搜索

x

留言板

姓名
邮箱
手机号码
标题
留言内容
验证码

downloadPDF
引用本文:
Citation:

    贺艳斌, 白熙

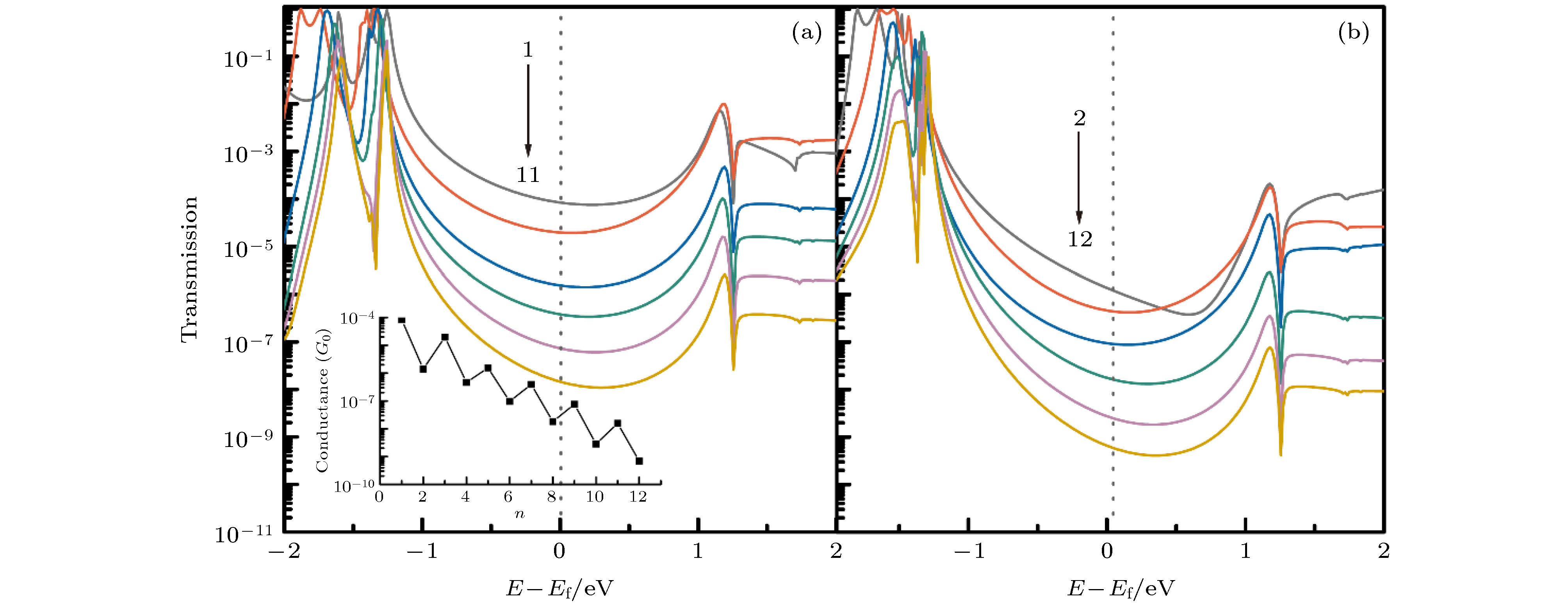
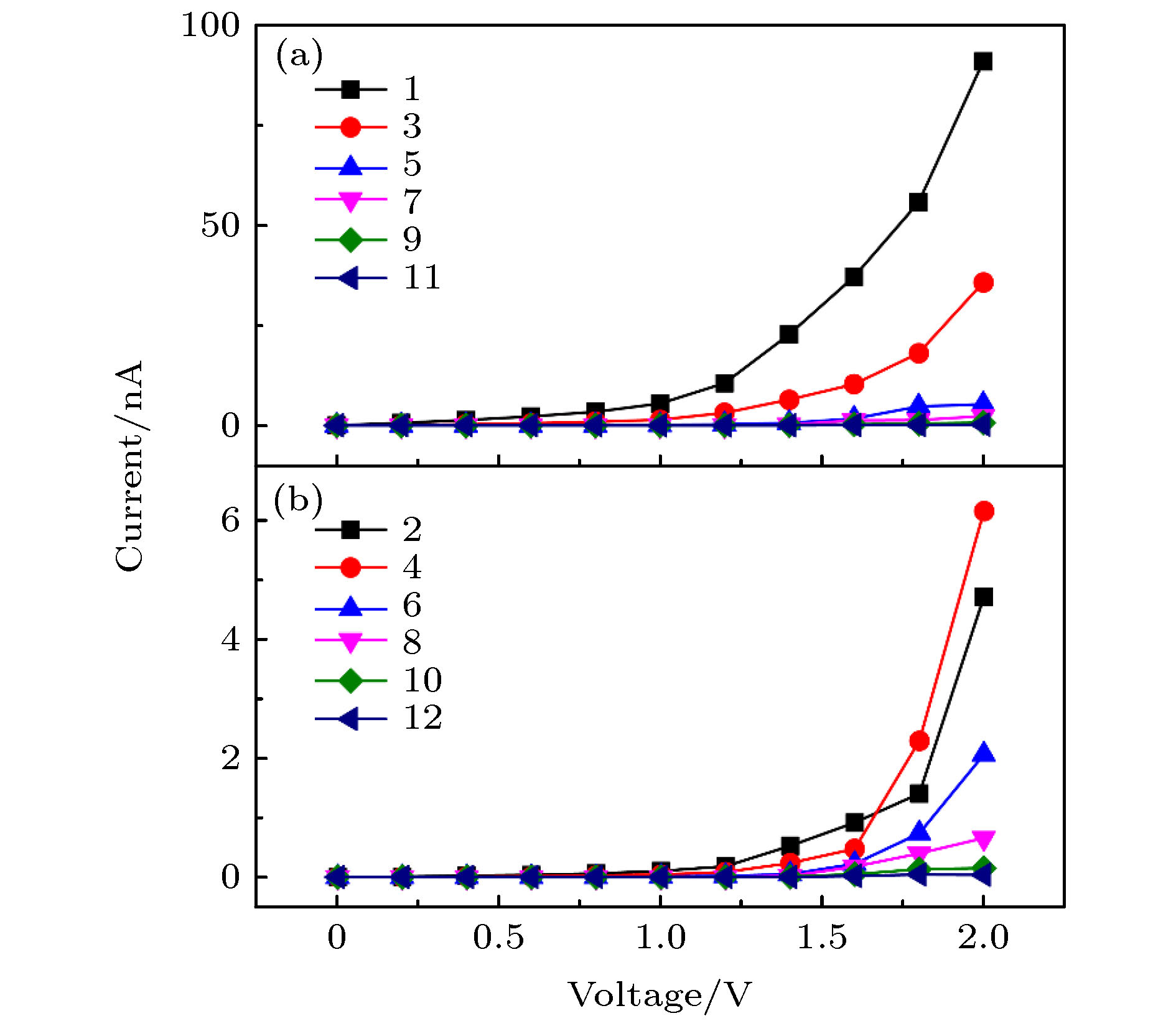
    Electron transport of one-dimensional non-conjugated (CH2)nmolecule chain coupling to graphene electrode

    He Yan-Bin, Bai Xi
    PDF
    HTML
    导出引用
    计量
    • 文章访问数:5209
    • PDF下载量:81
    • 被引次数:0
    出版历程
    • 收稿日期:2020-06-21
    • 修回日期:2020-09-28
    • 上网日期:2021-02-01
    • 刊出日期:2021-02-20

      返回文章
      返回