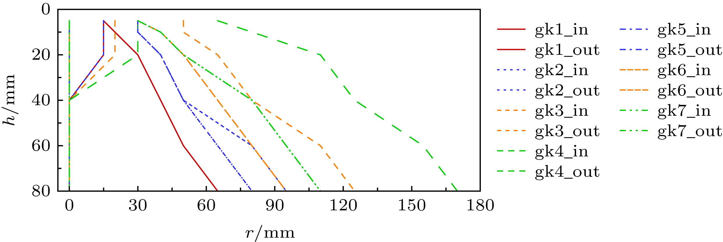
The spray characteristics of a liquid-liquid pintle injector under different momentum ratios are investigated experimentally in this paper. Water is used as a simulant medium for both the fuel and the oxidizer. By increasing the mass flow rate of the oxidizer or reducing the mass flow rate of the fuel, the local momentum ratio is increased from 0.16 to 0.99, wherein the responding total momentum obtained by the former throttling method is relatively high due to the higher mass flow rate of the fluid. The outer and inner spray boundary, droplet size distribution and the velocity field are studied by high-speed camera and phase Doppler anemometry (PDA). It is indicated that the spray pattern is affected by the operating conditions directly. The spray pattern is divided into the solid cone and the hollow-solid cone, generally. Furthermore, the spray pattern influences the other spray characteristics. Under the same local momentum ratio with different throttling methods, the spray angle is almost consistent, while the spray boundary in the far field is wider under the higher total momentum. With the increase of the mass flow rate of the outer injector, a hollow structure is generated in the near field of the spray, and its range expands with the increase of the local momentum ratio. The value of SMD increases with the local momentum ratio increasing. Under the same local momentum ratio, the variation range of SMD is wider under the higher total momentum. The variation trend of SMD in the radial direction differs from the spray pattern, too. The SMD of the hollow-solid spray displays as an " N” shape along the radial direction, and reaches its peak at the outer boundary. By contrast, the SMD of the solid spray decreases slightly in the radial direction and varies on a small scale. The value of the resultant velocity is determined by the total momentum, and the curves of all the resultant/axial/radial velocity display as an inverted " V” in the radial direction. Nevertheless, the trend of axial velocity in the radial direction is mainly decreasing, and the increasing stage only exists at the central spray. However, the radial velocity undergoes a slight decrease or levels off directly after reaching the peak. The higher the local momentum ratio, the larger the radial velocity is, while the lower the axial velocity. In addition, the velocity field below the hollow field is dominated by the liquid film, which is explained by analyzing the impinging process of the neighboring cloaks in this paper.