\begin{document}${}_ {n'}$\end{document} (\begin{document}$ {n'} $\end{document} = 2, 3, ···, 15)的磁矩进行了深入研究. 实验结果表明: 在同一外磁场下, 14种簇粒子(87Rb)\begin{document}${}_ {n'} $\end{document}的共振频率\begin{document}$f_ {n'}$\end{document}87Rb1的共振频率f *之间存在\begin{document}$f_ {n'} = f^*/{n'}$\end{document}的数值关系, 并且各簇粒子的磁矩值与振幅值均随\begin{document}$ n'  $\end{document}的大小和奇、偶性呈现不同性质的变化规律. 运用分子轨态理论通过87Rbn = 87Rbn – 1 + 87Rb联合原子簇构造模式, 给出14种簇粒子87Rbn (n = 2, 3, ···, 15)的基态和最低激发态的电子组态和分子态项型, 分析了各分子态的稳定性和发生可见塞曼效应的可能性. 进一步基于双原子分子磁矩公式计算, 发现当n = \begin{document}${n'} $\end{document}87Rbn的磁矩值与(87Rb)\begin{document}${}_ {n'} $\end{document}的磁矩值严格吻合(平均相对误差仅为0.6765%), 证实了(87Rb)\begin{document}${}_ {n'} $\end{document}87Rbn的对应关系."> - 必威体育下载

搜索

x

留言板

姓名
邮箱
手机号码
标题
留言内容
验证码

downloadPDF
引用本文:
Citation:

    邸淑红, 张阳, 杨会静, 伞星原, 刘会媛, 张素恒, 李繁麟, 太军君, 周春丽

    Experimental observation and theoretical analysis of spontaneous magnetic moment of Rb atom clusters

    Di Shu-Hong, Zhang Yang, Yang Hui-Jing, San Xing-Yuan, Liu Hui-Yuan, Zhang Su-Heng, Li Fan-Lin, Tai Jun-Jun, Zhou Chun-Li
    PDF
    HTML
    导出引用
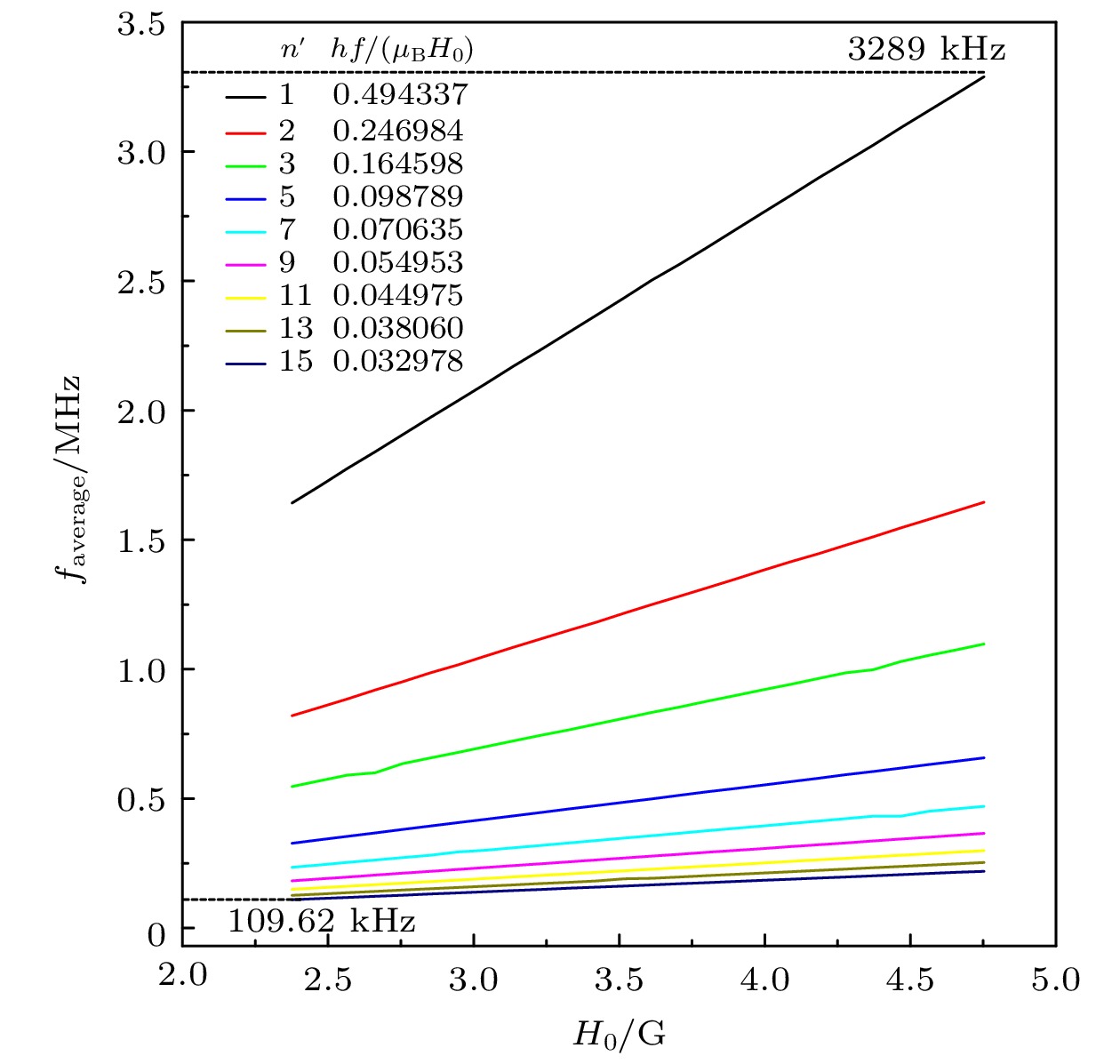
    • 在碱金属原子簇磁性的研究中, 存在自由原子簇含有的原子个数及其磁矩难以准确确定的问题, 本文采用光磁共振光谱检测手段, 对工作温度约为328 K的饱和铷蒸汽样品中单原子分子 87Rb 1和14种簇粒子 ( 87Rb) ${}_ {n'}$ ( $ {n'} $ = 2, 3, ···, 15)的磁矩进行了深入研究. 实验结果表明: 在同一外磁场下, 14种簇粒子( 87Rb) ${}_ {n'} $ 的共振频率 $f_ {n'}$ 87Rb 1的共振频率 f*之间存在 $f_ {n'} = f^*/{n'}$ 的数值关系, 并且各簇粒子的磁矩值与振幅值均随 $ n' $ 的大小和奇、偶性呈现不同性质的变化规律. 运用分子轨态理论通过 87Rb n= 87Rb n– 1+ 87Rb联合原子簇构造模式, 给出14种簇粒子 87Rb n( n= 2, 3, ···, 15)的基态和最低激发态的电子组态和分子态项型, 分析了各分子态的稳定性和发生可见塞曼效应的可能性. 进一步基于双原子分子磁矩公式计算, 发现当 n= ${n'} $ 87Rb n的磁矩值与( 87Rb) ${}_ {n'} $ 的磁矩值严格吻合(平均相对误差仅为0.6765%), 证实了( 87Rb) ${}_ {n'} $ 87Rb n的对应关系.
      For the magnetism of alkali metal clusters, it is difficult to determine the number of atoms and the magnetic moment of isolated atoms cluster. In this paper, we investigate the magnetic moment of single atomic molecule 87Rb 1and 14 kinds of cluster particles ( 87Rb) ${}_{n'} $ ( $n' $ = 2, 3, 4, ···, 15) in a saturated rubidium vapor sample at about 328 K, by using optical magnetic resonance spectroscopy. The experimental results show that there is a relationship f ${}_{n'} $ = f*/ $n' $ between the resonant frequencies f ${}_{n'} $ of 14 kinds of cluster particles ( 87Rb) ${}_{n'} $ and the resonant frequencies f* of 87Rb 1. The magnetic moment and their resonance amplitudes show two different relationships with the ${n'} $ odevity. When the particles have an odd number of 5s electrons, they must have spontaneous magnetic moment, and the value of magnetic moment increases with nand decreases inverse proportionally with the combined angular momentum Fof the cluster particles. The amplitude obtained from resonance spectrum complies with the variation law of magnetic moment value. On the other hand, for the cluster particles with nbeing even number, the magnetic moment value becomes 0 and the amplitude is also 0 in the most cases, except for the cluster particles 87Rb 2with n= 2 i.e. two 5s electrons, which is caused by the Jahn-Teller effect of the linear molecules, and the magnetic moment value is consistent with the calculation results of the odd number particles. When n> 2, the coupling effect between the magnetic moments of the Rb cluster shows a long-range ordered antiferromagnetic property with the increase of the number of 5s valence electrons n. The electron configuration and molecular state of the ground state and the lowest excited state of 14 kinds of 2—15 atoms cluster particles 87Rb n, as well as the stability of each molecular state and the possibility of visible Zeeman effect are obtained by using the molecular orbital-state theory analysis and constructing the 87Rb n–1+ 87Rb natomic cluster model. Furthermore, based on the magnetic moment of diatomic molecules ruler, it is found that when n= ${n'} $ , the magnetic moment of ( 87Rb) ${}_{n'} $ and 87Rb nare in strict consistency (the average relative error is only 0.6765%), confirming the corresponding relationship between ( 87Rb) ${}_{n'} $ and 87Rb n. This research will be of great value in the magnetic research of cluster particles.
        [1]

        [2]

        [3]

        [4]

        [5]

        [6]

        [7]

        [8]

        [9]

        [10]

        [11]

        [12]

        [13]

        [14]

        [15]

        [16]

        [17]

        [18]

        [19]

        [20]

        [21]

        [22]

        [23]

        [24]

      • ${n'} $为奇数粒子 ${n'} $ ${\bar g_{n'}}$ $\bar \mu {}_{n'}$/μB ${\bar A_{n'}}$/mV ${n'} $为偶数粒子 ${n'} $ ${\bar g_{n'}}$ $\bar \mu {}_{n'}$/μB ${\bar A_{n'}}$/mV
        87Rb1 1 0.494337 0.494337 1574.50 (87Rb)2′ 2 0.246984 0.246984 105.75
        (87Rb)3′ 3 0.164598 0.164598 883.07 (87Rb)4′ 4 0 0 0
        (87Rb)5′ 5 0.098789 0.098789 383.47 (87Rb)6′ 6 0 0 0
        (87Rb)7′ 7 0.070635 0.070635 188.70 (87Rb)8′ 8 0 0 0
        (87Rb)9′ 9 0.054953 0.054953 84.92 (87Rb)10′ 10 0 0 0
        (87Rb)11′ 11 0.044975 0.044975 48.62 (87Rb)12′ 12 0 0 0
        (87Rb)13′ 13 0.038060 0.038060 31.55 (87Rb)14′ 14 0 0 0
        (87Rb)15′ 15 0.032978 0.032978 12.63
        下载: 导出CSV

