专题: 二维磁性材料
2021, 70 (12): 127301.
doi:10.7498/aps.70.20210223
摘要 +
当前, 尽管集成电路制造工艺水平不断提高, 但受到量子效应的限制, 器件尺寸的缩小使业界遇到了可靠性低、功耗大等瓶颈, 微电子行业延续了近50年的“摩尔定律”将难以持续. 2004年二维材料—石墨烯的问世, 为突破集成电路的功耗瓶颈带来了新的机遇. 由于低维特性, 二维材料在一层或者几层原子厚度中表现出丰富多样的电学、磁学、力学和光学等物理特性. 其中, 铁磁性在信息处理、存储等技术上有着广泛的应用价值. 然而, 目前在实验上合成的具有铁磁性的二维材料屈指可数. 同时, 在二维系统中长程有序磁态会因为热涨落的因素在有限温度内受到强烈的抑制, 无法在室温下保持铁磁性, 这为后续工作带来了不可忽视的限制与挑战. 因此实现二维磁性材料室温下的铁磁有序及其调控是现阶段需要解决的重大问题. 本综述详细地介绍了二维磁性材料的发展过程、制备方法及其优越性能, 并着重阐述了调控二维磁性材料居里温度的方法. 最后, 扼要地分析并展望了二维磁性材料在未来的应用前景.
2021, 70 (12): 127302.
doi:10.7498/aps.70.20210133
摘要 +
层状磁性材料与拓扑材料的交汇点同时结合了二者的优势, 形成了在最小二维单元下同时具有磁序和拓扑性的材料体系, 即层状磁性拓扑材料. 这类材料的电子结构中可能存在狄拉克点、外尔点、节线等具有螺旋性或手性的拓扑电子态, 同时涵盖了绝缘体、半金属和金属等的材料分类, 导致新物性、新现象成为可能, 因此引起了广泛的关注. 本文主要以具有层状结构的本征磁性拓扑绝缘体、磁性外尔半金属、磁性狄拉克半金属等为例简要综述磁序与拓扑序之间的相互作用和近期部分的重要实验结果. 此交叉材料领域方兴未艾, 候选材料仍然非常缺乏, 亟待进一步的开发和研究, 是当前一个富有挑战的凝聚态物理前沿.
2021, 70 (12): 127303.
doi:10.7498/aps.70.20202132
摘要 +
二维材料中由贝里曲率诱导的新型磁学响应是近年来的新兴领域. 这些二维材料所表现出的磁学特性及量子输运与贝里曲率直接相关, 而贝里曲率又与晶体的对称性、电子的轨道磁性、自旋轨道耦合以及磁电效应等息息相关. 研究这些新型磁性响应一方面有益于研究不同量子效应间的耦合作用, 另一方面可探索量子效应在电子与信息器件领域的应用. 本文介绍了近几年来二维材料中新型磁响应的实验研究进展, 特别介绍了二硫化钼和石墨烯等材料中的谷霍尔和磁电效应、低对称性的二碲化钨等材料中的量子非线性霍尔以及转角石墨烯中的反常霍尔和量子反常霍尔效应. 本文结合二维材料的晶体结构以及电子结构, 介绍了这些新奇现象的现有物理解释、回顾了相关研究的最新发展、讨论了其中尚未理解的现象, 并作出展望.
2021, 70 (12): 127501.
doi:10.7498/aps.70.20210004
摘要 +
在具有自旋-轨道耦合效应的材料中, 电荷流能够诱导产生垂直于电流方向的纯自旋流, 当其注入近邻的磁性层时, 会对其磁矩产生自旋-轨道矩. 自旋-轨道矩能够快速、高效地翻转磁矩, 为开发高性能的自旋电子器件提供了一种极佳的磁矩操控方式. 二维材料由于具有很多的优点, 如种类丰富、具有多样化的晶体结构和对称性、能够克服晶格失配形成高质量的异质结、具有强自旋-轨道耦合、电导率可调等, 为研究自旋-轨道矩提供了独特的平台, 因此引起了人们的广泛关注. 本文涵盖了近年来与二维材料及其异质结构中自旋-轨道矩研究相关的最新进展, 主要包括了基于非磁性二维材料(如MoS2, WSe2, WS2, WTe2, TaTe2, MoTe2, NbSe2, PtTe2, TaS2等)和磁性二维材料(如Fe3GeTe2, Cr2Ge2Te6等)的异质结中自旋-轨道矩的产生、表征和对磁矩的操控等. 最后指出了目前研究中尚未解决的问题与挑战.
2021, 70 (12): 127503.
doi:10.7498/aps.70.20202204
摘要 +
二维磁性材料是二维材料家族的新成员, 其在单原胞层厚度依然保持长程磁序且易受外场调控, 这为二维极限下的磁性以及其他新奇物理效应的研究提供了理想的平台, 又为低功耗自旋电子学/磁存储器件的研制开辟了新的途径, 成为国际上备受关注的前沿热点. 本综述首先系统介绍了近年来发现的各类本征二维磁性材料的晶体结构、磁结构以及磁性能, 并讨论了由磁场、电场、静电掺杂、离子插层、堆叠方式、应变、界面等外场调控二维磁性材料磁性能的研究进展, 最后进行总结并展望了二维磁性材料未来发展的研究方向. 深入理解二维磁性材料磁性的起源和机理、研究其磁性能与微观结构之间的关联, 为寻找具有更高居里温度(奈尔温度)的磁性材料、设计多功能的新概念器件具有重要意义.
