-
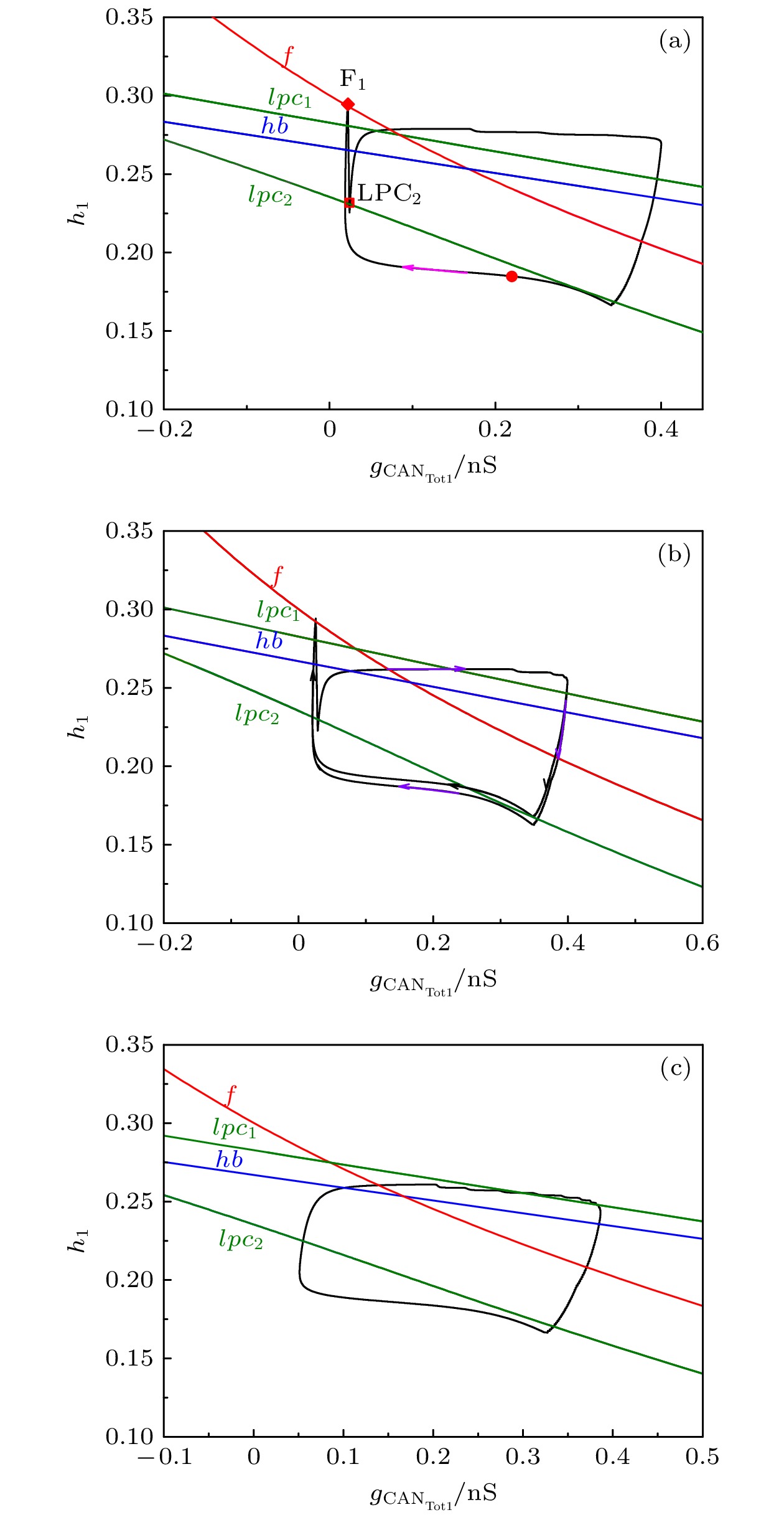
位于新生和成年哺乳动物延髓腹外侧区的前包钦格复合体被认为是呼吸节律产生的中枢. 正常状态下呼吸节律是均匀而整齐的, 而病理状态下呼吸节律会发生变化, 因此研究呼吸节律产生的动力学机制及其控制有重要意义. 本文基于前包钦格复合体中胞体-树突耦合神经元模型, 利用相平面分析、分岔分析、快慢动力学分析以及ISI (峰峰间期)分岔序列等方法, 研究了在钙离子动力学及 L IP3(内质网泄漏渗透率)的影响下, L IP3的变化对耦合前包钦格复合体神经元放电节律的重要影响, 并研究了模型中反相簇放电的模式及其转迁机制. 结果表明, 钙的周期性波动是混合簇放电产生的关键因素, 但不是混合簇放电产生的必要条件. 本文的研究方法也可以应用于其他多时间尺度的神经系统中.The pre-Bötzinger complex, which is located at a ventrolateral medulla of human and mammal, is considered to be the center for the generation of respiratory rhythms. In a normal state, the respiratory rhythm is uniform and orderly. Otherwise, the respiratory rhythm will change to a pathological state. Therefore, the monitoring of respiratory rhythm is of great significance in monitoring the health. In this paper, according to a two-coupled model of pre-Bötzinger complex with calcium ion current, we investigate the generation and transition mechanism of anti-phase bursting synchronization by using phase-plane analysis, bifurcation and fast-slow decomposition. It is found that the pre-Bötzinger complex model can exhibit mixed bursting when calcium ion concentration is at steady state, which indicates that the oscillation of calcium is not a necessary condition for the generation of mixed bursting. This is quite different from the results obtained in previous studies, indicating that the mixed bursting is caused by the periodic fluctuations of calcium. The methods used in this paper can provide a new idea for investigating the dynamics of mixed bursting, and it can also be applied to the study of other neuronal systems on a multiple time scale.
