-
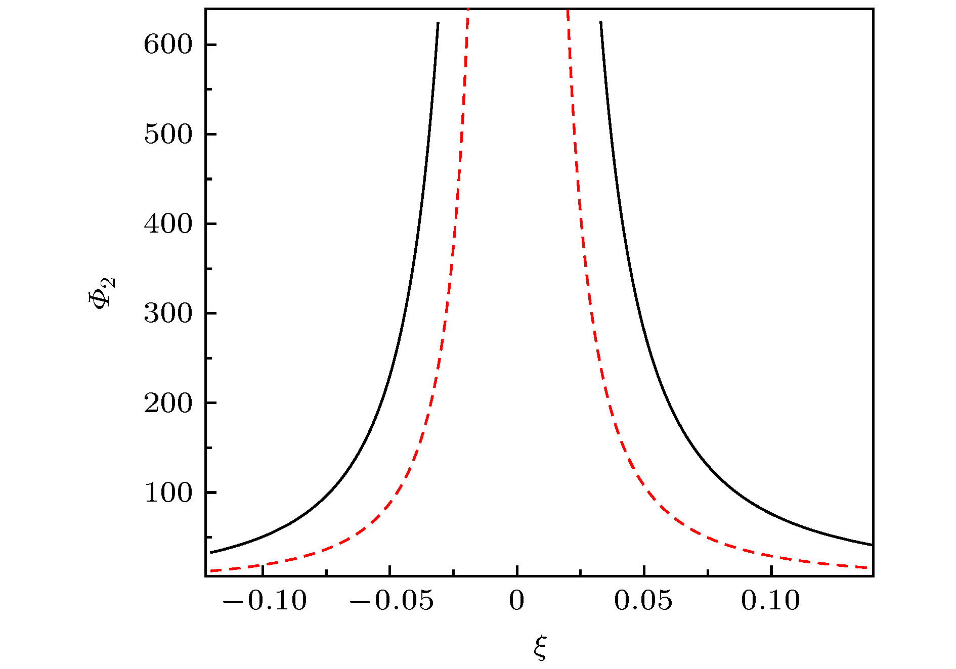
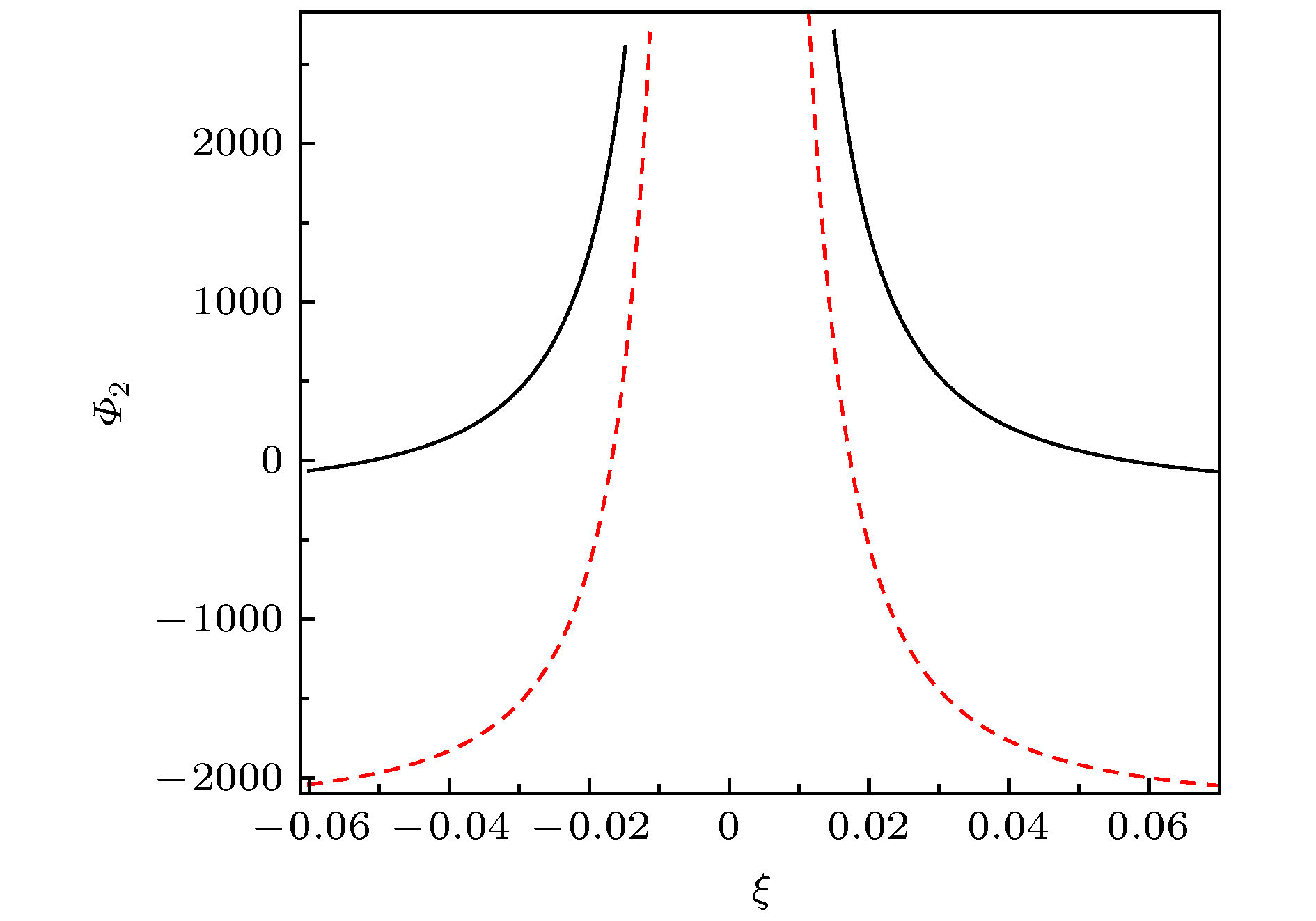
研究磁化尘埃等离子体的波动机理, 对相关实验、工业加工、天体空间探测等具有重要的价值. 本文研究了非均匀磁化尘埃等离子体系统的线性和非线性波动特性. 对处于均匀外磁场中的非均匀尘埃等离子体系统, 存在密度和温度梯度的非均匀环境, 考虑尘埃和中性粒子的强碰撞作用, 得到了一个二维非线性磁流体动力学方程. 通过线性化得到了色散关系, 系统既有强碰撞引起的阻尼波, 又有粒子漂移产生的谐波; 典型的数值参量分析结果表明, 量子参量修改了系统的尺度; 实频与漂移频率成正比关系, 而虚频与尘埃和中子间的碰撞频率有着比较复杂的关系, 粒子的碰撞引起了系统的耗散效应. 通过函数变换法, 获得了漂移的冲击波和爆炸波的解析解. 详细讨论了静电势随着主要物理量的变化, 研究结果显示, 静电冲击波的幅度和爆炸波的宽度都随尘埃密度和外界磁场强度的增大而增大, 随着碰撞频率的增大而减小, 随漂移速度而变化. 当时空相位较小时, 静电势变化很快, 一旦足够大时, 静电势将趋于稳定值, 最终达到稳定的状态. 最后对系统的稳定性问题进行了分析, 发现尘埃电荷量、量子参量、漂移速度都出现在扰动解中. 本文所得结果表明, 强碰撞效应、量子效应、粒子漂移和外界磁场等主要物理量都对尘埃漂移波的产生、演化和稳定性产生了重要的作用.The study about the wave mechanism of magnetized dusty plasmas has important value to related experiment, industrial processing and exploring celestial space. The linear and nonlinear fluctuation characteristics of the nonuniform magnetized dust plasma system are researched in this paper. For the homogeneous external magnetic field and the nonuniform environment with density and temperature gradients, a two-dimensional nonlinear dynamic magnetoplasma equation is derived considering the strong impact between dust and neutral particles. The linear dispersion relation is obtained by the linearized method. There are both the damping wave causing by strong collision and the harmonic wave by particle drift. Employing the typical numerical parameters for analysis, the results display that the quantum parameter modifies the system lengths; the real wave frequency is proportion to the drift frequency; the imaginary wave frequency has complex