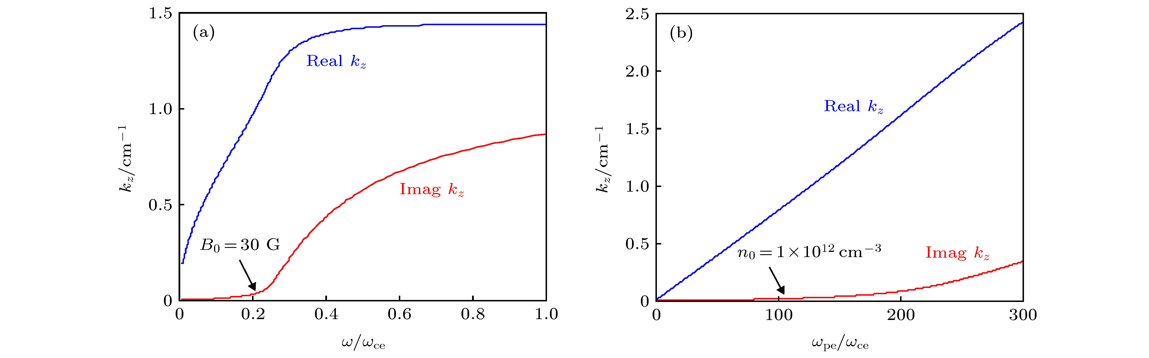
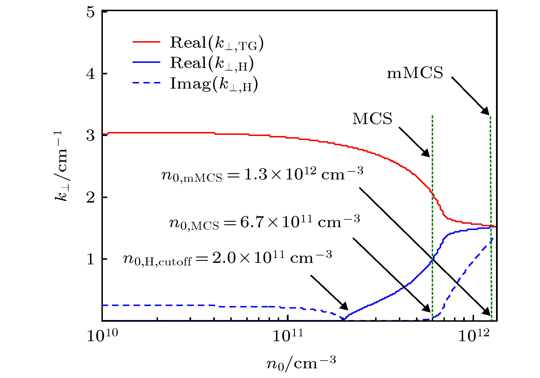
Based on the finite temperature plasma dielectric tensor model which contains the particle thermal effect, by numerically solving the eigenmode dispersion relation of electromagnetic waves propagating in radially uniform and magnetized warm plasma column which is surrounded by conducting boundary, the mode coupling characteristic and liner damping mechanism induced wave power deposition properties of helicon and Trivelpiece-Gould (TG) waves are parametrically analyzed. The detailed investigations show as follows. Under typical helicon plasma parameter conditions, i.e. wave frequency
ω/(2π) = 13.56 MHz, ion temperature is much smaller than electron temperature, for the helicon wave, there exist a cut-off magnetic field
B
0,H,cutoffand a cut-off plasma density
n
0,H,cutoff, for which under the conditions of
B
0>
B
0,H,cutoffor
n
0<
n
0,H,cutoff, the helicon wave becomes an evanescent wave. When the magnetic field intensity changes from 48.4 to 484 G, i.e.,
ω/
ω
ceranges from 0.01 to 0.1, for the power deposition intensity, Landau damping of TG wave dominates for the
m= 0 mode, meanwhile, for the
m= 1 mode, which wave, i.e. helicon wave or TG wave, plays a major role in power deposition mainly depends on the magnitude of the magnetic field. On the other hand, for a given magnetic field
B
0= 100 G, when
ω
pe/
ω
cechanges from 3 to 100, for both the
m= 0 mode and the
m= 1 mode, the power deposition induced by Landau damping of TG wave plays a major role, further, one may notice that the power deposition of TG wave decreases while the power deposition of the helicon wave increases as plasma density increases. Finally, for both the
m= 0 mode and the
m= 1 mode, the power deposition due to the Landau damping plays a dominant role. All these conclusions provide us with some useful clues to better understanding the high ionization mechanism of helicon wave discharges.