-
Keywords:
- pre-Bötzinger complex/
- mixed bursting/
- bifurcation/
- fast-slow analysis
[1] [2] [3] [4] [5] [6] [7] [8] [9] [10] [11] [12] [13] [14] [15] [16] [17] [18] [19] [20] [21] [22] [23] [24] [25] [26] [27] [28] [29] [30] [31] [32] [33] -
$[{{\rm{IP}} _3}]$的取值/
(μmol·L–1)${\rm{SNIC}}$ ${\rm{Hopf}}$ 稳定极限环所在
区域${L_{{\rm{I}}{{\rm{P}}_3}}}$$1 $ $0.2789$ $20.8584$ $[0.2789, 20.8584]$ $1.05$ $0.2239$ $19.3199$ $[0.2239, 19.3199]$ $1.1 $ $0.1842$ $17.6358$ $[0.1842, 17.6358]$ $1.2$ $0.1317$ $13.9694$ $[0.1317, 13.9694]$ 参数 参数值 参数 参数值 参数 参数值 ${C_{\rm{m}}}$ $ 21 \; {\rm{ {\text{μ} } F} }$ ${g_{{\rm{Na}}}}$ $28 \; {\rm{nS}}$ ${L_{{\rm{I}}{{\rm{P}}_3}}}$ ${\rm{varied, } } \;{\rm{PL} } \cdot { {\rm{s} }^{ - 1} }$ ${E_{{\rm{Na}}}}$ $50 \; {\rm{mV}}$ ${g_{\rm{K}}}$ $11.2 \; {\rm{nS}}$ ${P_{{\rm{I}}{{\rm{P}}_3}}}$ $31000 \; {\rm{PL}} \cdot {{\rm{s}}^{ - 1}}$ ${E_{\rm{K}}}$ $ - 85 \; {\rm{mV}}$ ${g_{{\rm{Nap}}}}$ $15 \; {\rm{nS}}$ ${K_{\rm{l}}}$ 1.0 μmol/L ${E_{\rm{L}}}$ $ - 58 \; {\rm{mV}}$ ${g_{ {\rm{tonic \text- e} } } }$ $0.4 \; {\rm{nS}}$ ${K_{\rm{a}}}$ 0.4 μmol/L ${E_{ {\rm{syn \text- e} } } }$ $0 \; {\rm{mV}}$ ${g_{{\rm{CAN}}}}$ $0.7 \; {\rm{nS}}$ ${V_{{\rm{SERCA}}}}$ $400 \; {\rm{aMol}} \cdot {{\rm{S}}^{ - 1}}$ ${\theta _m}$ $ - 34 \; {\rm{mV}}$ ${g_{ {\rm{syn \text- e} } } }$ $9 \; {\rm{nS}}$ ${E_{{\rm{SERCA}}}}$ 0.2 μmol/L ${\theta _n}$ $ - 29 \; {\rm{mV}}$ ${g_{\rm{L}}}$ $11.2 \; {\rm{nS}}$ $A$ $0.001 \; {({\rm{ {\text{μ} } mol} }/{\rm{L)} }^{ - 1} } \cdot {\rm{m} }{ {\rm{s} }^{ - 1} }$ ${\theta _{mp}}$ $ - 40\; {\rm{mV}}$ ${\sigma _{\rm{s}}}$ $ - 5 \; {\rm{mV}}$ ${K_{{\rm{d}}}}$ 0.4 μmol/L ${\theta _h}$ $ - 48 \; {\rm{mV}}$ ${\sigma _n}$ $ - 4 \;{\rm{mV}}$ ${K_{{\rm{CAN}}}}$ 0.74 μmol/L ${\alpha _{\rm{s}}}$ 0.2 ms-1 ${\sigma _{mp}}$ $ - 6 \; {\rm{mV}}$ ${n_{{\rm{CAN}}}}$ $0.97$ ${\bar \tau _{\rm{s}}}$ 5 ms ${\sigma _h}$ $5 \; {\rm{mV}}$ $[{\rm{I}}{{\rm{P}}_3}]$ varied, μmol/L ${\bar \tau _h}/\varepsilon $ 10000 ms ${\theta _s}$ $ - 10 \; {\rm{mV}}$ ${[{\rm{Ca}}]_{{\rm{Tot}}}}$ 1.25 μmol/L ${\bar \tau _n}$ 10 ms ${\sigma _m}$ $ - 5 \; {\rm{mV}}$ ${f_m}$ $0.000025 \; {\rm{P}}{{\rm{L}}^{ - 1}}$ $\sigma $ $0.185$ -
[1] [2] [3] [4] [5] [6] [7] [8] [9] [10] [11] [12] [13] [14] [15] [16] [17] [18] [19] [20] [21] [22] [23] [24] [25] [26] [27] [28] [29] [30] [31] [32] [33]
计量
- 文章访问数:4813
- PDF下载量:80
- 被引次数:0












下载:






