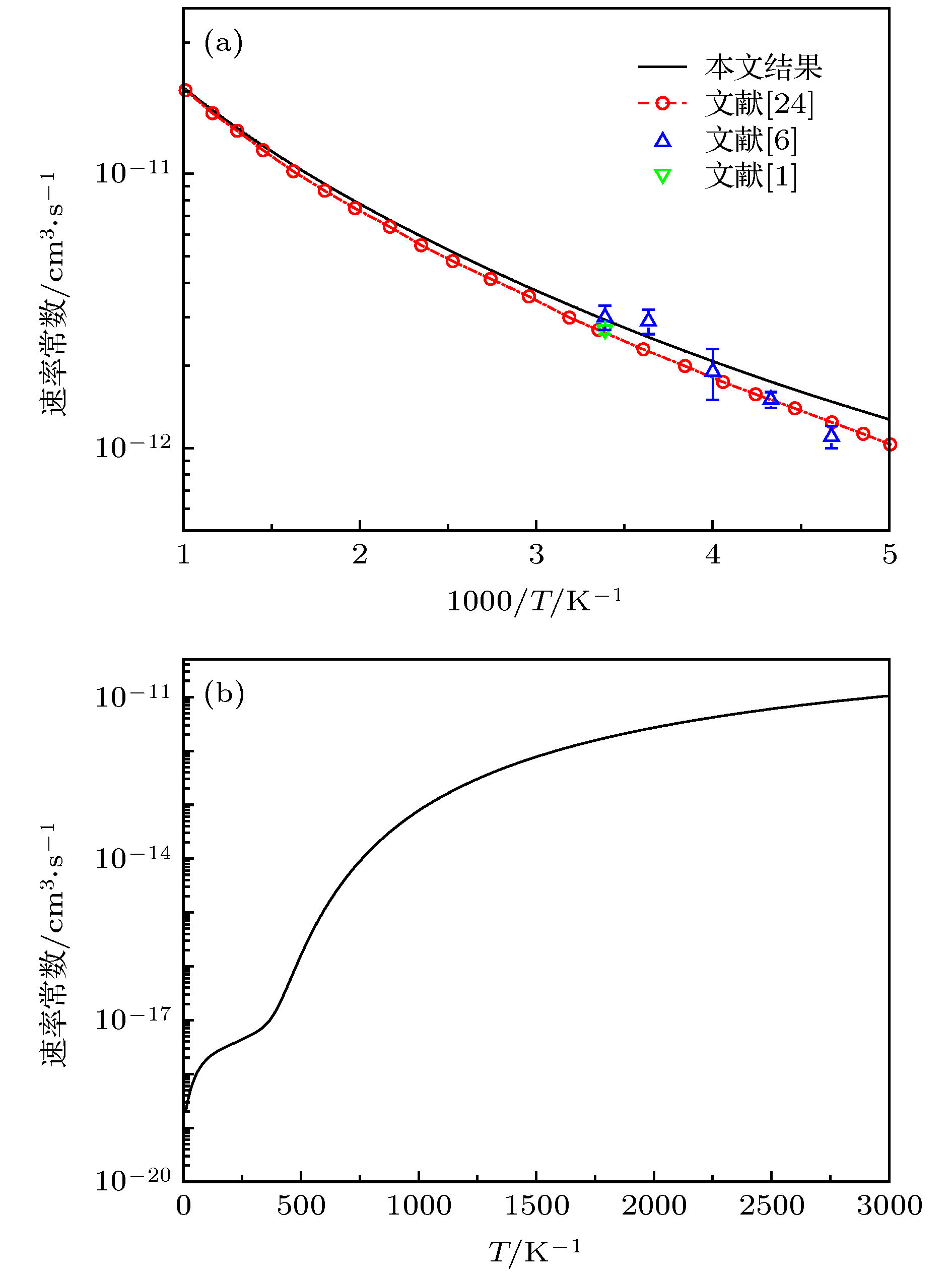
\begin{document}$ \rm D' + DBr \to D + D'Br $\end{document}的反应概率、积分截面、微分截面、产物的振动和转动分布以及速率常数等动力学性质, 并与相应的理论和实验结果进行了比较. 结果表明: 计算的速率常数与实验结果十分符合. 微分截面的结果表明: 对于抽取反应, 前向的剥离反应机制在反应过程中占据主导地位; 对于置换反应, 头碰头的反弹机制占据主导地位."> - 必威体育下载

搜索

x

留言板

姓名
邮箱
手机号码
标题
留言内容
验证码

downloadPDF
引用本文:
Citation:

    袁方园, 朱子亮

    State-to-state dynamics of D + DBr reaction

    Yuan Fang-Yuan, Zhu Zi-Liang
    PDF
    HTML
    导出引用
    计量
    • 文章访问数:5599
    • PDF下载量:49
    • 被引次数:0
    出版历程
    • 收稿日期:2020-03-02
    • 修回日期:2020-04-02
    • 刊出日期:2020-06-05

      返回文章
      返回