2021, 70 (12): 127504.
doi:10.7498/aps.70.20202197
摘要 +
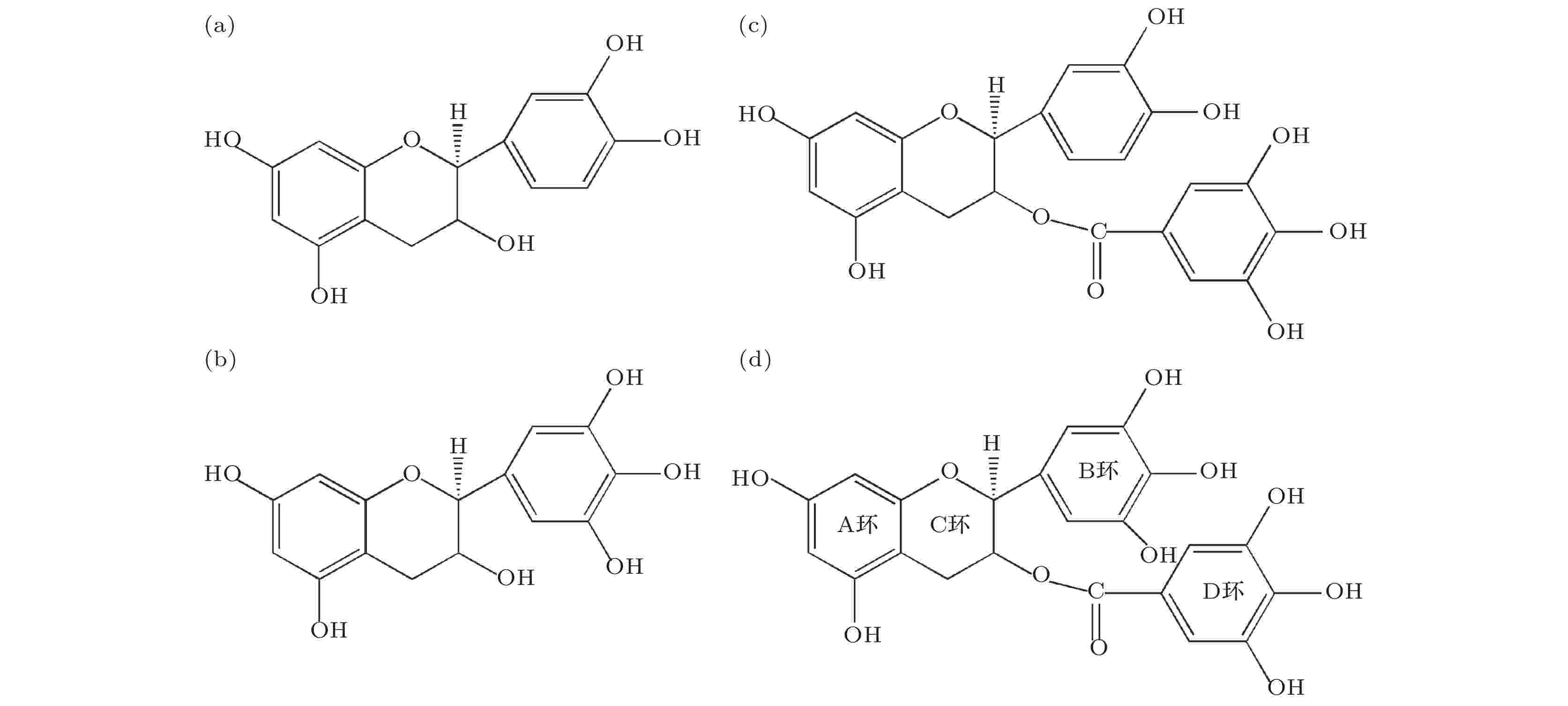
长久以来, 人们普遍相信低维(三维以下)长程序无法在任何有限的温度下稳定存在. 这是因为温度带来的热涨落会破坏由各向同性的短程相互作用支撑的低维体系中对称性破缺的有序态. 然而, 这个定理同时要求相互作用是短程且各向同性的. 事实上很多低维体系是不满足这两个限定条件的. 比如二维CrI3晶体中由于强各向异性的存在, 其磁子色散关系中有禁带存在. 当温度值远远低于该禁带宽度时, 磁子无法被温度大规模激发, 该二维体系中的长程磁序也就不会被破坏. 人们已经利用不同的手段对二维原子层厚度CrI3中的磁序进行了表征, 并且做了大量尝试来调控该体系中的磁性结构. 本文主要综述了CrI3二维磁性材料的生长、磁性结构测量和磁性结构调控, 并对下一阶段的工作从基础凝聚态物理研究以及电子工程应用角度做出展望.
2021, 70 (12): 127801.
doi:10.7498/aps.70.20202146
摘要 +
以石墨烯和二硫化钼为代表的二维材料, 由于具有良好的电学、热学、光学以及力学性质, 近年来成为了科学界一大研究热点. 而作为二维材料的分支, 二维磁性材料由于具有磁各向异性、单层磁有序等特殊性质, 特别是磁性还可借助多种物理场进行调控, 使其具有丰富的物理特性和潜在的应用价值, 逐渐受到研究者的普遍关注. 本文详细总结了二维磁性材料的种类类型、合成方法、基本特性以及表征手段, 系统归纳了关于二维磁性材料物性调控方面的研究工作, 并对二维磁性材料的未来研究方向和挑战进行简单的展望.
封面文章
2021, 70 (12): 127502.
doi:10.7498/aps.70.20210042
摘要 +
二维磁性材料的研究推动了现代纳米电子器件的发展. 寻找本征的具有磁性的层状材料, 为探索研究新的二维磁性材料、制备二维电子器件提供了重要的材料基础. 近来, 本征二维反铁磁拓扑材料的发现引起了人们的广泛关注和兴趣.
$ {\rm{EuIn}}_{2}{\rm{As}}_{2} $
被预言是一种轴子拓扑绝缘材料, 它具有典型的反铁磁序和层状的晶体结构, 其潜在的多种拓扑量子效应可以为未来新型电子学器件提供新的发展思路. 实验结果表明
$ {\rm{EuIn}}_{2}{\rm{As}}_{2} $
处于金属态, 而非绝缘态. 本文通过掺杂Ca来调节体系的费米能级和磁性, 发现
$ {\rm{E}}{{\rm{u}}_{1 - x}}{\rm{C}}{{\rm{a}}_x}{\rm{I}}{{\rm{n}}_2}{\rm{A}}{{\rm{s}}_2} $
中仍然存在与母体类似的长程反铁磁的结果. 反铁磁矩沿面内方向, 符合理论预言的轴子态磁结构. 在反铁磁转变温度以上发现了铁磁极化子. 由此可见, 非磁性杂质掺杂对体系的磁性影响不大, 但是载流子浓度却降低了一个数量级, 费米能级沿电子型方向进行调制. 本文的研究为在二维磁性材料中探索和诱导非平庸拓扑态提供了重要信息.
编辑推荐
2021, 70 (12): 129101.
doi:10.7498/aps.70.20202136
摘要 +
最近, 二维铁磁材料的发现加速了自旋电子学在超低功耗电子器件方面的应用. 其中, Fe3GeTe2通过实验调控, 比如界面层间耦合和离子液体调控, 可以使其居里温度达到室温, 具有广泛的应用前景. 本文基于密度泛函理论与非平衡格林函数方法, 研究了Fe3GeTe2/石墨烯二维异质结在有无氮化硼作隧穿层情况下的输运性质. 结果表明: 当Fe3GeTe2/石墨烯之间为透明接触时, 由于电子轨道杂化, 在 ± 0.1 V偏压下可以实现有效的自旋注入. 通过加入氮化硼作为隧穿层, 则可以在更宽偏压范围[–0.3 V, 0.3 V]内实现高效自旋隧穿注入; 并且, 由于Fe3GeTe2与石墨烯电子态在布里渊区的空间匹配程度取决于电子自旋方向, 相应出现的自旋过滤效应导致了接近100%的自旋极化率. 这些研究结果有望推动二维全自旋逻辑以及相关超低功耗自旋电子器件的发展.
专题: 太赫兹生物物理
编辑推荐
2021, 70 (12): 128201.
doi:10.7498/aps.70.20210647
摘要 +
通过小分子配体结合(如砷剂)来恢复p53突变蛋白活性是抑癌蛋白靶向治疗的重要策略, 但p53蛋白在功能恢复过程中的分子集体动力学变化及其作用等机制基础尚不清楚. 本文基于全原子弹性网络模型的正则模式分析了p53蛋白位于太赫兹频率的低频集体振动模式, 以期解析砷(III)对p53突变蛋白功能恢复作用所涉及的物理机理. 结果表明, 在砷(III)配体结合后p53突变蛋白的DNA结合域的最低频率集体振动模式得到了有效恢复. 进一步从原子骨架波动和太赫兹频率振动模态统计的角度分析了p53蛋白分子功能恢复的运动特征, 并基于残基动力学相关性讨论了其运动耦合机理. 本文从太赫兹生物物理的角度揭示了砷(III)对p53蛋白活性恢复的可能机制, 为蛋白分子低频运动特性与蛋白功能之间的联系提供了新的证据.
综述
2021, 70 (12): 123201.
doi:10.7498/aps.70.20202229
摘要 +
超冷长程Rydberg-基态分子由一个Rydberg原子与一个或多个基态原子通过Rydberg电子与基态原子的低能散射形成. 这类分子具有尺寸大和永久电偶极矩大等优良特性, 是近年来人们研究的热点课题. 本文综述了超冷Rydberg-基态分子的最新理论和实验进展, 包括Rydberg电子与基态原子低能散射的理论模型和势能曲线, 光缔合Rydberg分子的实验制备和光谱特性, Rydberg-基态分子永久电偶极矩的测量等. 最新的研究发现CsnDJ-型Rydberg-基态分子的永久电偶极矩为负值, 这与以往的此类分子(电偶极矩为正)不同. 负电偶极矩反映了Rydberg电子的概率密度在基态(微扰)原子附近是减少的, 由微扰原子附近Rydberg电子波函数的相消干涉产生.
2021, 70 (12): 128804.
doi:10.7498/aps.70.20201805
摘要 +
随着近几年来光伏产业的迅速发展, 有机太阳能电池因其成本低、重量轻、易于成批次生产、制作工艺简单和可制备成柔性器件等优点备受研究人员关注. 目前, 有机太阳能电池存在光电转换效率偏低、半透明器件显色性较差等问题, 光子晶体的引入为解决上述问题提供了新思路. 本文从光子晶体的结构特性和优化原理入手, 系统性地介绍了一维光子晶体和二维光子晶体对有机太阳能电池的优化效果, 着重分析了一维光子晶体和二维光子晶体引起有机太阳能电池短路电流和光电转换效率提升的原因; 另外, 本文也详细阐述了一维光子晶体可用于调节半透明器件显色性的原因. 最后, 结合现有的有机光电器件研究进展, 本文对基于光子晶体的有机太阳能电池未来的研究方向进行了展望.
总论
2021, 70 (12): 120201.
doi:10.7498/aps.70.20202134
摘要 +
针对软体机器人用水凝胶含摩擦斜向接触问题, 建立了接触力学数值模型, 分析了水凝胶软材料斜向接触时的局部接触大变形及摩擦效应等非线性行为. 基于超弹性材料本构, 推导得到了水凝胶的更新自由能函数. 给出接触计算策略, 数值计算了刚性球状压头正向接触水凝胶和斜向接触水凝胶两个算例, 讨论了经典Hertz接触理论的适用性以及不同摩擦系数对接触区应力分布和接触状态的影响规律. 计算结果表明, 水凝胶的材料非线性以及大变形引起的几何非线性使得经典Hertz接触理论不再适用; 斜向接触时, 摩擦系数的增大会导致水凝胶内部应力的重新分布, 表现为最大应力位置由接触面下方转移到接触表面上, 同时使水凝胶内部和表面出现两个主要高应力区. 此外, 研究还发现当摩擦系数较小时(μ< 0.05), 水凝胶正向接触事件中所有接触点均处于静摩擦到滑动摩擦的极限状态, 而斜向接触事件中接触面的部分区域始终处于稳定静摩擦状态.
2021, 70 (12): 120301.
doi:10.7498/aps.70.20201841
摘要 +
量子纠缠是量子信息处理和量子计算的基本资源, 简单而高效地制备纠缠态始终是学者们研究的热点问题之一. 作为量子信息编码理想载体之一的中性里德伯原子, 以其独特的优势在纠缠态制备领域占有一席之地. 本文将四能级倒“Y”型结构的里德伯原子系综放置于里德伯阻塞球内部使之形成超级原子, 在弱腔场近似下将量子信息编码在超级原子的有效能级上, 结合量子Zeno 动力学和绝热捷径的方法, 简单有效地制备了三粒子单重态. 此外, 本方案考虑了退相干因素(包括腔的衰减和超级原子的自发辐射)对单重态保真度的影响. 数值模拟结果表明, 本方案不需要对系统演化时间进行精确的控制就可以得到很高的保真度, 并且单重态的保真度对退相干因素是比较鲁棒的.
2021, 70 (12): 120302.
doi:10.7498/aps.70.20210071
摘要 +
基于纠缠光子对的Hong-Ou-Mandel (HOM)干涉仪在量子精密测量等领域有着重要应用. 本文提出了利用一个级联HOM干涉仪实现多个独立时延参数的同时测量方案. 通过理论分析得出纠缠光子对经过多个50∶50分束器级联传输后, 其HOM二阶量子干涉图谱中凹陷位置与各级传输路径间独立时延参数的对应关系, 因此可通过记录各个凹陷位置的时延值实现多个独立时延参数的同时测量. 在此基础上搭建了基于频率一致纠缠光子对的二级级联HOM干涉测量装置, 通过实验上得到的具有两个对称凹陷的二阶量子干涉图谱, 实现了两级传输路径间两个独立时延参数
$ {\tau }_{1} $
和
$ {\tau }_{2} $
的同时测量, 并分别获得了109 fs和98 fs的测量精度. 上述研究结果为HOM干涉仪在多参量量子精密测量系统中的扩展应用奠定基础.
2021, 70 (12): 120501.
doi:10.7498/aps.70.20210093
摘要 +
位于新生和成年哺乳动物延髓腹外侧区的前包钦格复合体被认为是呼吸节律产生的中枢. 正常状态下呼吸节律是均匀而整齐的, 而病理状态下呼吸节律会发生变化, 因此研究呼吸节律产生的动力学机制及其控制有重要意义. 本文基于前包钦格复合体中胞体-树突耦合神经元模型, 利用相平面分析、分岔分析、快慢动力学分析以及ISI (峰峰间期)分岔序列等方法, 研究了在钙离子动力学及LIP3(内质网泄漏渗透率)的影响下,LIP3的变化对耦合前包钦格复合体神经元放电节律的重要影响, 并研究了模型中反相簇放电的模式及其转迁机制. 结果表明, 钙的周期性波动是混合簇放电产生的关键因素, 但不是混合簇放电产生的必要条件. 本文的研究方法也可以应用于其他多时间尺度的神经系统中.
核物理学
2021, 70 (12): 122101.
doi:10.7498/aps.70.20210031
摘要 +
在碱金属原子簇磁性的研究中, 存在自由原子簇含有的原子个数及其磁矩难以准确确定的问题, 本文采用光磁共振光谱检测手段, 对工作温度约为328 K的饱和铷蒸汽样品中单原子分子87Rb1和14种簇粒子 (87Rb)
${}_ {n'}$
(
$ {n'} $
= 2, 3, ···, 15)的磁矩进行了深入研究. 实验结果表明: 在同一外磁场下, 14种簇粒子(87Rb)
${}_ {n'} $
的共振频率
$f_ {n'}$
与87Rb1的共振频率f*之间存在
$f_ {n'} = f^*/{n'}$
的数值关系, 并且各簇粒子的磁矩值与振幅值均随
$ n' $
的大小和奇、偶性呈现不同性质的变化规律. 运用分子轨态理论通过87Rbn=87Rbn– 1+87Rb联合原子簇构造模式, 给出14种簇粒子87Rbn(n= 2, 3, ···, 15)的基态和最低激发态的电子组态和分子态项型, 分析了各分子态的稳定性和发生可见塞曼效应的可能性. 进一步基于双原子分子磁矩公式计算, 发现当n=
${n'} $
时87Rbn的磁矩值与(87Rb)
${}_ {n'} $
的磁矩值严格吻合(平均相对误差仅为0.6765%), 证实了(87Rb)
${}_ {n'} $
和87Rbn的对应关系.
2021, 70 (12): 122801.
doi:10.7498/aps.70.20202239
摘要 +
在二氧化铀(UO2)燃料中掺杂钍(Th)是提高其热稳定性的有效手段. 本文利用分子动力学模拟方法, 系统研究了温度与掺杂浓度对U1–xThxO2混合燃料结构稳定性与力学特性的影响. 研究发现, 沿[001]晶向单轴拉伸可观察到混合燃料由初始面心立方结构的萤石相转化为具有低对称结构的scrutinyite相的特殊相变. 混合燃料体系的力学性能强烈依赖于温度与掺杂浓度, 弹性模量和断裂应力随温度的升高而减小, 断裂应变随温度的升高呈增加趋势. 当掺杂浓度小于0.1时, 弹性模量呈下降趋势, 而掺杂浓度高于0.1时, 弹性模量呈增加趋势. 断裂应力随掺杂浓度的增加而增加, 断裂应变则减小. 不同掺杂浓度下混合燃料体系均表现脆性断裂特性, 多晶样品中发生脆性沿晶断裂. 本文的研究结果可为UO2燃料的掺杂改性提供力学性能上的理论指导.
原子和分子物理学
2021, 70 (12): 123101.
doi:10.7498/aps.70.20201947
摘要 +
柿单宁具有优良的吸附重金属离子的效能, 表没食子儿茶素没食子酸酯(EGCG)是柿单宁发挥其活性作用的关键结构单体. 为分析柿单宁与金属离子相互作用的本质, 本文利用密度泛函理论(density functional thoery, DFT)的B3LYP方法, 从EGCG-金属复合物的构型、Mayer键级、自然布居分析、结合能、以及弱相互作用方面, 计算分析了EGCG与金属离子(Ag+, Hg2+, Cu2+, Fe2+, In3+, Al3+, Au3+)的相互作用关系. 研究结果表明, EGCG-Fe2+复合物主要以螯合键的形式吸附在一起; 而EGCG主要是通过静电吸引作用吸附Ag+和Hg2+离子; In3+, Al3+和Au3+离子与EGCG形成了独特的“腔状结构”金属复合物; Cu2+离子与EGCG的复合则同时存在着螯合作用、静电吸引作用和芳环堆积作用. 结合能计算显示, 金属离子所带电荷量越多, 越容易进行电荷转移, EGCG对其的静电吸引作用就越强. 这些计算分析可为探究柿单宁吸附金属离子的机理提供帮助.
2021, 70 (12): 123102.
doi:10.7498/aps.70.20202193
摘要 +
继石墨烯被发现合成之后, 二维石墨醚及硅醚材料被预测为新型半导体. 基于密度泛函理论的第一性原理计算, 对硅醚/石墨醚异质结构的电子和光学性质进行了系统的研究. 结果表明: 当层间距为2.21 Å时, 石墨醚的凹氧原子位于硅醚的凹氧原子之上的堆砌方式是最稳定的. 此外, 它的间接带隙为0.63 eV, 小于石墨醚和硅醚的带隙. 通过调节应变和电场强度, 可以调整硅醚/石墨醚异质结构的带隙. 特别是在压缩应变下, 异质结构存在间接带隙向直接带隙的转变. 硅醚/石墨醚异质结构的吸收系数在紫外光区出现强峰, 与单层石墨醚和硅醚相比, 异质结构的光吸收能力在80—170 nm范围内明显增强, 结果表明硅醚/石墨醚异质结构具有突出的紫外吸收能力. 本工作可为纳米器件提供一种具有潜在应用前景的新型材料.
电磁学、光学、声学、传热学、经典力学和流体动力学
2021, 70 (12): 124201.
doi:10.7498/aps.70.20201965
摘要 +
基于绝缘体上硅的微环谐振器由于成本低、结构紧凑和集成度高等优点, 是构成波分复用器、调制器以及光开关等的核心器件. 然而, 该类器件由于芯层与覆盖层间的高折射率差, 具有较大的偏振相关性, 在诸多使用偏振无关器件的应用中受到限制. 本文基于亚波长光栅和三明治结构设计了一种偏振无关微环谐振器, 通过改变三明治结构中低折射率层SiNx的折射率, 同时结合耦合区亚波长光栅的结构参数优化, 最终消除微环谐振器的偏振相关性. 运用三维有限时域差分法进行建模仿真, 对器件的结构参数进行了优化. 结果表明, 器件在TE和TM偏振模时的3-dB带宽均小于0.8 nm, 插入损耗均小于0.8 dB, 微环半径仅为10 µm, 并且在谐振波长1552.26 nm附近的两个自由频谱区内实现了偏振无关. 与常见的微环谐振器相比, 本文所提出的器件尺寸小、损耗低, 可用于构成偏振无关的密集波分复用器, 在未来的集成光路中具有较高的应用价值.
2021, 70 (12): 124301.
doi:10.7498/aps.70.20201876
摘要 +
考虑组织黏弹性对腔内气泡的影响, 引入Voigt黏弹性模型, 得到生物组织中气泡径向振动方程, 并基于此分析了声场参数、组织弹性、腔体大小对空化气泡振动的影响. 数值分析结果表明: 气泡受到组织的约束, 腔体半径越小约束越强, 气泡的共振频率和振动幅度越小. 气泡和腔体半径比α一定时, 随着组织剪切模量的增大, 气泡共振频率增大, 振动幅度减小且在高强度的声压下表现更为明显, 气泡在高频下声响应越弱振动幅度越小. 气泡初始半径在1—5 μm区域内惯性空化阈值较低, 较容易空化; 气泡的惯性空化阈值随组织剪切模量, 驱动频率的增大而增大, 且腔体半径越小气泡惯性空化阈值越高. 探究组织黏弹特性对气泡动力学行为的影响, 可为超声检测及治疗提供参考.
2021, 70 (12): 124302.
doi:10.7498/aps.70.20201653
摘要 +
当声源和接收器之间存在相对运动时, 接收到的信号会发生多普勒频移, 多普勒频移和目标运动参数有关. 针对声学多普勒频移问题提出Doppler-warping变换, 运用该变换可以实现多普勒信号相位的线性化, 推导出warping算子, 提出一种利用该变换估计目标运动参数的算法. 首先构造不同运动参数下的Doppler-warping算子, 再利用算子对接收的时域信号进行时间重采样, 然后求出变换之后信号的频谱函数, 最后利用频谱函数熵最小来实现目标参数估计. 仿真结果证明了该方法的有效性, 对于低信噪比的海试数据, 渔船真实速度为4.5 m/s, 采用传统的最小均方误差(MMSE)速度估计方法得到的结果为5.2 m/s, 误差达到15.56%, 本文提出的Doppler-warping变换方法较为准确地估计了目标运动速度, 估计结果为4.7 m/s, 误差为4.44%.
2021, 70 (12): 124501.
doi:10.7498/aps.70.20202126
摘要 +
气-液-固三相流混合过程是一个复杂的多重流固耦合动力学问题, 颗粒参数与流道物理空间尺度之间的关系直接影响计算收敛性, 强剪切区域的流固双向耦合作用数值建模与网格处理具有较高难度. 针对上述问题, 提出了一种气-液-固三相流混合的建模与求解方法. 基于流体体积-离散单元耦合模型, 建立考虑颗粒运动的三相动力学模型, 通过求解动量方程, 实现两相流体与颗粒的双向耦合. 自主开发用户自定义函数(UDF)通信接口, 得到流体与颗粒间的相互作用力, 提出了一种多孔相间耦合解法来描述颗粒运动轨迹. 以带强剪切的三相流混合过程为例, 使用该方法研究了不同充气条件对流道物理空间内自由表面、速度分布和颗粒悬浮特性的影响规律. 结果表明, 强剪切和壁面作用可以将流体的切向速度转化为轴向和径向的速度; 选择合适的充气速度可以消除自由液面的不稳定性; 增加流体的流动速度, 对于部分区域颗粒的悬浮提升作用有限. 研究结果可为复杂多相流相间作用机理研究提供有益借鉴, 也可为气-液-固三相颗粒混合生产调控提供技术支持.
编辑推荐
2021, 70 (12): 124601.
doi:10.7498/aps.70.20202108
摘要 +
对二维声学超材料与常规材料界面处的负向Schoch位移进行了研究. 研究表明, 在界面处增加合适厚度的覆盖层, 当声波在某一频率附近从常规材料向近零折射率材料传播时, 反射声波相对于入射声波会在界面处发生负向Schoch位移, 此时, 超材料的有效体积模量倒数值趋近于零从而使它成为一种折射率近零的声学材料; 同时, 超材料有效阻抗的极大值和反射系数的极大值都在这一特殊频率处且反射系数虚部相位在对应频率处有π rad的相位突变; 研究还发现, 发生负向Schoch位移的频率位于MK方向第一带隙中且靠近上边界的通带频率. 常规材料界面处的Schoch位移通常是正向的且大小可忽略不计的, 本文利用近零折射率声学材料实现了负向的Schoch位移, 为设计出基于界面声波的声学器件提供了一种新的理论参考.
2021, 70 (12): 124701.
doi:10.7498/aps.70.20202116
摘要 +
非牛顿流体在微流控系统及生物医学等领域具有广泛应用. 采用分子动力学模拟方法, 以羧甲基纤维素钠分子和水分子构成的系统为研究对象, 模拟了不同剪切速度下羧甲基纤维素钠溶液的构型演变, 采用溶质分子的均方位移和近表面水分子层的相对剪切速度表征溶液黏度的变化, 着重分析了氢键作用对溶液黏度变化的影响. 结果表明: 羧甲基纤维素钠溶液中水分子与溶质分子相互吸引形成更致密的氢键网络, 使得溶液黏度增加. 当对溶液施加剪切作用时, 溶质分子上与碳相连的氢原子与水氧原子之间的径向分布函数峰值减小, 二者形成的氢键作用减弱. 在剪切作用下, 溶质分子运动加剧, 水分子对溶质分子运动的阻碍作用减小; 同时距剪切边界越近的水分子的移动速度越接近剪切速度, 随着距离增加, 水分子层的移动速度大幅度减小; 以上结果在宏观上可表现为体系的黏度降低. 剪切速度增加, 羧甲基纤维素钠溶液的剪切稀化现象愈加显著.
编辑推荐
2021, 70 (12): 124702.
doi:10.7498/aps.70.20201714
摘要 +
超疏水表面上液滴因聚并诱导而引起的自弹跳行为具有巨大的潜在应用价值, 因此有关问题引起了广泛关注. 目前液滴的物性参数对其自弹跳特性的影响却鲜有报道. 本文数值模拟了不同的液体物性参数下液滴的聚并自弹跳行为, 并利用灰色关联法研究了物性参数变化分别与液滴跳起时的真实弹跳速度及液滴和表面的真实接触时间的关联程度. 在无量纲的时间条件下, 液滴的聚并自弹跳的动力学特性仅受Oh数的影响. 在真实的时间条件下, 黏度变化与液滴聚并所需的真实时间无关, 而减小密度比会同时减少聚并过程和跳起过程中所需的真实时间. 无量纲的弹跳速度随着Oh数的增大而减小, 而减小黏度和密度都会增加液滴跳起时的真实弹跳速度. 根据灰色关联度的计算结果可知, 黏度的变化与真实弹跳速度的关联性更高, 密度的变化与真实接触时间关联性更高.
凝聚物质:结构、力学和热学性质
2021, 70 (12): 126101.
doi:10.7498/aps.70.20201584
摘要 +
液滴在纳米结构表面的润湿模式研究(Dewetting, Cassie, Partial Wenzel及Wenzel)对强化冷凝、表面自清洁、油水分离等具有重要意义, 现有文献主要研究了液滴在微柱阵列纳米结构表面的润湿行为. 本文采用分子动力学模拟, 研究了纳米结构倾角及表面浸润性对氩液滴在铂固体壁面上润湿模式及其相互转换的影响, 采用了三种纳米结构, 其倾角分别为60° (倒梯形)、90° (长方形)及120° (正梯形); 以本征接触角θe表征表面浸润性. 研究表明, 当θe< 118°时, 液滴在纳米结构表面均呈Wenzel状态, 即液体向纳米结构缝隙完全渗透; 当118° <θe< 145°时, 倒梯形纳米结构有助于液滴保持Cassie状态, 即液体不向纳米结构缝隙渗透, 正梯形纳米结构容易使液滴形成Partial Wenzel状态, 即液体向纳米结构缝隙部分渗透. 分析表明, 三种纳米结构倾角对液滴润湿模式的影响及转换满足自由能最小原理. 本文工作揭示出采用倒置纳米结构, 可使液滴更好维持Cassie模式.
2021, 70 (12): 126102.
doi:10.7498/aps.70.20210192
摘要 +
相同线性能量传输值(linear energy transfer, LET)、不同能量和种类的离子在径迹特征方面存在差异, 导致这些离子在组合逻辑电路中产生的单粒子瞬态(single event transients, SET)有所不同, 这种现象随着电路特征工艺尺寸的缩减逐渐凸显. 开展离子径迹特征与纳米组合逻辑电路SET的关联性研究对准确预估纳米器件在轨单粒子效应软错误率具有重要意义. 本文以65 nm互补金属氧化物半导体工艺的体硅反相器链为研究载体, 建立了反相器链的三维器件物理模型, 开发了体硅中离子径迹的粒子输运计算程序, 基于器件物理和粒子输运的耦合仿真, 研究了相同LET值的高低能离子(低能离子能量小于10 MeV·n–1, 高能离子能量介于几十MeV·n–1和几百MeV·n–1之间)在反相器链中所产生的SET脉宽差异. 研究结果表明: 增加高低能离子每核子能量比率, 或者在该比率相近时提高LET值, 会使得具有相同LET值的高低能离子的径迹差异变大, 进而导致两者产生的SET脉宽差异更明显; 离子径迹特征对SET的影响与离子入射角度存在一定的依赖关系, 但与反相器链偏置电压的关联性不强.
2021, 70 (12): 126401.
doi:10.7498/aps.70.20210128
摘要 +
使用模耦合理论, 并结合非线性朗之万方程理论中的动力学自由能、局域尺寸和玻璃化转变点的概念, 研究胶体聚合物的弹性问题. 以微观的静态结构为基础, 在理论上推导出剪切弹性模量的显式表达. 该表达式包含了单链结构因子、链间单体的静态结构与动力学局域尺寸. 首先报道了键长的增加对过冷液体转变体积分数有降低作用. 之后, 将胶体链的静态结构作为输入函数, 基于键长对局域尺寸的关系, 重点探索了键长对剪切弹性模量和体积弹性模量的影响. 研究发现: 当使用过冷深度作为自变量时, 同一键长的链的局域尺寸和体积弹性模量能被一条普适曲线刻画, 而剪切弹性模量则不能塌缩到一条普适曲线上. 基于零波矢静态结构因子的普适曲线, 我们猜想这来自于键长对长波矢静态结构的影响. 该工作为日后对聚合物材料的弹性性质的调控提供了理论指导.
凝聚物质:电子结构、电学、磁学和光学性质
编辑推荐
2021, 70 (12): 127505.
doi:10.7498/aps.70.20210056
摘要 +
利用量子化学第一性原理计算, 对FeB20和Fe2B20团簇的几何构型、电子结构以及由激光诱导的超快自旋动力学进行了研究. 计算结果发现, FeB20团簇中Fe原子倾向吸附于B20管内, 而Fe2B20团簇的两个Fe原子分居管内外时更稳定. 后者由于磁原子个数的增多, 引入了更多的d电子态而表现出结构整体能级的下移; 同时, 由于该结构两磁原子吸附环境的不同, 使得其能态具有不同自旋局域的可能性. 基于体系所得多体电子基态和激发态, 在特定激光脉冲诱导下, 在两个团簇上均实现了亚皮秒时间尺度内的超快自旋翻转和自旋交叉两种动力学过程. 其中前者均可逆, 且保真度都高达89.7%及以上, 后者保真度略低, 均在78%及以下. 另外, 在Fe2B20团簇上, 实现了两个Fe原子之间的超快自旋转移动力学, 其所需激光能量由于初末态较大的能级差和较多的中间态参与而较之其他动力学最高. 本文工作为吸附磁原子的管状硼团簇体系上所实现的超快自旋动力学功能进行了预测, 可望对其未来的实验实现以及相关自旋逻辑功能器件的设计和应用提供理论指导.
2021, 70 (12): 127701.
doi:10.7498/aps.70.20202164
摘要 +
探索相变和构建相图对于铁电物理和材料研究至关重要, 是相关理论和实验领域的研究焦点. 随着计算机和人工智能的迅猛发展, 利用机器学习方法并结合其他计算方法如第一性原理, 可以从海量的材料数据中选择符合目标的材料种类, 从而大大节约了实验成本. 本文利用神经网络方法和唯象理论计算准确预测出不同取向铁电薄膜的相图中可能出现的相, 进而建立了(001), (110)和(111)取向Pb(Zr0.52Ti0.48)O3铁电薄膜的温度-应变相图, 并计算了室温下不同取向的极化和介电性能. 通过预测准确率及损失随迭代次数的变化, 发现深度神经网络方法在薄膜温度-应变相图构建及预测相的种类方面具有准确快速等优势. 通过对室温极化与介电性能进行分析, 发现(111)取向的Pb(Zr0.52Ti0.48)O3薄膜面外极化最大, 面外介电系数最小, 且二者对应变变化都不敏感. 这对设计需要介电系数和极化性能处于稳定工作环境及对运行有特殊要求的微纳器件具有十分重要的理论指导意义.
2021, 70 (12): 127702.
doi:10.7498/aps.70.20210115
摘要 +
铁电材料的极化翻转特性是铁电存储器实现“0, 1”信息读写的物理基础, 因此极化翻转的稳定性直接决定器件的服役可靠性. 在交变电场循环载荷下, HfO2基新型铁电薄膜存在唤醒(wake-up)、疲劳(fatigue)和极化翻转电流峰分裂(split-up)等极化翻转不稳定现象, 严重制约了其在铁电存储器件中的实际应用. 探明极化翻转行为复杂演变的微观机制, 从而提出优化稳定性的可行措施是目前工作的重难点, 但是基于传统测试手段的研究难以解决上述问题. 一阶回转曲线图谱法被誉为迟滞系统研究中的“指纹鉴定”, 已在磁性材料特征参数演变规律的解析中得到成功应用. 本文首先介绍一阶回转曲线图谱法的基本原理和实现方法, 接着以Si掺杂HfO2铁电薄膜为实验对象, 利用该方法获得了薄膜内电畴极化翻转特征临界场的分布密度随外场加载历史的演变, 为理解铁电材料的极化翻转行为提供了重要的微观物理机理信息.
2021, 70 (12): 127901.
doi:10.7498/aps.70.20210106
摘要 +
介质微放电已经成为制约航天器有效载荷地面研制和在轨可靠运行的重要因素. 本文对航天器环境模拟试验中真空罐穿舱法兰介质表面单边微放电进行了实验研究, 在周期性脉冲信号激励下, 观察到调零信号间歇性局部跳变的现象. 采用三维粒子模拟工具对微放电从起始到饱和的演化过程进行了数值模拟, 结合模拟结果给出了实验现象的物理解释及若干讨论. 研究表明, 在本文采用的脉冲信号配置参数下介质单表面微放电在脉冲内建立并达到饱和、在两个相邻脉冲之间没有射频信号的时段“熄灭”. 所得结果对介质微放电的理论研究和高功率介质微波部件的工程设计具有重要的意义.
物理学交叉学科及有关科学技术领域
2021, 70 (12): 128101.
doi:10.7498/aps.70.20202163
摘要 +
采用时域有限差分方法从理论和数值上提出了一种基于临界耦合和导模共振的单层二硫化钼的四波段完美吸收器, 通过阻抗匹配和耦合模理论可以更好地分析其物理机理. 单层二硫化钼被放置在二氧化硅与具有周期性长方体空气槽结构的二维聚甲基丙烯酸甲酯层中间. 利用导向共振的临界耦合原理得到了单层二硫化钼的高效光吸收, 即在共振波长(λ1= 510.0 nm,λ2= 518.8 nm,λ3= 565.9 nm,λ4= 600.3 nm)获得了4个共振完美吸收峰, 吸收率分别为99.03%, 98.10%, 97.30%和95.41%, 同时平均吸收率在可见光光谱范围高达97.46%, 是裸单层二硫化钼的12倍以上. 从模拟结果来看, 调节结构的几何参数可以来控制单层二硫化钼的共振波长的范围, 这对提高单层二硫化钼的吸收强度和选择性具有重要的现实意义. 利用临界耦合来增强光-二氧化硅相互作用的新思想也可以应用于其他原子级薄材料. 同时, 本文也讨论了吸收器的传感性能, 发现传感器的最高品质因子、灵敏度与品质因数最高分别为1294.1, 155.1 nm/RIU和436. 这些结果表明, 所设计的结构可能为改善二维过渡金属二元化合物中的光-物质相互作用开辟有前景的技术, 并在波长选择性光致发光和光电探测中有着极好的应用前景.
2021, 70 (12): 128401.
doi:10.7498/aps.70.20201852
摘要 +
Cu1.8S基热电材料因其丰富的原料储备、低毒性及优良的电学和热学性能而成为具有应用潜力的热电材料. 本文采用机械合金化(mechanical alloying, MA)结合放电等离子烧结(spark plasma sintering, SPS)工艺制备了一系列Cu1.8–xSbxS (x= 0, 0.005, 0.02, 0.03, 0.04)块体材料, 研究了不同Sb掺杂量对Cu1.8–xSbxS相结构、微观形貌及热电性能的影响. 结果表明, 随着Sb含量的增加, Cu1.8–xSbxS材料相结构由单相Cu1.8S转变为多相共存, 其块体均呈p型导电特征. 样品Cu1.77Sb0.03S在723 K时取得最高ZT值约为0.37, 比未掺杂Cu1.8S(0.33)提高了12%.
2021, 70 (12): 128501.
doi:10.7498/aps.70.20201816
摘要 +
超导量子干涉仪(superconducting quantum interference device, SQUID)具有极低的噪声水平, 极高的磁场灵敏度和电流灵敏度, 可探测低噪声传感器的微弱电流信号. SQUID电流传感器已成为超导转变边缘探测器(transition-edge sensor, TES)等低噪声探测信号读出的唯一选择. 本文研制了一种针对TES信号读出应用的二阶梯度交叉耦合SQUID电流传感器. 根据TES的信号读出需求, 设计了SQUID电流传感器的结构和各项参数. 其中, SQUID环路、输入线圈和反馈线圈均采用二阶梯度结构. SQUID环路与输入线圈、反馈线圈均采用不同平面交叉耦合方式, 可有效地减弱寄生电容. 通过优化工艺, 成功地研制出基于Nb/Al-AlOx/Nb约瑟夫森结的二阶梯度交叉耦合SQUID电流传感器. 液氦温区测试结果显示, 输入线圈电流灵敏度为17 μA/Φ0, 磁通白噪声为2 μΦ0/
$ \sqrt{{\rm{H}}{\rm{z}}} $
, 电流白噪声为34 pA/
$ \sqrt{{\rm{H}}{\rm{z}}} $
. 在无磁屏蔽条件下的噪声测试结果显示, 二阶梯度交叉耦合SQUID电流传感器具有良好的抵抗环境电磁干扰能力.
2021, 70 (12): 128502.
doi:10.7498/aps.70.20210154
摘要 +
紫外探测器在火灾预警、导弹跟踪以及紫外线杀菌消毒的剂量检测方面有着很重要的作用, 与人类生活息息相关. 随着探测系统集成化的发展, 对探测器的尺寸、能耗等方面的要求越来越严格, 需要外加电源工作的传统探测器已经不能满足这样的要求. 于是本文提出了一种基于NiO/GaN p-n结的紫外探测器. 利用磁控溅射的方法, 在高质量的n-GaN膜上(由金属有机化学气相沉积生长在蓝宝石衬底上)沉积一层p-NiO, 构建了NiO/GaN p-n结, 在 ± 0.5 V下显示出明显的二极管整流特性. 利用结区产生的内建电场, 器件可以在没有外加偏压的条件下工作. 0 V下对365 nm的紫外光显示出272.3 mA/W的响应度以及高达2.83 × 1014Jones的探测率. 得益于薄膜良好的结晶性, 暗电流低至10–10A, 开关比 > 103, 同时响应速度达到31 ms. 这些优异的性能显示出了基于NiO/GaN p-n结的器件在紫外探测领域广阔的应用前景, 为未来智能化集成发展提供了新的思路.
2021, 70 (12): 128801.
doi:10.7498/aps.70.20210012
摘要 +
纳米复合电极是提高中低温固体氧化物燃料电池(solid oxide fuel cell, SOFC)性能的新型前沿技术, 其内部三相界面(three phase boundary, TPB)处空间电荷层(space charge layer, SCL)效应凸显, 显著影响氧空位传输能力, 是其性能优异的重要原因之一. 现有研究广泛采用Poisson-Boltzmann方程模拟SCL效应, 受限于载流子电化学平衡假设(导体净电流为零), 难以准确地揭示SOFC运行条件下(净电流不为零) SCL效应的影响规律. 针对SOFC模式电极, 本文耦合Poisson方程与载流子质量守恒方程, 建立了运行条件下考虑SCL效应的氧空位传输数理模型及数值模拟方法. 模拟研究表明, SCL效应导致TPB附近产生明显的氧空位浓度梯度, 从而产生显著的扩散电流, 其数值甚至高于电势梯度驱动的迁移电流. 采用SCL电阻表征SCL效应对氧空位传输过程的影响, 发现随着无量纲Debye长度与无量纲电势的增大, SCL电阻呈现减小的变化趋势; 增大无量纲平均电流密度, SCL电阻逐渐增大. 本文研究工作可为通过科学设计纳米复合电极以提高中低温SOFC性能提供理论依据.
2021, 70 (12): 128802.
doi:10.7498/aps.70.20202016
摘要 +
硫硒化锑(Sb2(S,Se)3)薄膜太阳电池因其原材料丰富、制备方法简单、性能稳定等优势近年来得到了快速发展. 本文基于Sb2(S,Se)3吸光层能隙可调的特点, 应用wx-AMPS软件对具有渐变能隙Sb2(S,Se)3太阳电池进行建模仿真和结构设计, 并与50% Se含量的恒定能隙Sb2(S,Se)3太阳电池进行了对比分析. 结果显示, 递减能隙结构所形成的附加电场能够促进空穴的输运, 抑制载流子的复合, 相比与恒定能隙Sb2(S,Se)3太阳电池可以得到更高的短路电流密度和填充因子, 使光电转换效率由12.03%提升至14.42%. 此外, 递减能隙结构通过抑制载流子的复合, 有效地缓解Sb2(S,Se)3太阳电池因厚度厚或者缺陷态高所引起的性能下降. 在厚度为1.5 μm, 缺陷态密度在1016cm–3时. 采用递减能隙Sb2(S,Se)3太阳电池的效率比恒定能隙Sb2(S,Se)3太阳电池高6.34%. 研究结果表明通过吸光层的能隙结构设计能够发挥Sb2(S,Se)3等多元合金或化合物的能隙可调的优势, 是提高太阳电池器件性能的有效技术路线之一.
2021, 70 (12): 128803.
doi:10.7498/aps.70.20202005
摘要 +
基于铯铅碘(CsPbI3)材料的全无机钙钛矿太阳电池是一种廉价且有潜力的光伏器件, 然而该电池的转换效率仍然较低, 研究结果表明钝化CsPbI3薄膜的表面电子陷阱态可有效提高电池性能. 本文报道了一种新型廉价2-溴对苯二甲酸钝化材料对CsPbI3钙钛矿太阳电池性能的影响, 研究结果表明, 随着2-溴对苯二甲酸浓度的增加, 钙钛矿太阳电池的光电转换效率先增加后减少, 当钝化材料的浓度达到0.2 mg/mL时, CsPbI3电池获得最优转换效率13.5%. 通过对2-溴对苯二甲酸钝化后的钙钛矿薄膜进行相结构和微结构分析, 结果表明钝化并未引起钙钛矿薄膜的物相和微结构的变化, 但表面钝化显著提高了CsPbI3薄膜的荧光发射强度和TiO2/CsPbI3界面的电子传输能力. 本研究有望为钙钛矿太阳电池中应用的钝化材料的低成本开发提供基础依据.




