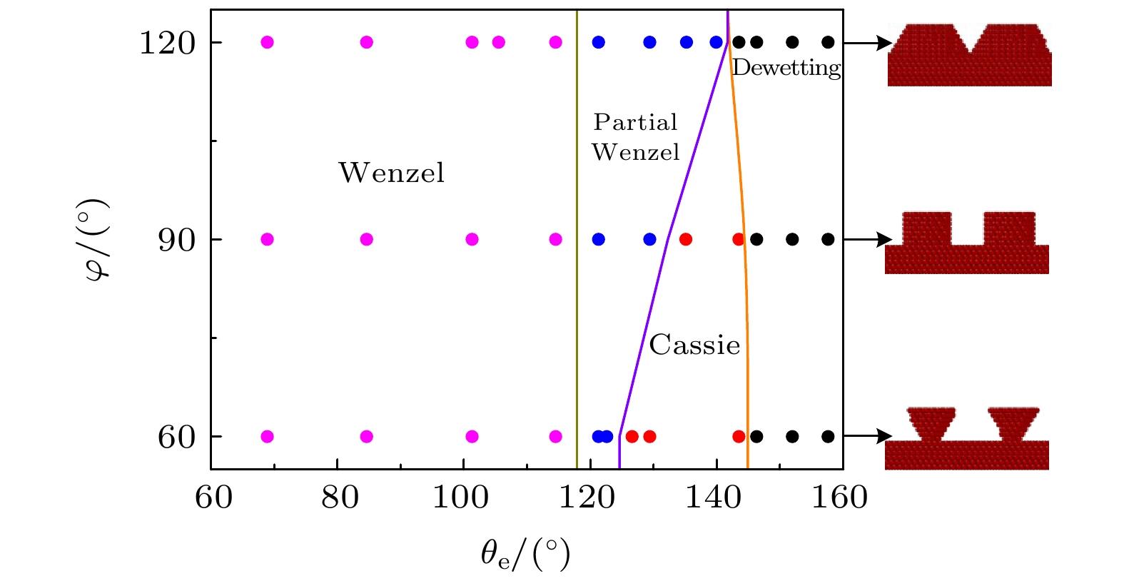
The wetting modes of droplet on nanostructure surface including Cassie, Partial Wenzel, and Wenzel are of great importance in enhancing the condensation heat transfer, surface self-cleaning and oil-water separation. Previous studies focused mainly on the behaviors of droplets on the surface of nano-pillar structures. In this work, the wetting behaviors of argon nanodroplet on platinum surface is investigated by the molecular dynamics simulations. The effects of nanostructure geometry parameters and characteristic contact angle
θ
eon the wetting mode and the transition between different modes are investigated. The three-dimensional simulation box includes a bottom wall containing trapezoid wires (TWs) with different geometry parameters and other five surfaces. The TWs are populated on the wall based on the array arrangement. The periodic boundary conditions are imposed on the four side surfaces of the simulation box. The base angles of the side surface of TW with respect to horizontal plane are chosen as 60° (inverted TW), 90° (rectangular pin fin) and 120° (TW), respectively. For all the three base angles, the nanostructure surface can be completely wetted by liquid, behaving as the Wenzel mode when
θ
e< 118°, under which the gaps of nanostructures are filled with liquid. However, when the characteristic contact angle
θ
eis in a range of 118°–145°, the base angles of nanostructures have different effects on wetting modes. The surface with inverted TWs (60° base angle) is conducive to keeping droplet in Cassie mode, in which the liquid does not penetrate into any gap of nanostructures. The surface with rectangular pin fins behaves as either Partial Wenzel mode or Cassie mode. The transition between the two modes takes place at
θ
e~130°. The surface with TWs (120° base angle) keeps the droplet in Partial Wenzel mode, in which the gaps of nanostructures are partially wetted by liquid. For
θ
elarger than 145°, the dewetting process takes place on the surface of the nanostructure, in which the droplet leaves the solid surface. We conclude that the wetting modes on nanostructured surface satisfy the minimum surface energy principle. Our work discloses a new finding that the surface with inverted TWs is easy to maintain Cassie mode, which is good for dropwise condensation applications.