        团簇分子, 参考分子 基态电子组态和分子态及$ {\lambda }_{\text{合}}$和S 最低激发电子组态及其$ {\lambda }_{\text{合}}$和S(Hund(a)
        情形跃迁规则$\Delta \lambda =0, \pm 1$, $g\;\, \leftrightarrow u$,
        $ \Delta n = 0, \;\; \pm 1, ~\Delta S = 0$
        基态X与最低激发态A
        稳定性比较${P_{\rm{a}}} - {P_{\rm{b}}}$
        87Rb1 $ {\rm{KLMN}}_{\rm{spd}}(\sigma {}_{\rm{g}}\rm{5}\rm{s})$
        ${}^2{\Sigma _{\rm{u} } },$${\lambda }_{\text{合} }=0,$$S = 1/2$
        $ {\rm{KLMN}}_{\rm{spd}}({\text{π}}{}_{\rm{u}}{4}{\rm{d}})$
        ${}^2{\Pi _{\rm{u} } },$${\lambda }_{\text{合} }=1,$$S = 1/2$
        X: ${P_{\rm{a} } } - {P_{\rm{b} } } = 1/2$
        A: ${P_{\rm{a} } } - {P_{\rm{b} } } = 1/2$
        87Rb2
        85Rb2[14]
        ${({\rm{\sigma } }{}_{\rm{g} }5{\rm{s} })^2},$ ${}^1{{\Sigma } }_{\rm{g} }^ +,$ ${\lambda }_{\text{合} }=0,$$S = {{0}}$或
        [${\rm{(\sigma } }{}_{\rm{g} }{\rm{5s} })({ {\rm{\sigma } }_{\rm{u} } }{\rm{5 s)} } ,$ ${}^3{ {\Sigma } }_{\rm{u} }^{ + },$${\lambda }_{\text{合} }=0 ,$$S = {{1}}$]
        ${\rm{(\sigma }}{}_{\rm{g}}{\rm{5 s}})({{\text{π}}_{\rm{u}}}{\rm{4 d)}},$ ${}^1{{\Pi}_{\rm{u}}},$$ {\lambda }_{\text{合}}=1,$$S = {{0}}$或
        [${\rm{(\sigma } }{}_{\rm{u} }{\rm{5s} })({ {\text{π} }_{\rm{u} } }{\rm{4 d)} },$${}^3{{\Pi}_{\rm{g}}},$${\lambda }_{\text{合} }=1,$$S = {{1}}$]
        X: ${P_{\rm{a}}} - {P_{\rm{b}}} = 1 - 0 = 1$
        A: ${P_{\rm{a}}} - {P_{\rm{b}}} = 1 - 0 = 1$
        [X: ${P_{\rm{a} } } - {P_{\rm{b} } } = 1/2 - 1/2 = { {0} }$
        A: ${P_{\rm{a} } } - {P_{\rm{b} } } = 1/2 - 1/2 = { {0} }$]
        87Rb3 ${({\rm{\sigma } }{}_{\rm{g} }{\rm{5 s} })^{ {2} } }({ {\rm{\sigma } }_{\rm{u} } }{\rm{5 s)} } ,$
        ${}^2{{\Sigma } }_{\rm{u} }^ +,$${\lambda }_{\text{合} }=0,$$S = 1/2$
        ${\rm{(\sigma } }{}_{\rm{g} }{\rm{5 s)(} }{ {\rm{\sigma } }_{\rm{u} } }{\rm{5 s)(} }{ {\text{π} }_{\rm{u} } }{\rm{4 d)} },$
        ${}^2{ {\Pi}_{\rm{g} } },$${\lambda }_{\text{合} }=1,$$S = 1/2$
        X: ${P_{\rm{a} } } - {P_{\rm{b} } } = 1 - 1/2 = 1/2$
        A: ${P_{\rm{a} } } - {P_{\rm{b} } } = 1 - 1/2 = 1/2$
        87Rb4 ${({\rm{\sigma } }{}_{\rm{g} }{\rm{5 s)} }^{ {2} } }{({ {\rm{\sigma } }_{\rm{u} } }{\rm{5 s)} }^{ {2} } },$
