron damping of the TG wave dramatically increases as the wave frequency approaches to the electron cyclotron frequency. The TG wave becomes a growth wave when the ratio of perpendicular electron temperature to parallel electron temperature is above a certain value. For the high magnetic field, i.e.
ω/
ω
ce= 0.1, most of the power deposition is deposited in the central core region, while for the low magnetic field, i.e.
ω/
ω
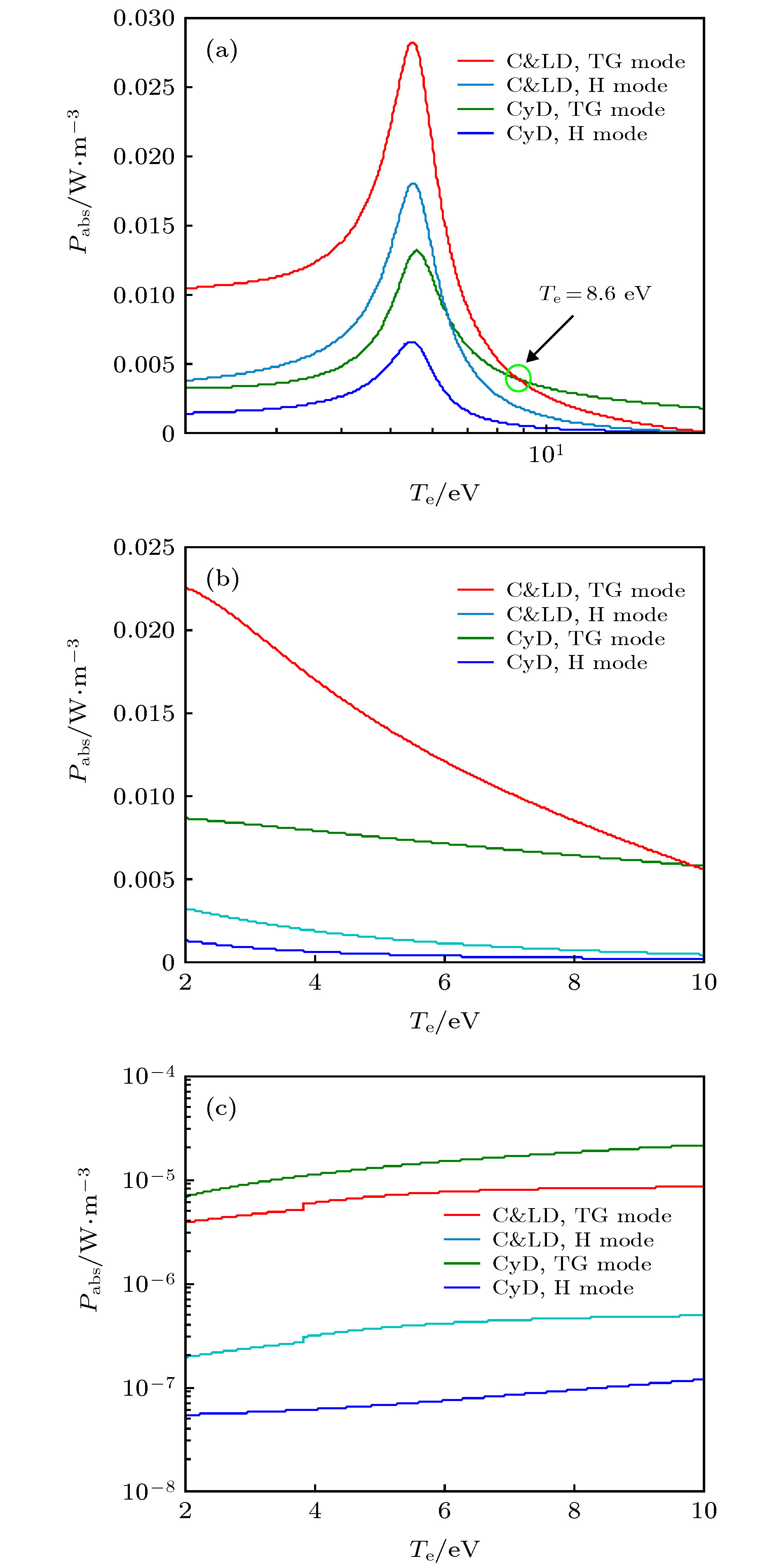
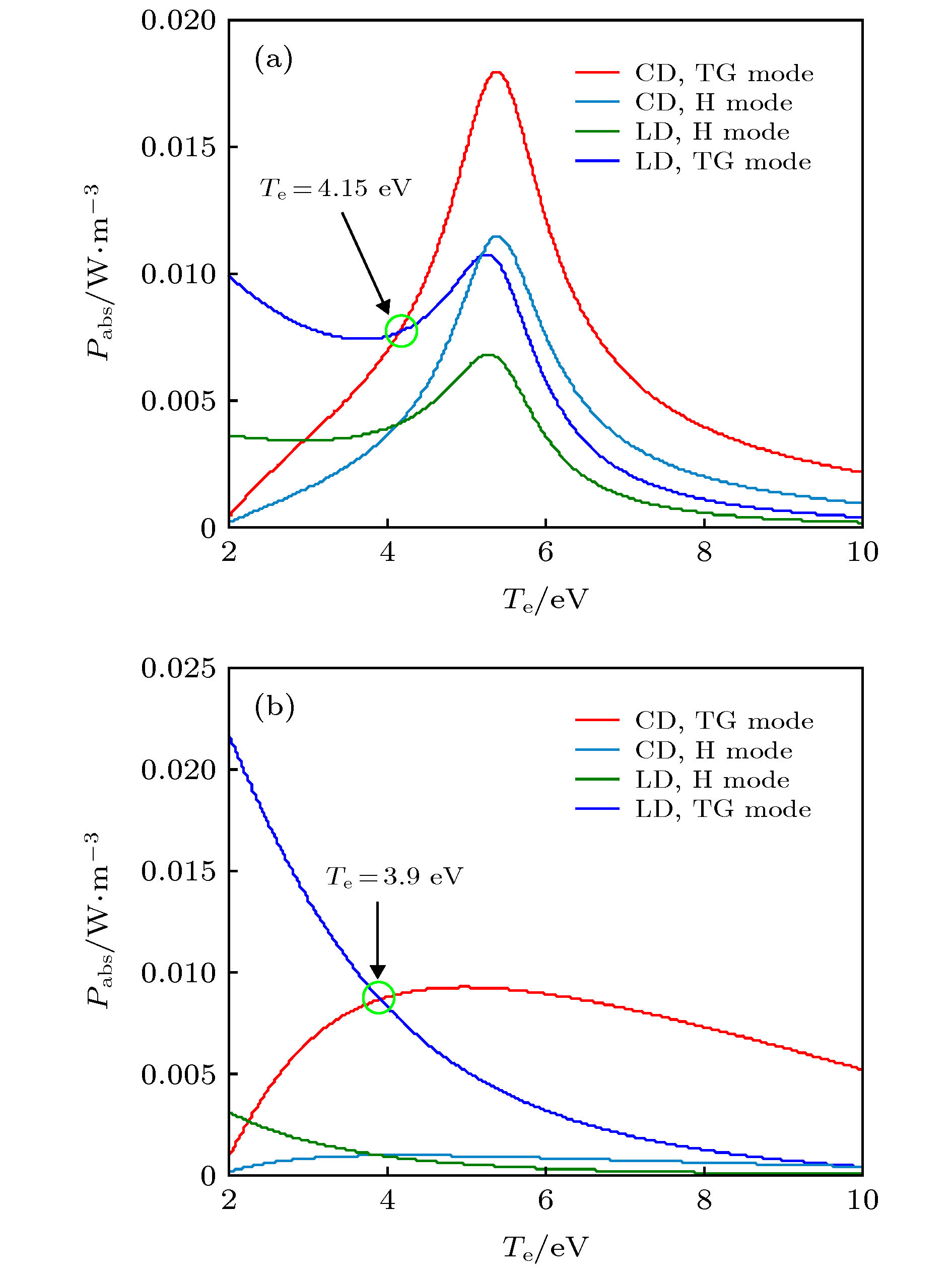
ce= 0.9, the power is deposited mainly in the outer region of plasma column. For typical helicon plasma electron temperature range,
T
e∈ (3 eV, 5 eV), the energy depositions induced by the collisional damping and Landau damping of the TG wave are dominant for different electron temperature ranges, which implies that different damping mechanisms have different heating intensities for electrons. Under current parameter condition, compared with the
m= +1 mode, the
m= –1 and
m= 0 mode of the TG wave play major role in the power deposition process, although the cyclotron damping of the TG wave dominates the power deposition in this typical electron temperature range. All these conclusions provide some useful clues for us to better understand the high ionization mechanism of helicon wave discharge.