搜索

x

留言板

姓名
邮箱
手机号码
标题
留言内容
验证码

downloadPDF
引用本文:
Citation:

    平兰兰, 张新军, 杨桦, 徐国盛, 苌磊, 吴东升, 吕虹, 郑长勇, 彭金花, 金海红, 何超, 甘桂华

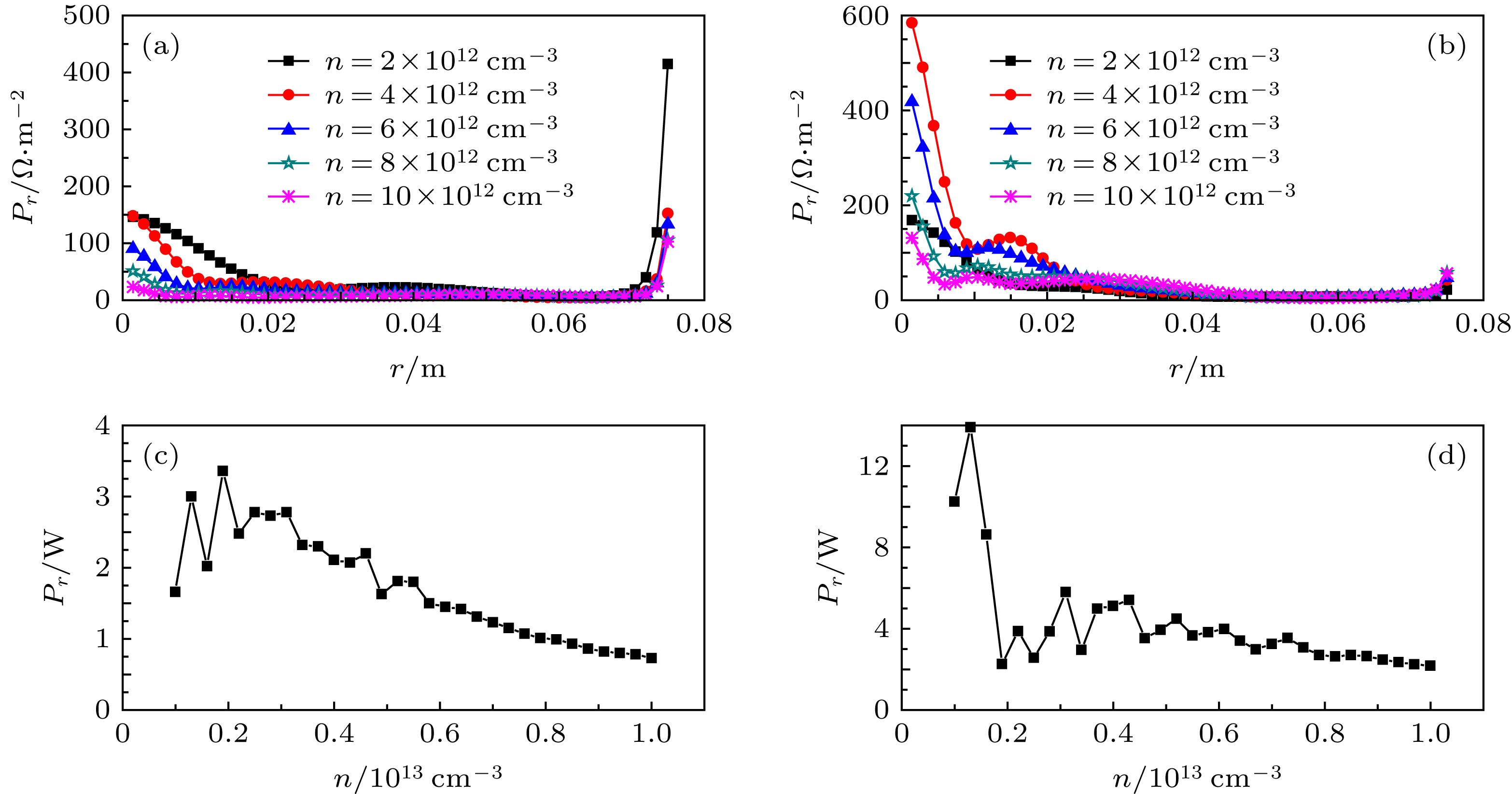
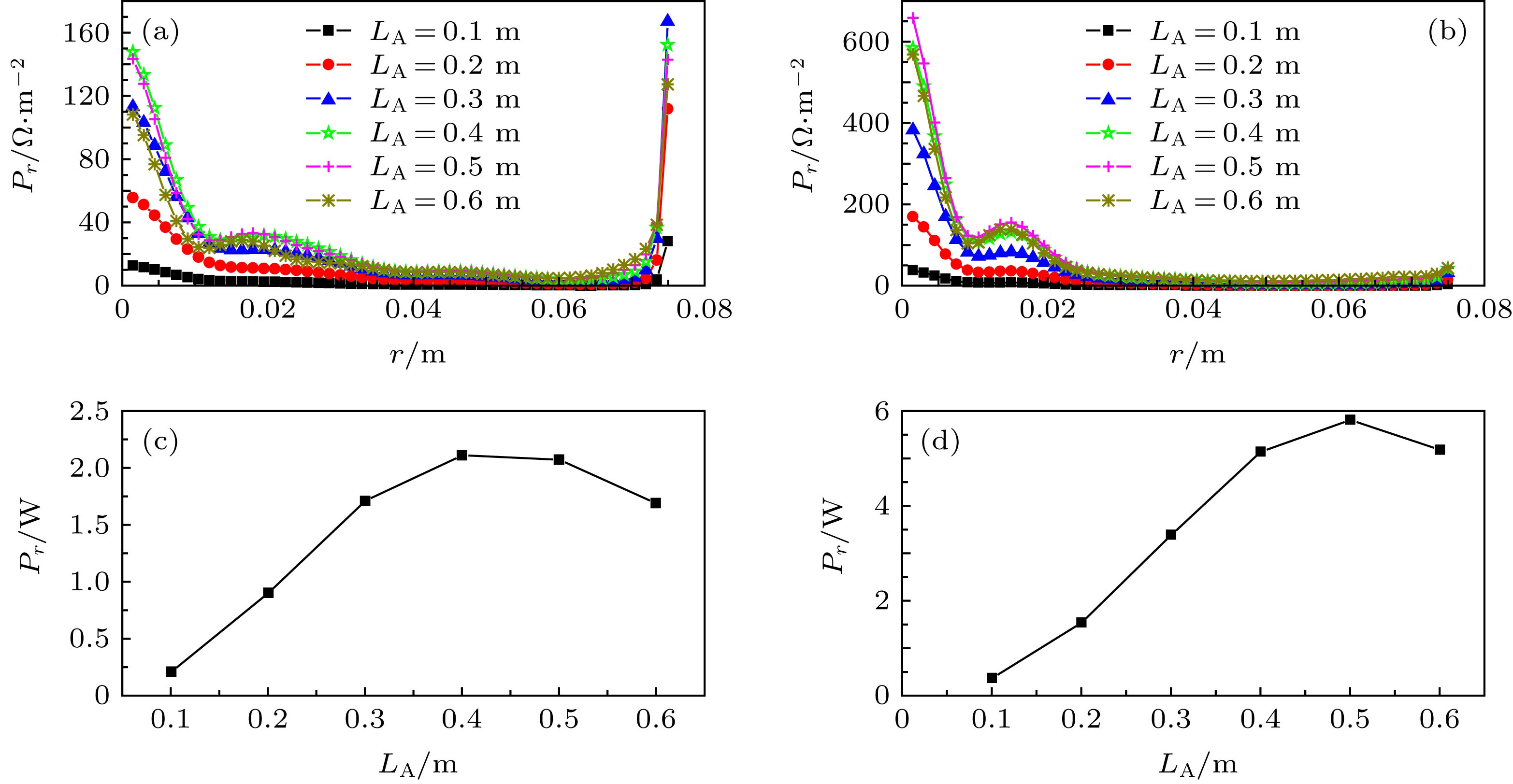
    Optimal design of helicon wave antenna and numerical investigation into power deposition on helicon physics prototype experiment

    Ping Lan-Lan, Zhang Xin-Jun, Yang Hua, Xu Guo-Sheng, Chang Lei, Wu Dong-Sheng, Lü Hong, Zheng Chang-Yong, Peng Jin-Hua, Jin Hai-Hong, He Chao, Gan Gui-Hua
    PDF
    HTML
    导出引用
    计量
    • 文章访问数:9483
    • PDF下载量:145
    • 被引次数:0
    出版历程
    • 收稿日期:2018-11-28
    • 修回日期:2019-07-26
    • 上网日期:2019-10-01
    • 刊出日期:2019-10-20

      返回文章
      返回