-
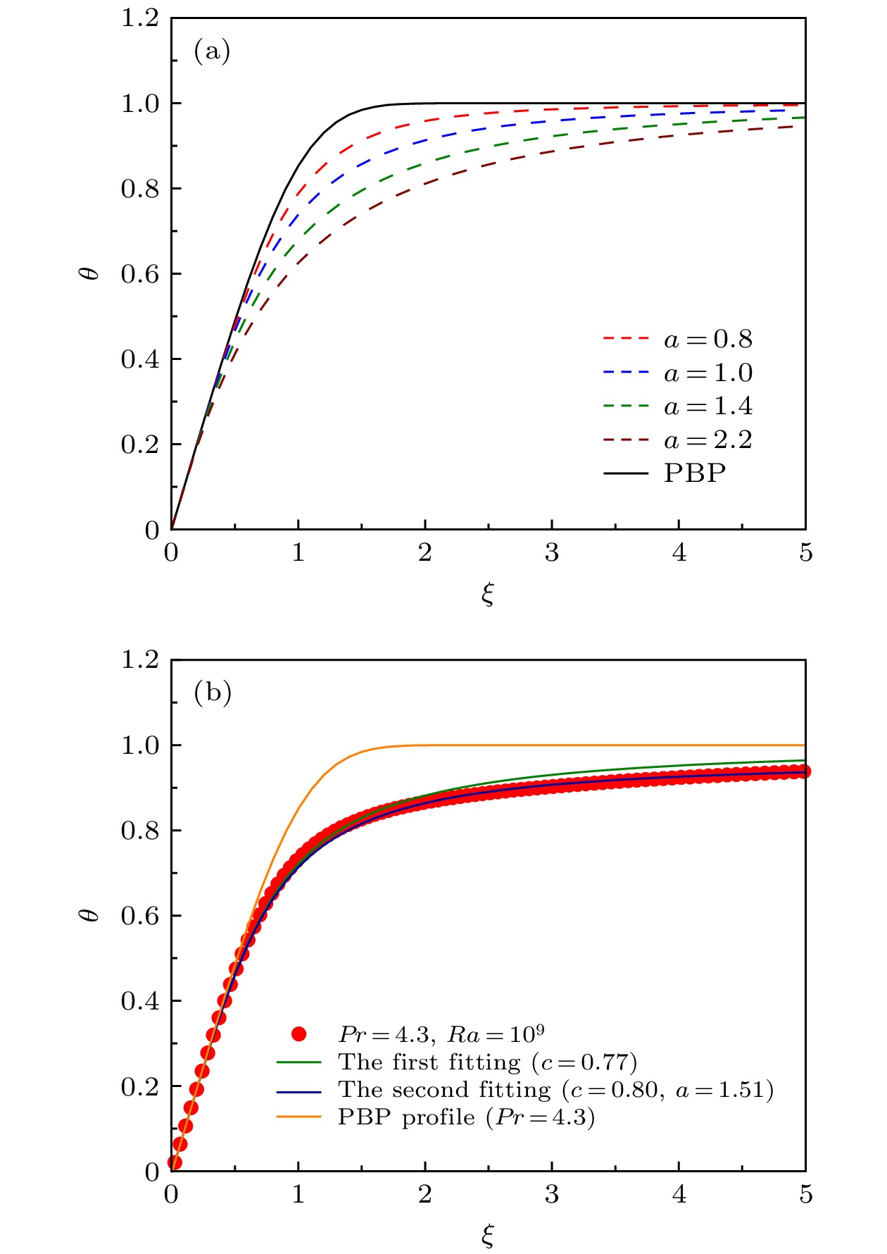
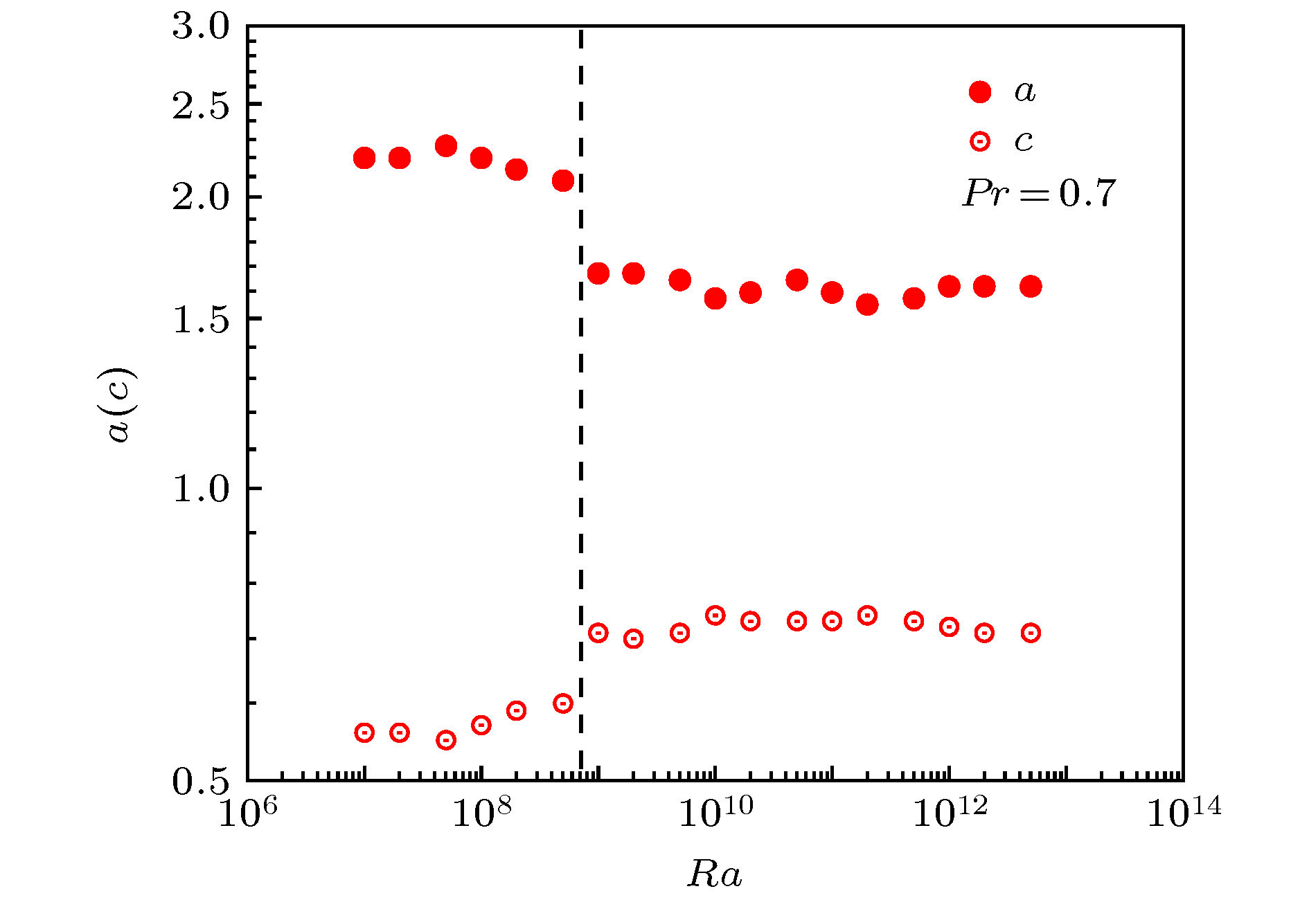
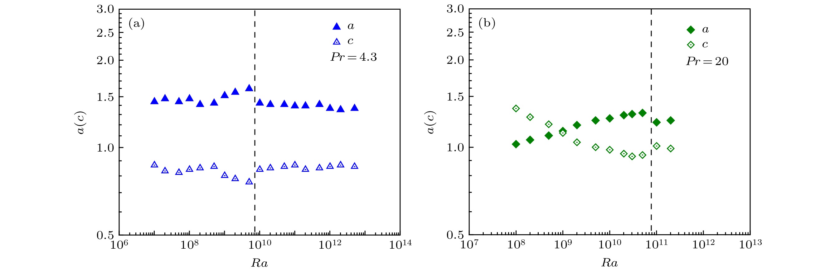
采用高效并行的直接数值模拟方法计算了三个 Pr数的系列 Ra数的二维热对流. 对所有计算结果的平均场温度边界层特性进行研究, 采用考虑脉动作用的双参数温度边界层理论对温度边界层剖面进行拟合, 得到了拟合参数 a和参数 c的分布. 参数 a决定了温度剖面的基本特性, 而参数 c起到了对温度剖面外区的修正作用, 使得在5个边界层厚度温度边界层剖面的计算值与理论解符合良好. 参数 c的变化特性与参数 a的相反, a值增大则 c值减小. 不同的 Pr数拟合参数 a随 Ra数变化具有不同的分布特性, 但都存在突然减小的间断. 参数 a的间断变化是由湍流热对流流动状态由椭圆形大尺度环流突变到圆形大尺度环流造成的, 且随着 Pr数变大间断点的特征 Ra数增高. 相同 Ra数时 Pr数越大温度剖面的拟合参数 a值越小, 表明温度边界层中脉动的影响越小. 传热特性
$Nu/R{a^{0.3}}$ 、表征羽流运动特性的大尺度环流路径周长, 及温度边界层拟合参数 a三者随 Ra数的变化都存在转折或间断, 且对应相同的特征 Ra数, 显示三者具有很好的相关性并与流动形态变化直接关联.The two-dimensional thermal convection with three-Pr series Ranumber is calculated by using the highly efficient parallel DNS method. The two-parameter temperature boundary layer theory, with the pulsation influence taken into account, is used to fit the temperature boundary layer profile for the field averaged over all calculations. The distributions of the fitted parameters aand care obtained. Parameter adetermines the basic characteristics of the temperature profile, and parameter cplays a role in correcting the outer area of the temperature profile. Therefore, the simulation results of the temperature boundary layer profile is well matched with the theoretical solution in the 5 boundary layers. The variation characteristic of parameter cis the opposite to that of parameter a, and the cvalue decreases as the avalue increases. The fitting parameters for the different Prnumbers have different distribution characteristics as the Ranumber changes, but they have all suddenly decreasing interruptions, and as the Prnumber becomes large, the characteristic Ranumber for the interruption increases. The variation characteristic of parameter cis the opposite to that of parameter a. With the same Ranumber, the larger the Prnumber, the smaller the fitting parameter of the temperature profile is, indicating that the influence of pulsation in the temperature boundary layer is smaller. The heat transfer characteristic Nu/ Ra 0.3, the large-scale circulation path circumference for the characteristics of plume movement, and the temperature boundary layer fitting parameter all have the interruptions with the change of Ranumber, and their corresponding characteristic Ranumbers are identical. The results show that the three have good correlation and are directly related to the change of flow pattern.-
Keywords:
- 2-dimentional turbulent convection/
- thermal boundary layer profile/
- interruption characteristics/
- heat transfer characteristics/
- large scale circulation path circumference
[1] [2] [3] [4] [5] [6] [7] [8] [9] [10] [11] [12] [13] [14] [15] [16] [17] [18] [19] [20] [21] -
[1] [2] [3] [4] [5] [6] [7] [8] [9] [10] [11] [12] [13] [14] [15] [16] [17] [18] [19] [20] [21]
计量
- 文章访问数:5811
- PDF下载量:58
- 被引次数:0












下载:





