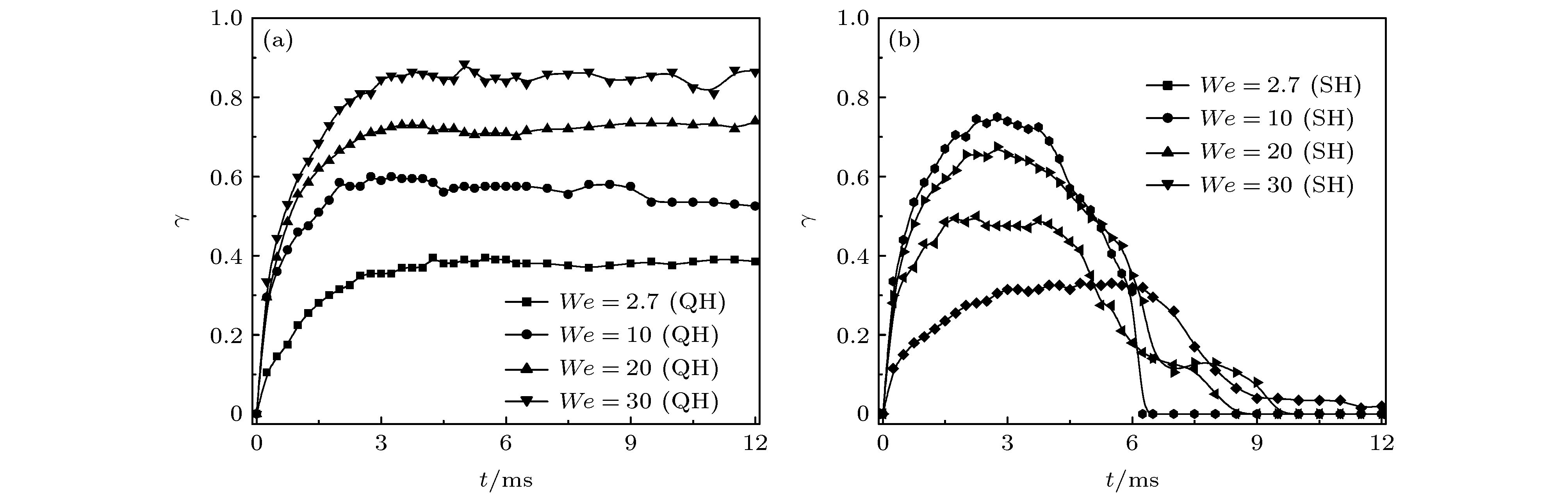
To acquire the unique behavioral characteristics that droplets impact the Janus particle (amphiphilicity) sphere surface, a series of collision experiments is conducted by using Janus particles with a diameter of 5.0 mm. These Janus particles are prepared by chemical treatment of the copper particles. Water droplets with a diameter of 2.0 mm are used to impact hydrophbilic surface, hydrophobic surface and hydropholic-hydropholic boundary of Janus particle, under four Weber numbers which are 2.7, 10, 20 and 30, the corresponing Reynold numbers are 621.8, 1191.9, 1589.2 and 2185.1. The results show that the collision process can be divided into four stages: spread, retraction, oscillation and rebound. Under different Weber numbers, the behavioral characteristics of droplets are mainly affected by the surface wettability. On the hydrophbilic surface, the droplets exhibit the spreading characteristics, with increasing time the spreading coefficient gradually increases and finally tends to be stable. As Weber number increases, the difference in spreading coefficient for droplet under adjacent Weber number gradually decreases, indicating that droplets spreading is mainly affected by inertia. On the hydrophobic surface, the spreading coefficient on the figure presents a "parabola" shape. Droplets spreading takes the same time to reach the maximum spreading coefficient under different Weber numbers. However, when droplets impact the hydropholic-hydropholic boundary, droplets show spreading and rebound behavioral characteristics simultaneously. At the beginning of droplets spreading, the spreading coefficient has almost the same value on both sides of the hydropholic-hydropholic boundary. With the increase of time, part of droplets on the hydrophobic are attracted by the hydrophbilic side surface and go into hydrophbilic side zone. In order to explain this phenomenon, the concept of line tension is introduced and the line tension on the hydrophilic side is found to be less than that on the hydrophobic side by analyzing the forces on both sides of the droplets. Based on energy balance and force analysis, it is found that the mutual conversion of droplet kinetic energy and surface energy are the key factor to make droplets spread. The droplets possess the unique behavioral characteristics and reach an equilibrium state under the combined influence of gravity, inertial force, surface tension, viscous force, and contact force.