        ${}^1{{\Sigma } }_{\rm{g} }^ +,$${\lambda }_{\text{合} }=0,$$S = {{0}}$
        ${\rm{(\sigma } }{}_{\rm{g} }{\rm{5 s)(} }{ {\rm{\sigma } }_{\rm{u} } }{\rm{5 s} }{ {\rm{)} }^{ {2} } }{\rm{(\pi } }{}_{\rm{u} }{\rm{4 d)} },$
        ${}^1{ {\Pi}_{\rm{u} } },$${\lambda }_{\text{合} }=1,$$S = {{0}}$
        X: ${P_{\rm{a}}} - {P_{\rm{b}}} = 1 - 1 = 0$
        A: ${P_{\rm{a}}} - {P_{\rm{b}}} = 1 - 1 = 0$
        87Rb5 ${ {\rm{(\sigma } }{}_{\rm{g} }{\rm{5 s)} }^2}{({ {\rm{\sigma } }_{\rm{u} } }{\rm{5 s)} }^2}({ {\rm{\sigma } }_{\rm{g} } }{\rm{4 d)} } ,$
        ${}^2{{\Sigma } }_{\rm{g} }^ + ,$${\lambda }_{\text{合} }=0,$$S = 1/2$
        ${ {\rm{(\sigma } }{}_{\rm{g} }{\rm{5 s)} }^2}{({ {\rm{\sigma } }_{\rm{u} } }{\rm{5 s)} }^2}{({ {\text{π} }_{\rm{u} } }{\rm{4 d)} }^1},$
        ${}^2{ {\Pi}_{\rm{u} } },$${\lambda }_{\text{合} }=1,$$S = 1/2$
        X: ${P_{\rm{a} } } - {P_{\rm{b} } } = 1\frac{1}{2} - 1 = 1/2$
        A: ${P_{\rm{a} } } - {P_{\rm{b} } } = 1\frac{1}{2} - 1 = 1/2$
        87Rb6 ${ {\rm{(\sigma } }{}_{\rm{g} }{\rm{5 s)} }^2}{({ {\rm{\sigma } }_{\rm{u} } }{\rm{5 s)} }^2}{({ {\rm{\sigma } }_{\rm{g} } }{\rm{4 d)} }^2},$
        ${}^1{{\Sigma } }_{\rm{g} }^ +,$${\lambda }_{\text{合} }=0,$$S = {{0}}$
        ${ {\rm{(\sigma } }{}_{\rm{g} }{\rm{5 s)} }^2}{({ {\rm{\sigma } }_{\rm{u} } }{\rm{5 s)} }^2}({ {\rm{\sigma } }_{\rm{g} } }{\rm{4 d)(} }{ {\text{π} }_{\rm{u} } }{\rm{4 d)} },$
        ${}^1{ {\Pi}_{\rm{u} } } ,$${\lambda }_{\text{合} }=1,$$S = {{0}}$
        X: ${P_{\rm{a}}} - {P_{\rm{b}}} = 2 - 1 = 1$
        A: ${P_{\rm{a}}} - {P_{\rm{b}}} = 2 - 1 = 1$
        87Rb7 ${ {\rm{(\sigma } }{}_{\rm{g} }{\rm{5 s)} }^2}{({ {\rm{\sigma } }_{\rm{u} } }{\rm{5 s)} }^2}{({ {\rm{\sigma } }_{\rm{g} } }{\rm{4 d)} }^2}({ {\text{π} }_{\rm{u} } }{\rm{4 d)} },$
        ${}^2{ {\Pi}_{\rm{u} } },$${\lambda }_{\text{合} }=1,$$S = 1/2$
        ${({\rm{\sigma } }{}_{\rm{g} }{\rm{5 s} })^2}{({ {\rm{\sigma } }_{\rm{u} } }{\rm{5 s)} }^2}{({ {\rm{\sigma } }_{\rm{g} } }{\rm{4 d)} }^1}{({ {\text{π} }_{\rm{u} } }{\rm{4 d)} }^2} ,$
        ${}^2{ {\Sigma } }_{\rm{g} }^ +,$${\lambda }_{\text{合} }=0,$$S = 1/2$; ${}^2{ { {\Delta } }_{\rm{g} } },$ ${\lambda }_{\text{合} }=2, S =1/2$
