特邀综述
特邀综述
2021, 70 (4): 048501.
doi:10.7498/aps.70.20201799
摘要 +
霍尔天平材料中层间耦合作用易于调控, 基于此可以实现多组态磁存储模式, 其区别于当前基于自旋阀或者磁性隧道结的传统二组态磁存储原理. 与此同时, 还可以在存储单元中实现信息的逻辑运算从而提高器件整体的运算效率. 这一设计有利于自旋电子学器件的微型化、集成化, 有望从物理原理上解决当前基于自旋阀或者磁性隧道结的传统二组态自旋电子学材料器件的技术瓶颈, 进一步提高磁存储密度, 为推动新型自旋电子学材料的研究开辟了一条新的研究思路. 首先, 本综述将介绍基于霍尔天平材料的磁存储器件的研究背景; 其次, 重点介绍霍尔天平存储逻辑器件一体化设计的提出与发展历程; 再次, 介绍霍尔天平材料关键指标—霍尔电阻比值的界面调控及物理机理探索; 随后详细阐述霍尔天平体系中磁性斯格明子的产生与多场调控等动态行为. 最后, 简单介绍霍尔天平结构在其他相关材料中的扩展、应用, 并展望其在未来器件应用中的前景.
综述
2021, 70 (4): 047301.
doi:10.7498/aps.70.20201175
摘要 +
通过近几十年的研究, 人们对于块体及薄膜材料的热电性能已经有了较全面的认识, 热电优值ZT的提高取得了飞速的进展, 比如碲化铋相关材料、硒化亚铜相关材料、硒化锡相关材料的最大ZT值都突破了2. 但是, 这些体材料的热电优值距离大规模实用仍然有较大的差距. 通过理论计算得知, 当块体热电材料被制作成低维纳米结构材料时, 比如二维纳米薄膜、一维纳米线, 热电性能会得到显著的改善, 具有微纳米结构材料的热电性能研究引起了科研人员的极大兴趣. 当块体硅被制作成硅纳米线时, 热电优值改善了将近100倍. 然而, 微纳米材料的热电参数测量极具挑战, 因为块体材料的热电参数测量方法和测试平台已经不再适用于低维材料, 需要开发出新的测量方法和测试平台用来研究低维材料的热导率、电导率和塞贝克系数. 本文综述了几种用于精确测量微纳米材料热电参数的微机电结构, 包括双悬空岛、单悬空岛、悬空四探针结构, 详细介绍了每一种微机电结构的制备方法、测量原理以及对微纳米材料热电性能测试表征的实例.
2021, 70 (4): 048503.
doi:10.7498/aps.70.20201284
摘要 +
卤化铅钙钛矿由于具有高吸收系数、高载流子迁移率、高缺陷容忍度和高光致发光效率等优越的光电子性能, 近年来引起了人们的广泛关注. 然而, 可能阻碍其商业应用的关键是铅元素的存在引起的毒性问题. 为了解决这一毒性问题, 谨慎而有策略地用其他无毒候选元素替代Pb2+是一个很有前途的方向. 锡具有和铅相似的结构和性质, 是目前最有希望替代铅的元素, 这也引起了研究者们广泛的兴趣及进一步的研究. 本文综述了近年来锡基钙钛矿的研究进展及其在发光二极管中的应用. 首先, 介绍了一些适合应用于发光二极管的锡基钙钛矿材料的合成方法. 然后, 分析了不同价态下锡基钙钛矿的晶体结构和光电性质. 在此基础上讨论了锡基钙钛矿材料在发光器件中的应用, 并总结了提高锡基钙钛矿性能的一些措施. 最后提出了锡基钙钛矿当前遇到的重大挑战, 并提出了可能的解决方案, 有助于实现高性能锡基卤化物钙钛矿发光二极管. 基于这篇综述, 以期对锡基卤化物材料及其在发光二极管中的应用有深入了解, 进而推动锡基钙钛矿发光二极管的发展.
总论
编辑推荐
2021, 70 (4): 040201.
doi:10.7498/aps.70.20201520
摘要 +
利用激光诱导击穿光谱技术结合机器学习算法, 对东北5个产地(大兴安岭、集安、恒仁、石柱、抚松)的人参进行产地识别, 建立了主成分分析算法分别结合反向传播(BP)神经网络和支持向量机算法的人参产地识别模型. 实验采集了5个产地人参共657组在200—975 nm的激光诱导击穿光谱, 经光谱数据预处理后, 对C, Mg, Ca, Fe, H, N, O等元素的8条特征谱线进行主成分分析, 原光谱数据的前3个主成分累积贡献率达到92.50%, 且样品在主成分空间中呈现良好的聚集分类. 降维后的前3个主成分以2∶1进行随机抽取, 分别作为分类算法的训练集和测试集. 实验结果表明主成分分析结合BP神经网络及支持向量机的平均识别率分别为99.08%和99.5%. 发生误判的原因是集安和石柱两地地理环境的接近而导致的H, O两元素在Ca元素离子发射谱线下的归一化强度相似. 本研究为激光诱导击穿光谱技术在人参产地的快速识别提供了方法和参考.
2021, 70 (4): 040301.
doi:10.7498/aps.70.20201602
摘要 +
本文利用绝热近似方法和精确对角化方法研究三量子比特Dicke模型中的纠缠动力学. 处于两种典型的纠缠态GHZ态和W态上的量子比特在时间演化过程中与辐射光场发生强耦合作用, 在各种子系统间产生纠缠, 通过分析这些纠缠的演化特性发现初始GHZ态的三体纠缠鲁棒性比W态强, 这与旋波近似结论一致. 与旋波近似下结果不同的是, 两种态中任意一对量子比特间的纠缠都随时间演化到几乎为零, 而三体纠缠随时间周期演化, 且纠缠程度相对较强, 说明系统中的强耦合作用通过抑制量子比特中的对纠缠来支持三体纠缠.
2021, 70 (4): 040302.
doi:10.7498/aps.70.20201652
摘要 +
研究算符函数的有序化排列是一项重要的数理任务. 本文利用特殊函数和正规乘积排序与反正规乘积排序间的互换法则法导出了幂算符
$ {\left(a{a}^\dagger \right)}^{\pm n} $
和
$ {\left({a}^\dagger a\right)}^{\pm n} $
的正规与反正规乘积排序. 进一步, 利用类比法得到了算符
$ {\left(XP\right)}^{\pm n} $
和
$ {\left(PX\right)}^{\pm n} $
的坐标-动量排序与动量-坐标排序式. 最后, 对新得到的这些算符结果的应用进行一些讨论.
2021, 70 (4): 040303.
doi:10.7498/aps.70.20201091
摘要 +
量子卫星星舰通信是量子保密通信的重要应用场景之一, 在海面上, 由于不同风速所引起的气溶胶粒子浓度发生剧烈变化, 而气溶胶粒子浓度的剧变, 必然导致星舰量子链路性能的剧烈衰减. 然而, 有关不同海面风速与量子卫星星舰通信信道参数关系的研究, 迄今尚未展开. 本文根据海面风速与气溶胶的Gras模型, 分别建立了风速与星舰量子信道误码率、信道容量和信道平均保真度的定量关系. 仿真结果表明, 当风速分别为4 m/s和20 m/s时, 海洋大气信道误码率、信道容量、信道平均保真度分别依次为4.62 × 10–3和4.91 × 10–3、0.957和0.65、0.999和0.974. 由此可见, 风速对海上量子通信性能有显著的影响. 因此, 为了提高通信的可靠性, 应根据风速大小, 自适应调整系统的各项参数.
2021, 70 (4): 040304.
doi:10.7498/aps.70.20201522
摘要 +
重力场是反映地球质量分布及变化的重要参数, 动态重力测量在地质调查、地球物理、资源勘探等领域有着重要应用. 目前动态重力测量均基于相对测量原理, 动态相对重力仪存在零点漂移问题, 影响其测量性能. 动态绝对重力仪可以为相对重力仪提供同步同址校准, 解决其长漂问题, 因此备受关注. 本文基于原子重力仪和惯性稳定平台, 搭建了一套船载绝对重力动态测量系统, 并在船载系泊状态下开展了绝对重力动态测量实验. 经评估, 船载系泊环境下的重力测量灵敏度为16.6 mGal/Hz–1/2, 1000 s积分时间内重力测量的分辨率可达0.7 mGal. 通过两周的绝对重力测量, 评估了系统的稳定性. 为了评估绝对重力的动态测量精度, 将船上测量点与码头高精度绝对重力基准点的绝对重力值进行了比较, 两点之间的绝对重力值差及其不确定度评估结果为(–0.072 ± 0.134) mGal. 本文结果为海洋相对重力仪的同时同船校准提供了一种新方案.
2021, 70 (4): 040501.
doi:10.7498/aps.70.20201346
摘要 +
提出了一类8次势函数并讨论了其分岔特性, 得到由左、右2个小尺度双稳势和中间势垒构成的对称四稳系统. 建立了在周期力和随机力共同作用下四稳系统输出响应的近似解析表达式, 并从能量角度引入功这一过程量来刻画大、小不同尺度双稳势之间的作功能力, 发现四稳势中存在着双重随机共振现象. 理论分析与数值仿真结果表明, 当中间势垒高度大于左右2个小尺度双稳势的势垒高度时, 四稳系统的响应随着噪声强度的变化由束缚在小尺度双稳系统中做小幅振动转变为跨越中间势垒的大幅振动, 功随噪声强度的变化出现了双峰曲线, 存在着双重随机共振, 且小尺度随机共振能增强大尺度随机共振的效应.
2021, 70 (4): 040502.
doi:10.7498/aps.70.20201059
摘要 +
非线性动力系统极易发生共振, 在多频激励下可能发生联合共振或组合共振, 目前关于非线性系统的主-超谐联合共振的研究少见报道. 本文以Duffing系统为对象, 研究系统在主-超谐联合共振时的周期运动和通往混沌的道路. 应用多尺度法得到系统的近似解析解, 并利用数值方法对解析解进行验证, 结果吻合良好. 基于Lyapunov第一方法得到稳态周期解的稳定性条件, 并分析了非线性刚度对稳态周期解的幅值和稳定性的影响. 此外, 由于近似解只能描述周期运动, 不足以描述系统的全局特性, 因而应用Melnikov方法对系统进行全局分析, 得到系统进入Smale马蹄意义下混沌的条件, 依据该条件以及主-超谐联合共振的条件选取一组参数进行数值仿真. 分岔图和最大Lyapunov指数显示出两个临界值: 当激励幅值通过第一个临界值时, 异宿轨道破裂, 混沌吸引子突然出现, 系统以激变方式进入混沌; 激励幅值通过第二个临界值时, 系统在混沌态下再次发生激变, 进入另一种混沌态. 利用Melnikov方法考察了第一个临界值在多种频率组合下的变化趋势, 并用数值仿真验证了解析结果的正确性.
2021, 70 (4): 040503.
doi:10.7498/aps.70.20201499
摘要 +
相变材料利用其相变潜热能力可吸收储存和释放利用热量, 同时在相变过程中其温度浮动小, 能够实现温度控制从而用于热管理. 但是其低热导率和易泄露问题严重制约了其性能. 石墨烯气凝胶因其丰富的多孔结构而具有较大的比表面积,可吸附相变材料解决其泄露问题, 同时石墨烯的高导热系数可提高相变材料的热导率. 这里选取正十八烷为相变材料, 制备了不同质量分数的石墨烯气凝胶复合相变材料. 测得石墨烯气凝胶含量为13.99 wt%的样品, 其导热系数比纯正十八烷高出306.2%, 熔化潜热和凝固潜热分别下降了13.8%和10.8%. 分子动力学模拟结果表明, 石墨烯气凝胶的引入会在一定程度上增强正十八烷分子的有序性和一致性, 即在同一温度下复合相变材料中的正十八烷分子比纯正十八烷分子拥有更集中分布的末端距和扭转角, 径向分布函数和自扩散系数都相对较低, 说明石墨烯材料的引入可以提升正十八烷的导热系数.
2021, 70 (4): 040601.
doi:10.7498/aps.70.20201225
摘要 +
飞秒光梳被广泛用于时间频率技术和精密光谱测量, 由其时频特性所衍生的绝对测距技术以可溯源、大尺寸、高精度等优点有望成为未来长度计量的最重要手段. 本文提出了一种基于飞秒光梳多路同步锁相的多波长干涉实时绝对测距方法, 使多个连续波激光器通过光学锁相环技术同步锁定到飞秒光梳梳模上, 通过多路同步相位测量和小数重合算法最终实现绝对距离测量. 所提测量方法不仅能保留传统激光干涉测距的高分辨力和精度, 而且可溯源至时间频率基准, 对高精度长度测量、尤其是对物理复现“米”的定义具有重要计量意义. 测距实验证明, 四波长干涉测距的非模糊度量程达到44.6 mm, 折射率波动导致非模糊度量程变化为纳米量级; 多波长干涉测距的非模糊度量程也受制于空气折射率的测量误差, 多波长干涉绝对测距的非模糊度量程在实验室环境下可达数米、甚至几十米, 并通过2米线性位移实验证明了多波长绝对测距的大量程和线性测量性能.
2021, 70 (4): 040602.
doi:10.7498/aps.70.20201442
摘要 +
为进一步提高真空量值的复现性和准确性, 最新研究采用量子技术实现对真空量值的测量与表征. 该方法利用Fabry-Perot谐振腔实现腔内气体折射率的精密测量, 并反演出气体密度, 进而获得对应的真空量值, 其中气体折射率的测量是影响真空量值准确性的关键. 本文基于第一性原理, 利用从头计算理论计算了在已知压力和温度条件下的氦气折射率, 给出腔内气体压力与折射率关系的表达式, 并利用基于Fabry-Perot激光谐振腔的真空测量装置, 通过双腔谐振激光拍频精确测量了充气前后谐振激光频率的变化, 测出了氦气折射率, 并分析了测量不确定度. 将理论计算值与实验测量值进行了对比分析, 得出了制约准确度提高的主要因素, 并提出了修正方法.
原子和分子物理学
2021, 70 (4): 043101.
doi:10.7498/aps.70.20201386
摘要 +
利用相对论模型势方法计算了Be+离子和Li原子的波函数、能级和振子强度, 进一步得到了基态的电偶极极化率和超极化率, 并详细地分析了不同中间态对基态超极化率的贡献. 对于Be+离子, 电偶极极化率和超极化率与已有的理论结果符合得非常好. 对于Li原子, 电偶极极化率与已有的理论结果符合得很好, 但是不同理论方法计算给出的超极化率差别非常大, 最大的差别超过了一个数量级. 通过分析不同中间态对Li原子基态超极化率的贡献, 解释了不同理论结果之间有较大差异的原因.
电磁学、光学、声学、传热学、经典力学和流体动力学
2021, 70 (4): 044201.
doi:10.7498/aps.70.20201331
摘要 +
提出了基于black phosphorus(BP)纳米棒耦合的多频段等离激元诱导透明(PIT)电磁模型, 通过FDTD和辐射双振荡器(RTO)模型从数值计算和理论研究两方面分析了模型的电磁特性. 结果表明: 由于不同长度的BP纳米棒之间的明-明耦合, 可以在实现单频段PIT效应的基础之上, 进一步产生双频段和三频段的PIT效应. 其次, 通过改变BP的弛豫速率
${n_{\rm{s}}}$
, 可以在单频段、双频段、三频段PIT模型中同时实现透明窗谐振频率的可调性. 当
${n_{\rm{s}}}$
增大时, 各频段PIT窗口的谐振频率将会逐渐增大, 发生蓝移. 进一步研究了单频段PIT模型的传感特性, 该模型随背景材料折射率变化的灵敏度(sensitivity)达到了6110.6 (nm/RIU), 优值系数(FOM)达到了7.39 (1/RIU)这为多频带滤波、超灵敏传感器的设计提供了理论参考.
2021, 70 (4): 044202.
doi:10.7498/aps.70.20201623
摘要 +
拓扑现象对于病毒颗粒的空间分布、高分子聚合物纳米囊泡的成型以及玻色-爱因斯坦凝聚物等方面都发挥着重要作用. 本文利用Landau-de Gennes理论, 构建模型来模拟液晶中拓扑荷分布及其他现象. 通过对数值模型序参量场的演化, 以及模拟液晶薄膜中所生成的拓扑荷之间的相互作用来分析液晶(Lqc)薄膜的尺寸对拓扑荷的影响. 研究结果表明,随着液晶盘半径增大, 拓扑荷间最优距离与半径之比渐增并趋于稳定. 此研究结论对利用拓扑荷凝聚颗粒物效应设计分离容器有指导意义, 有助于进一步理解拓扑胶体和液晶以及液晶共聚物等软物质中的拓扑现象.
编辑推荐
2021, 70 (4): 044203.
doi:10.7498/aps.70.20201403
摘要 +
193 nm波长浸没式步进扫描投影光刻机是实现45 nm及以下技术节点集成电路制造的核心装备. 增大数值孔径是提高光刻分辨率的有效途径, 而大数值孔径曝光系统的偏振性能严重影响光刻成像质量. 光刻机曝光系统偏振参数的高精度检测是对其进行有效调控的前提. 基于光栅的偏振检测技术能实现浸没式光刻机偏振检测装置的小型化, 满足其快速、高精度在线检测的需求, 该技术中的关键部件是结构紧凑且偏振性能良好的光栅. 本文基于反常偏振效应和双层金属光栅对TE偏振光的透射增强原理, 采用严格耦合波理论和有限时域差分方法, 设计了一种双层金属光栅偏振器. 计算了该偏振器的初始结构参数, 并通过数值仿真得到了其偏振性能关于各光栅参数的变化关系. 仿真结果表明, 中间层高度是影响TE偏振光透射增强的主要因素; 垂直入射时TE偏振光的透过率可达到56.8%, 消光比高达65.6 dB. 与现有同波段金属光栅偏振器相比, 所设计的光栅偏振器在保证高透过率的同时, 消光比提升了四个数量级.
2021, 70 (4): 044301.
doi:10.7498/aps.70.20201385
摘要 +
通过测量含气泡水的声衰减反演气泡群参数是获取水中气泡分布的重要方法, 但是经典方法忽略了较高浓度气泡水中的强频散特性和气泡振动参数的改变, 导致反演较高浓度气泡群分布时会产生巨大误差. 为解决这个问题, 本文基于等效媒质理论建立起了声衰减和相速度的联系, 并考虑了含气泡水平均量对气泡阻尼系数和共振频率的影响. 在此基础上, 通过将反演气泡分布和修正相速度及气泡振动参数交替迭代的方法, 有效地消除了高浓度气泡水中由频散和气泡振动特性改变引起的误差. 与实验数据对比发现, 气泡群孔隙率达到10–5时, 考虑含气泡水的频散特性会显著降低反演误差; 而当气泡群孔隙率达到10–3时, 气泡阻尼系数和共振频率的修正会对反演结果变得重要. 本文方法在反演孔隙率为10–3—10–2的高浓度气泡群时, 仍有较好效果, 这可为获取水下较高浓度气泡群分布提供方法借鉴.
2021, 70 (4): 044302.
doi:10.7498/aps.70.20201111
摘要 +
针对常规双基地电磁矢量传感器多输入多输出(multiple-input multiple-output, MIMO)雷达中短电偶极子
$({L}/{\lambda } < 0.1)$
和小磁环
$\left(2{\rm{\pi }}({R}/{\lambda }) < 0.1\right)$
辐射效率不足问题, 本文根据实际应用中电磁矢量传感器的有效长度来设计新型的发射电磁矢量传感器阵列和接收电磁矢量传感器阵列. 首先, 通过平行因子算法来实现对双基地MIMO雷达阵列接收数据空时特性的充分利用. 这种处理过程能够实现发射俯仰角和接收俯仰角的自动参数配对. 然后, 针对归一化坡印亭矢量估计器在长电偶极子和大磁圆环约束下无法实现角度和极化参数有效测量的问题, 对于利用平行因子算法得到的发射和接收加载矩阵采用新的盲估计算法来实现对角度参数和极化参数的高精度估计. 所提出的盲估计算法在不需要电偶极子长度和磁环周长的先验信息的情况下能够有效地实现发射四维参数和接收四维参数的精确估计, 且该算法估计得到的八维参数满足自动参数配对特性. 最后, 详细推导了长电偶极子和大磁圆环约束下双基地MIMO雷达中角度和极化参数估计性能的克拉美罗界. 仿真实验表明, 对于实际中长电偶极子和大磁圆环组成的新型电磁矢量传感器, 本文所提算法具有良好的参数估计性能. 通过理论分析和仿真实验结果可以发现, 本文的研究工作能够进一步促进电磁矢量传感器在双基地MIMO雷达中的应用.
2021, 70 (4): 044401.