relationship with the collision frequency between dust and neutrals, and the collision of particles causes the dissipation effects to the system. Besides, the analytical solutions of drift shock wave and explosive wave are solved by function change method. The variation about the electrostatic potential with the main physical parameters is discussed in detail. It is shown that the strength of the electrostatic shock wave and the width of the explosive wave increase with increasing the dust density and magnetic field intensity, decrease with increasing the collision frequency, change with the drift velocity. When the space-time phase is small, the electrostatic potential changes quickly; once big enough, the potential tends to be stable value and reaches stable state eventually. Finally, the stability of the system is discussed. It is found that the dusty charge, quantum parameter, drift velocity all appear in the disturbed solution. All these results in the paper show that the strong collision effect, quantum effect, particle drift and magnetic field all play important role to the generation, evolution and stability of drift waves.
-
Keywords:
- dusty plasma/
- drift wave/
- dispersion relation/
- stability
[1] [2] [3] [4] [5] [6] [7] [8] [9] [10] [11] [12] [13] [14] [15] [16] [17] [18] [19] [20] [21] [22] [23] [24] [25] [26] [27] [28] [29] [30] [31] -
[1] [2] [3] [4] [5] [6] [7] [8] [9] [10] [11] [12] [13] [14] [15] [16] [17] [18] [19] [20] [21] [22] [23] [24] [25] [26] [27] [28] [29] [30] [31]
计量
- 文章访问数:5360
- PDF下载量:60
- 被引次数:0












下载:











