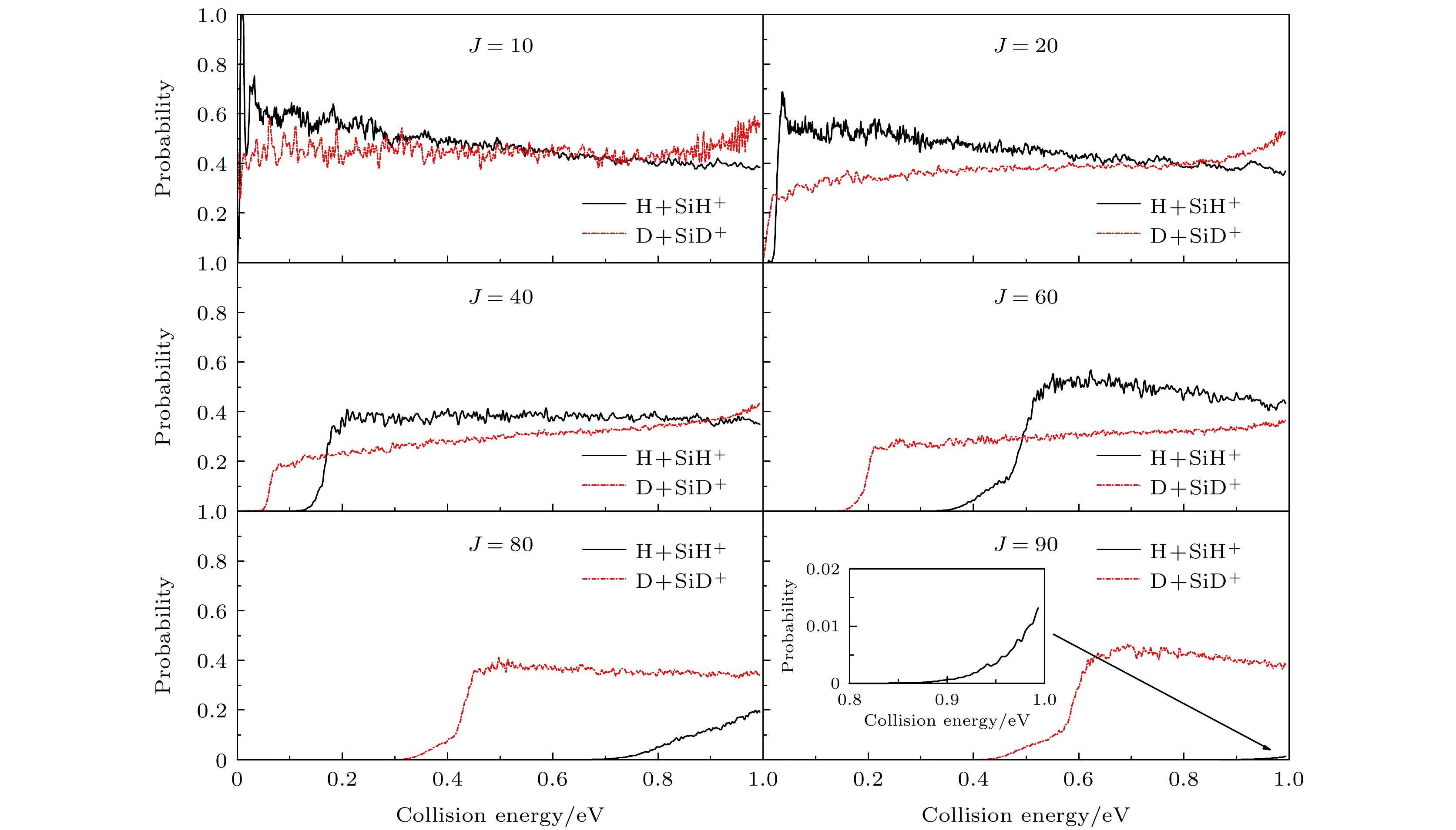
The quantum dynamics calculations are carried out for the title reaction D +SiD
+→D
2+Si
+to obtain the initial (
$ \nu = 0{\text{ }},j = 0 $
)reaction probability, integral cross section (ICS) and rate constant on the potential energy surface (PES) of Gao, Meng and Song. A total of 110 partial waves are calculated by using the Chebyshev wave packet method with full Coriolis coupling (CC) and centrifugal sudden (CS) approximation in a collision energy range from 1.0 × 10
–3to 1.0 eV. The calculated probability decreases with the collision energy increasing except for
J≤40. The calculation results indicate that the CS approximation will overestimate or underestimate the reaction probability . The ICS decreases with the collision energy increasing and shows an oscillatory structure due to the
$\rm{SiH_2^+} $
well on the reaction path. The results show that the neglect of the Coriolis coupling leads to the overestimation of the cross section and the rate constant. Besides, the discrepancy between the integral cross sections from the CC and CS calculations decreases clearly with collision energy increasing. Comparison with the corresponding results of H+CH
+reaction indicates that isotope substitution reaction makes the cross section and the rate constant underestimated. The resulting integral reaction cross section displays less oscillatory structure, especially in the exact quantum calculation with the full Coriolis coupling effect taken into consideration. The kinetic isotope effect
$(\kappa_{\rm H+SiH^+}(T)/\kappa_{\rm D+SiD^+}(T))$
is found to decrease with temperature increasing. It can be seen that the reduced mass of reactant can exert a certain effect on dynamic behavior.