doi:10.7498/aps.70.20201546
摘要 +
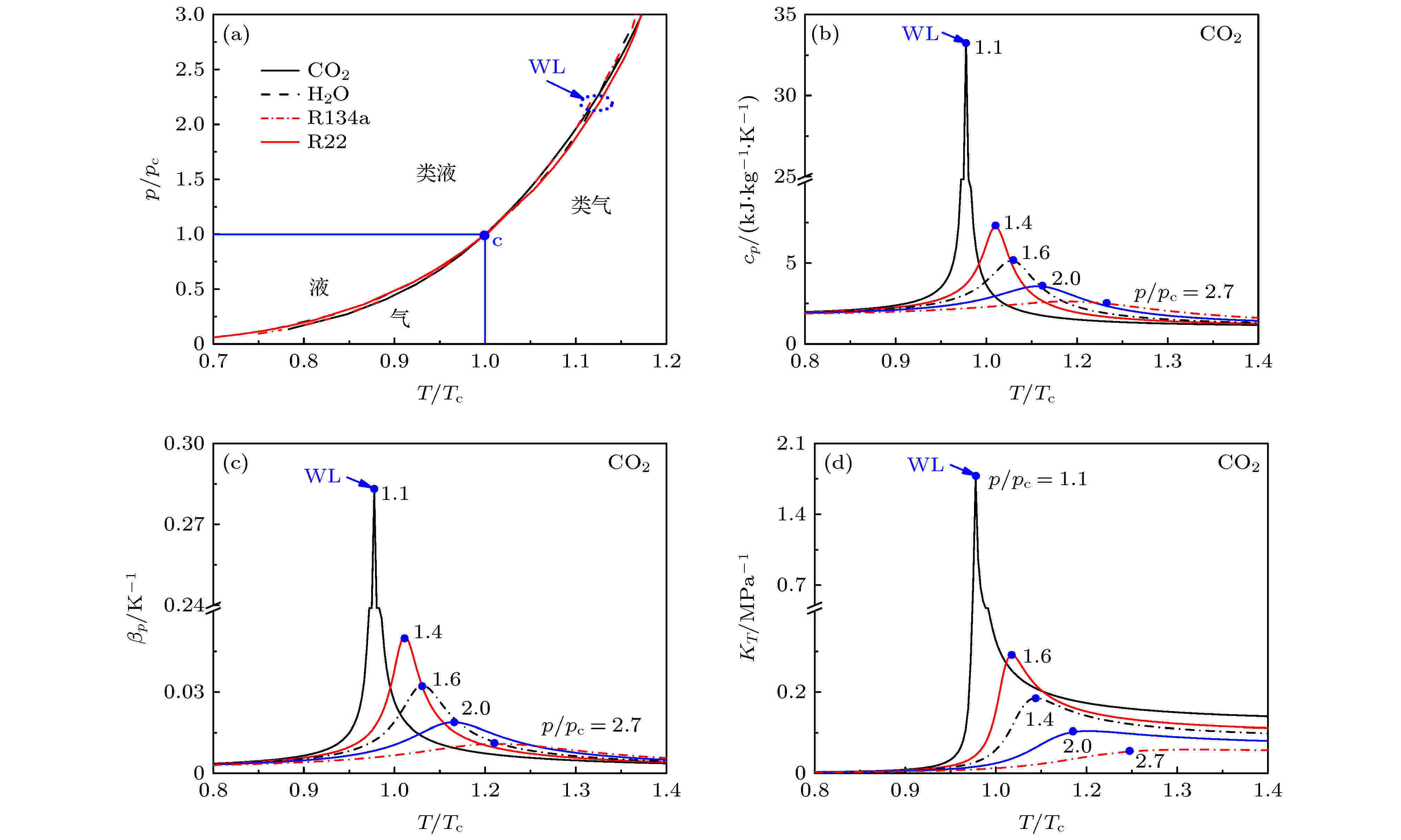
超临界流体广泛应用于工程技术领域, 其流动传热特性对工程设计具有重要意义, 但是, 由于超临界流体的物理微观和宏观行为的机理尚不清晰, 所以其异常的流动传热特性并未得到很好的解决. 普遍认为超临界流体在分子尺度上可分为类气和类液两种不同的特性, 直到最近通过实验在宏观上监测到超临界水类液和类气之间的转变, 且这一过程与拟沸腾理论一致, 使得问题逐渐变得清晰. 本文基于拟沸腾理论对超临界CO2异常流动传热行为进行了研究, 在假设类液和类气转换过程不均匀的情况下, 从经典的量纲分析和亚临界过冷沸腾理论模型出发, 提出了一个适用于超临界流体拟沸腾换热过程的分析方法. 通过引入表征类气膜生长速度与流体主流平均流速之比π= (qw·ρl)/(G·Δi·ρg)和表征近壁区类气膜温度梯度π13= (qw·βpc·di)/λg两个无量纲数, 来表征拟沸腾如何导致传热恶化, 解释了超临界CO2竖直向上加热流动过程中的异常换热特性, 即较大的类气膜生长速度使近壁区快速聚集了较多的高温流体, 而较大的类气膜温度梯度使类气膜覆盖在壁面. 当核心的冷类液不能充分润湿热壁面时, 传热恶化. 新无量纲数较好的诠释了超临界流体拟沸腾诱导传热恶化机制, 为超临界拟沸腾传热研究提供了理论依据.
2021, 70 (4): 044701.
doi:10.7498/aps.70.20201358
摘要 +
为研究液滴碰撞Janus颗粒(双亲性)球表面的独特行为特征, 以粒径为5.0 mm铜球为材料制备了Janus颗粒, 用直径为2.0 mm的液滴, 在韦伯数(We)为2.7, 10, 20, 30的测试情况下对Janus颗粒球表面进行了碰撞实验. 结果表明: 液滴碰撞Janus颗粒球表面后的运动可分为铺展、回缩、振荡和回弹4个过程. 在不同We下, 液滴碰撞Janus颗粒后的运动状态主要与表面润湿性相关, 在Janus颗粒亲水侧表现为铺展特性且铺展系数γ随着时间t的增大而逐渐增大并趋于稳定; 但在疏水侧, 表现为回弹现象, 铺展系数γ会出现类似“抛物线”形状; 当液滴碰撞Janus颗粒球表面亲-疏水分界线时, 液滴铺展和回弹同时发生. 基于能量平衡和受力分析发现, 液滴动能和表面能的互相转化是液滴铺展的关键, 液滴会在重力、惯性力、表面张力、黏性力、接触力等力的综合作用下展现其独特的行为特征并最终达到平衡状态.
2021, 70 (4): 044702.
doi:10.7498/aps.70.20201303
摘要 +
基于固体边缘效应, 对碳化硅(SiC)表面激光加工圆环形沟槽的润湿特性进行实验研究, 通过分析去离子水在圆环槽上的润湿性能及其在边缘处的铺展行为, 获得了环槽深度与环槽宽度对液滴在边缘处最大表观接触角的影响规律. 结果表明, SiC圆环槽阻碍液滴铺展, 光滑基体表面上接触角为70°, 激光加工圆环槽深度为290 μm, 宽度为1 mm时, 接触角可达138.5°. 随槽深的增大, 接触角呈现先增大后趋于稳定的趋势, 临界槽深为80 μm. 当槽深小于该极值时, 接触角随槽深的增大而线性增大; 当槽深大于该极值时, 液滴处于稳定钉扎状态, 接触角趋于稳定, 其稳定值符合Gibbs不等式. 环槽宽度存在一临界值40 μm. 当槽宽低于该值时, 液滴接触环槽外缘后越过沟槽继续在平面上铺展; 当槽宽大于该值时, 接触角趋于稳定, 液滴沿边缘铺展.
气体、等离子体和放电物理
编辑推荐
2021, 70 (4): 045101.
doi:10.7498/aps.70.20201611
摘要 +
准确预测GaN半导体材料的热导率对GaN基功率电子器件的热设计具有重要意义. 本文基于第一性原理计算和经典Debye-Callaway模型,通过分析和完善Debye-Callaway模型中关于声子散射率的子模型, 建立了用于预测温度、同位素、点缺陷、位错、薄膜厚度、应力等因素影响的GaN薄膜热导率的理论模型. 具体来说, 对声子间散射项和同位素散射项基于第一性原理计算数据进行了系数拟合, 讨论了两种典型的处理点缺陷和位错散射的散射率模型, 引入了应用抑制函数描述的各向异性边界散射模型,并对应力的影响进行了建模. 热导率模型预测值和文献中典型实验数据的对比表明, 基于第一性原理计算数据拟合的热导率模型和实验测量值总体符合较好, 300 K温度附近热导率数值及其随温度变化的趋势存在20%左右的偏差. 结合实验数据和热导率模型进一步确认了第一性原理计算会高估同位素散射的影响, 给出了薄膜热导率随薄膜厚度、位错面密度、点缺陷浓度的具体变化关系, 同位素和缺陷散射会减弱薄膜热导率的尺寸效应, 主要体现在100 nm附近及更小的厚度范围.
2021, 70 (4): 045201.
doi:10.7498/aps.70.20201391
摘要 +
在托卡马克等离子体中, 电阻壁模是非常重要的磁流体不稳定性, 特征时间在毫秒量级. 对长时间稳态运行下的先进托卡马克, 电阻壁模限制着聚变装置的运行参数空间(放电时间和比压), 影响经济效益, 所以研究电阻壁模稳定性至关重要. 本文使用MARS程序, 针对ITER装置上9 MA先进运行平衡位形, 研究了等离子体旋转和反馈控制对电阻壁模的影响. 结果表明, 在没有反馈控制时, 当比压参数
${C_\beta }$
取0.7, 等离子体环向旋转频率达到1.1%的阿尔芬频率时, 可以完全稳定电阻壁模; 在等离子体环向旋转和反馈控制共同作用时, 比压参数
${C_\beta }$
取0.7, 反馈增益
$|G|$
取0.6时, 稳定电阻壁模所需要的等离子体旋转频率为0.2%的阿尔芬频率. 可见, 单独靠等离子体环向旋转稳定电阻壁模所需的旋转频率较大; 而等离子体环向旋转和反馈控制共同作用可以降低稳定电阻壁模的旋转频率临界值, 符合先进托卡马克的运行. 本文的研究结果对中国聚变工程试验堆CFETR的工程设计和运行具有一定指导意义.
编辑推荐
2021, 70 (4): 045202.
doi:10.7498/aps.70.20201540
摘要 +
基于高功率脉冲磁控溅射(HiPIMS)技术开发的筒形溅射阴极, 配合电磁系统可有效地提升等离子体的输运效率. 然而电磁系统的引入反作用于筒内放电特性, 从而使靶面放电面积和放电强度无法同时维持. 鉴于此, 本文通过调整磁场布局, 研究了靶面切向(横向)磁场和法向(纵向)磁场对靶面放电的作用规律, 优化后靶面切向磁场分布更加均匀, 磁场强度高于40 mT的靶面区域占比由51%增至67%, 同时法向峰值强度外移, 强度由73 mT增至96 mT. 采用Ar/Cr体系放电发现:相同工艺条件下, 优化后的溅射阴极辉光变亮, 靶电流增大, 放电面积变宽, 放电特性得到显著提升. 利用等离子体整体模型仿真和发射光谱仪检测发现优化后离子电流和光谱强度得到明显提升, Cr粒子密度提高一倍, 增至2.6 × 1020m–3, 且离化率上升至92.1%, 同时输出离子通量提高近一倍, 实现了靶面放电与离子输出的双促进.
2021, 70 (4): 045203.
doi:10.7498/aps.70.20200957
摘要 +
基于塑料闪烁体转换和光学条纹相机的方法建立了一套用于Z箍缩实验中的软X射线条纹图像诊断系统, 解决了以往实验中使用的X射线条纹相机易被电磁环境干扰以及相机电极部件易被实验产生的高速粒子损伤的问题. 诊断系统的光谱响应范围主要集中在0.2—10 keV, 系统的空间分辨率经过理论评估小于120 μm, 通过标定闪烁体对X射线的时间响应特性给出了系统的时间分辨率约为1 ns. 诊断系统拍摄到了铝丝阵内爆等离子体的一维空间和时间分辨的X射线条纹图像, 给出了等离子体的内爆一致性和辐射均匀性等特征信息.
凝聚物质:结构、力学和热学性质
2021, 70 (4): 046201.
doi:10.7498/aps.70.20200953
摘要 +
一维非共轭烷烃链虽不具富电子或少电子特征, 但常存在于单分子器件或多肽、蛋白质等生物分子中, 对电子传输产生重要影响. 为理解这类物质的电子输运特征, 本研究设计了一维线性非共轭(CH2)n分子结模型, 并利用密度泛函理论结合非平衡态格林函数的方法, 对(CH2)n(n= 1—12)线性分子链与两个石墨烯电极耦合而成的分子结进行了第一性原理计算. 结果表明, CH2分子链随着n值的变化, 其电导值表现出明显的奇偶振荡现象, 并且随着链长的增加呈指数级的衰减, 这一结果与实验研究取得了很好的一致性, 为理解和设计性能更加优良的单分子器件提供了重要理论依据.
2021, 70 (4): 046801.
doi:10.7498/aps.70.20201505
摘要 +
采用脉冲激光沉积技术制备出无氢钨掺杂非晶态类金刚石膜. 膜中的钨含量与靶材中的钨含量保持稳定的线性关系, 显示了脉冲激光沉积在难熔金属掺杂技术方面的亮点. 由于碳-钨结构的形成和表面粗糙度影响, 膜层的干摩擦系数随着钨含量的增加显现出先减后增的趋势, 钨含量为9.67 at.%时达到最低值0.091. 钨含量的增大降低了类金刚石膜纳米硬度和杨氏模量, 但最佳的膜层耐磨性参数并非表现在硬度最大(52.2 GPa)的纯类金刚石膜中, 而是出现在低掺杂含量(6.28 at.%)的类金刚石膜中. 研究为脉冲激光沉积技术制备低摩擦、高硬度无氢钨掺杂类金刚石膜的应用提供了技术实践.
凝聚物质:电子结构、电学、磁学和光学性质
2021, 70 (4): 047101.
doi:10.7498/aps.70.20201237
摘要 +
由于MnBi2Te4电子结构具有对晶格常数的改变相当敏感的特性, 本文采用基于密度泛函理论的第一性原理方法对MnBi2Te4反铁磁块体的电子结构施加等体积应变调控. 研究发现体系能带结构在材料等体积拉伸和压缩作用下变化灵敏, 体系出现绝缘体-金属相变. 特别地, 当施加特定应变后导带和价带在Γ处出现交叉, 体系呈零带隙状态. 在此应变下仍可观察到能带反转的现象, 具有非平庸的能带拓扑性质. 根据不同应变下的电荷密度图, 发现等体积应变会影响体系七倍层层间距, 其中等体积压缩和拉伸应变可分别增大和减小Te原子层间距, 表明等体积压缩有利于降低反铁磁层间耦合. 通过等体积压力应变调控, 掌握了MnBi2Te4的电子结构的变化规律, 这对本征磁性拓扑绝缘体MnBi2Te4的物性研究和实验制备具有重要的指导意义.
2021, 70 (4): 047302.
doi:10.7498/aps.70.20201399
摘要 +
分子的激发能量转移和电荷转移是提高光伏电池和发光二极管效率的关键问题, 其中分子聚集体中的激子-激子湮灭过程是影响分子激发能量转移的重要方面, 细致研究激子-激子湮灭的动力学过程并与相关的瞬间吸收谱信号对比对相关的理论和实验都有重要意义. 本文在分子间弱耦合近似下, 用经典的率方程, 应用方酸分子的基本参数对激子-激子湮灭过程做了微观描述, 通过改变相关参数, 研究了外场激发强度、聚集体的偶极矩位形、分子内的衰变率等因素对激子-激子湮灭过程的影响, 分析了激子在第一激发态和高阶激发态的驰豫时间、电荷转移相干时间、激子融合和湮灭时间之间的关系, 得到的结论适用于高阶激发态能级能量约为第一激发态能级能量的2倍的分子组成的分子聚集体. 研究发现, J型聚集体由于相干能量转移时间较短, 比H型聚集体有更高的湮灭率. 激发场强越强, 激子-激子湮灭的效率越高. 分子高阶激发态的衰变率是激子-激子湮灭过程的关键因素.
封面文章
2021, 70 (4): 047401.
doi:10.7498/aps.70.20201213
摘要 +
在铁磁/超导异质结中, 铁磁体的交换场通过近邻效应将导致超导体准粒子态密度的塞曼劈裂. 基于该效应, 在外磁场不强的情况下, 通过外加磁场可以有效地调节铁磁/超导界面处的交换作用, 从而实现超导体在正常态和超导态之间转换, 产生极大磁电阻. 本文利用脉冲激光沉积方法制备了EuS/Ta异质结并研究了其电磁特性. Ta在3.6 K以下为超导态, EuS在20 K以下为铁磁态. 在2 K时, EuS/Ta异质结中可观测蝴蝶型磁滞回线, 证明在低磁场下(< ±0.18 T)异质结中EuS铁磁态和Ta超导态共存. 磁输运测试表明, 通过施加外磁场可以有效调节EuS的交换场, 随着交换场的增大, 同时也加强了界面处的交换作用, 从而抑制Ta的超导态, 实现了Ta在超导态和正常态之间的转变, 在EuS/Ta异质结中观测到了高达144000%的磁电阻. 本文制备的EuS/Ta异质结具有极大磁电阻效应, 在自旋电子学器件中有潜在的应用前景.
2021, 70 (4): 047801.
doi:10.7498/aps.70.20201324
摘要 +
测量了Ge-As-S系列硫系玻璃在中红外波段的飞秒激光损伤阈值, 研究了它与玻璃化学组成的关系. 基于优化的玻璃组成, 采用棒管法制备了芯径为15 μm的阶跃折射率非线性光纤. 采用飞秒脉冲抽运光纤, 研究了光纤中超连续谱(supercontinuum, SC)的产生特性. 在研究的Ge-As-S硫系玻璃中, 具有化学计量配比的Ge0.25As0.1S0.65玻璃显示出最高的激光损伤阈值. 以该玻璃作为纤芯材料、以与其相匹配的Ge0.26As0.08S0.66玻璃作为包层材料制备的光纤的数值孔径约为0.24, 背景损耗 < 2 dB/m. 采用4.8 μm的飞秒激光抽运长度为10 cm的光纤, 获得了覆盖2.5—7.5 μm的SC. 这些结果表明, Ge-As-S硫系玻璃光纤是一种有潜力的中红外高亮度宽带SC产生的非线性介质.
2021, 70 (4): 047802.
doi:10.7498/aps.70.20201512
摘要 +
近年来, 以聚合物为代表的高分子材料由于具有比其他光吸收材料(如半导体材料、碳基材料以及贵金属纳米材料)更好的柔性和粘弹性而受到广泛关注. 本文基于等离子体再聚合技术和磁控溅射工艺在聚合物材料层上制备了具有等离激元多重杂化效应的光吸收结构, 该结构具有宽谱高吸收特性. 该结构的制备工艺简单易行, 对不同聚合物材料具有通用性, 在光学器件领域具有广泛的应用前景.
物理学交叉学科及有关科学技术领域
2021, 70 (4): 048401.
doi:10.7498/aps.70.20201465
摘要 +
标度拓展经典负半阶分抗逼近电路, 可实现具有任意分数阶微积算子运算功能的分抗逼近电路, 但牺牲了运算恒定性. 从电路网络的角度分析具有恒定运算性能的负半阶Carlson分形格分抗逼近电路. 根据标度分形格分抗逼近电路的等效无源双口网络, 探讨该双口网络右侧端口的运算有效性, 设计具有高运算恒定性的任意阶标度分形格分抗逼近电路. 结合负实零极点对基元系统的零极点分布及其局域化特性, 阐述具有任意实数阶微积算子运算功能的标度分形格分抗逼近电路运算振荡现象的物理本质, 并从理论上分析有效抑制频域运算振荡现象的方法. 结合对称阻容T型节电路优化理论及方法, 对任意阶对称格型级联双口网络的频域逼近性能进行优化, 获得具有高逼近效益的任意阶标度分形格分抗逼近电路. 具有低振荡幅度的任意阶对称格型级联双口网络为高运算恒定性的分抗逼近电路设计及应用提供了一种新方法及思路.
2021, 70 (4): 048502.
doi:10.7498/aps.70.20201379
摘要 +
有机金属卤化钙钛矿作为发射体具有极高的色纯度和极低的成本, 但钙钛矿层普遍较差的形貌制约了器件的性能. 引入合适的聚合物可有效改善旋涂型钙钛矿薄膜的均匀性. 本文引入聚(4-苯乙烯磺酸盐) (PSS)改性的聚(3,4-乙撑二氧噻吩):PSS (PEDOT: PSS) 作为空穴注入层(HIL), 结合一步旋涂制备的三溴化铅甲基胺(MAPbBr3)和聚(环氧乙烷)(PEO)复合膜作为发光层, 制备了高效绿光钙钛矿发光二极管. 其中, PSS增加了PEDOT:PSS功函数, 降低了其与钙钛矿发光层间的注入势垒; 而掺杂PEO的钙钛矿膜致密且均匀, 覆盖率可以达到100%. 基于改性的空穴注入层和复合发光层, 我们最终获得了最大亮度为2476 cd·m–2、最大电流效率为7.6 cd·A–1的高效钙钛矿发光二极管.
2021, 70 (4): 048701.
doi:10.7498/aps.70.20201548
摘要 +
生物传感器是近年来的热点研究方向, 其中基于折射率变化的光学传感器在灵敏度方面具有很大优势. 本文基于α-MoO3设计了一种集成微流腔的法布里-珀罗谐振腔比色生物传感器. 理论分析了BK7/Ag/SiO2作为谐振腔反射面的可行性, 并进一步用传输矩阵法分析了所设计的比色生物传感器的透射光谱. 当微流腔通过不同浓度的NaCl溶液时, 比色生物传感器显示出明显的颜色变化. 该比色生物传感器灵敏度最高可达600 nm/RIU, 可分辨NaCl溶液9‰的浓度变化. 由于α-MoO3具有独特的各向异性的光学性质, 该比色传感器可以通过简单的旋转设备实现工作波长的调节以更好地适应人眼的光敏感区. 另一方面, 调节微流腔的厚度也改变该比色生物传感器的工作波长. 该比色生物传感器具有结构简单、易于集成、操作成本低、实时检测等优点,为以后设计可调谐比色传感器提供了一种新的选择.