        X: ${P_{\rm{a} } } - {P_{\rm{b} } } = 2\frac{1}{2} - 1 = 1\frac{1}{2}$
        A: ${P_{\rm{a} } } - {P_{\rm{b} } } = 2\frac{1}{2} - 1 = 1\frac{1}{2}$
        87Rb8 ${({\rm{\sigma } }{}_{\rm{g} }{\rm{5 s} })^2}{({ {\rm{\sigma } }_{\rm{u} } }{\rm{5 s)} }^2}{({ {\rm{\sigma } }_{\rm{g} } }{\rm{4 d)} }^2}{({ {\text{π} }_{\rm{u} } }{\rm{4 d)} }^2},$
        ${}^1{{\Sigma } }_{\rm{g} }^ +,$${\lambda }_{\text{合} }=0,$$S = {{0}}$
        ${ {\rm{(\sigma } }{}_{\rm{g} }{\rm{5 s} })^2}{({ {\rm{\sigma } }_{\rm{u} } }{\rm{5 s)} }^2}{({ {\rm{\sigma } }_{\rm{g} } }{\rm{4 d)} }^1}{({ {\text{π} }_{\rm{u} } }{\rm{4 d)} }^3},$
        ${}^1{ {\Pi}_{\rm{u} } },$${\lambda }_{\text{合} }=1,$$S = {{0}}$
        X: ${P_{\rm{a}}} - {P_{\rm{b}}} = 3 - 1 = 2$
        A: ${P_{\rm{a}}} - {P_{\rm{b}}} = 3 - 1 = 2$
        87Rb9 ${ {\rm{(\sigma } }{}_{\rm{g} }{\rm{5 s} })^2}{({ {\rm{\sigma } }_{\rm{u} } }{\rm{5 s)} }^2}{({ {\rm{\sigma } }_{\rm{g} } }{\rm{4 d)} }^2}{({ {\text{π} }_{\rm{u} } }{\rm{4 d)} }^3},$
        ${}^2{ {\Pi}_{\rm{u} } } ,$${\lambda }_{\text{合} }=1,$$S = 1/2$
        ${ {\rm{(\sigma } }{}_{\rm{g} }{\rm{5 s} })^2}{({ {\rm{\sigma } }_{\rm{u} } }{\rm{5 s)} }^2}{({ {\rm{\sigma } }_{\rm{g} } }{\rm{4 d)} }^1}{({ {\text{π} }_{\rm{u} } }{\rm{4 d)} }^4},$
        ${}^2{{\Sigma } }_{\rm{g} }^ + ,$${\lambda }_{\text{合} }=0,$$S = 1/2$; ${}^2{ { {\Delta } }_{\rm{g} } },$ ${\lambda }_{\text{合} }=2, S = 1/2$
        X: ${P_{\rm{a} } } - {P_{\rm{b} } } = 3\frac{1}{2} - 1 = 2\frac{1}{2}$
        A: ${P_{\rm{a} } } - {P_{\rm{b} } } = 3\frac{1}{2} - 1 = 2\frac{1}{2}$
        87Rb10 ${({\rm{\sigma } }{}_{\rm{g} }{\rm{5 s} })^2}{({ {\rm{\sigma } }_{\rm{u} } }{\rm{5 s)} }^2}{({ {\rm{\sigma } }_{\rm{g} } }{\rm{4 d)} }^2}{({ {\text{π} }_{\rm{u} } }{\rm{4 d)} }^4},$
        ${}^1{{\Sigma } }_{\rm{g} }^ +,$${\lambda }_{\text{合} }=0,$$S = {{0}}$
        ${ {\rm{(\sigma } }{}_{\rm{g} }{\rm{5 s} })^2}{({ {\rm{\sigma } }_{\rm{u} } }{\rm{5 s)} }^1}{({ {\rm{\sigma } }_{\rm{g} } }{\rm{4 d)} }^2}{({ {\text{π} }_{\rm{u} } }{\rm{4 d)} }^4}{({ {\text{π} }_{\rm{g} } }{\rm{4 d)} }^1},$
        ${}^1{ {\Pi}_{\rm{u} } },$${\lambda }_{\text{合} }=1,$$S = {{0}}$
        X: ${P_{\rm{a}}} - {P_{\rm{b}}} = 4 - 1 = 3$
        A: ${P_{\rm{a}}} - {P_{\rm{b}}} = {\rm{4 - 1}} = {\rm{3}}$
        87Rb11 ${ {\rm{(\sigma } }{}_{\rm{g} }{\rm{5 s} })^2}{({ {\rm{\sigma } }_{\rm{u} } }{\rm{5 s)} }^2}{({ {\rm{\sigma } }_{\rm{g} } }{\rm{4 d)} }^2}{({ {\text{π} }_{\rm{u} } }{\rm{4 d)} }^4}{({ {\text{π} }_{\rm{g} } }{\rm{4 d)} }^1},$
        ${}^2{ {\Pi}_{\rm{g} } },$${\lambda }_{\text{合} }=1,$$S = 1/2$
        ${ {\rm{(\sigma } }{}_{\rm{g} }{\rm{5 s} })^2}{({ {\rm{\sigma } }_{\rm{u} } }{\rm{5 s)} }^1}{({ {\rm{\sigma } }_{\rm{g} } }{\rm{4 d)} }^2}{({ {\text{π} }_{\rm{u} } }{\rm{4 d)} }^4}{({ {\text{π} }_{\rm{g} } }{\rm{4 d)} }^2},$
        ${}^2{{\Sigma } }_{\rm{u} }^ + ,$${\lambda }_{\text{合} }=0,$$S = 1/2$; ${}^2{ { {\Delta } }_{\rm{g} } },$${\lambda }_{\text{合} }=2,$ $S = 1/2$
        X: ${P_{\rm{a} } } - {P_{\rm{b} } } = 4 - 1\frac{1}{2} = 2\frac{1}{2}$
        A: ${P_{\rm{a} } } - {P_{\rm{b} } } = 4 - 1\frac{1}{2} = 2\frac{1}{2}$
        87Rb12 ${ {\rm{(\sigma } }{}_{\rm{g} }{\rm{5 s} })^2}{({ {\rm{\sigma } }_{\rm{u} } }{\rm{5 s)} }^2}{({ {\rm{\sigma } }_{\rm{g} } }{\rm{4 d)} }^2}{({ {\text{π} }_{\rm{u} } }{\rm{4 d)} }^4}{({ {\text{π} }_{\rm{g} } }{\rm{4 d)} }^2} ,$
        ${}^1{{\Sigma } }_{\rm{g} }^ +,$${\lambda }_{\text{合} }=0,$$S = {{0}}$
        ${ {\rm{(\sigma } }{}_{\rm{g} }{\rm{5 s} })^2}{({ {\rm{\sigma } }_{\rm{u} } }{\rm{5 s)} }^1}{({ {\rm{\sigma } }_{\rm{g} } }{\rm{4 d)} }^2}{({ {\text{π} }_{\rm{u} } }{\rm{4 d)} }^4}{({ {\text{π} }_{\rm{g} } }{\rm{4 d)} }^3},$
        ${}^1{ {\Pi}_{\rm{u} } },$${\lambda }_{\text{合} }=1,$$S = {{0}}$
        X: ${P_{\rm{a}}} - {P_{\rm{b}}} = 4 - 2 = 2$
        A: ${P_{\rm{a}}} - {P_{\rm{b}}} = {\rm{4 - 2}} = {{2}}$
        87Rb13 ${ {\rm{(\sigma } }{}_{\rm{g} }{\rm{5 s} })^2}{({ {\rm{\sigma } }_{\rm{u} } }{\rm{5 s)} }^2}{({ {\rm{\sigma } }_{\rm{g} } }{\rm{4 d)} }^2}{({ {\text{π} }_{\rm{u} } }{\rm{4 d)} }^4}{({ {\text{π} }_{\rm{g} } }{\rm{4 d)} }^3},$
        ${}^2{ {\Pi}_{\rm{g} } },$${\lambda }_{\text{合} }=1,$$S = 1/2$
        ${ {\rm{(\sigma } }{}_{\rm{g} }{\rm{5 s} })^2}{({ {\rm{\sigma } }_{\rm{u} } }{\rm{5 s)} }^1}{({ {\rm{\sigma } }_{\rm{g} } }{\rm{4 d)} }^2}{({ {\text{π} }_{\rm{u} } }{\rm{4 d)} }^4}{({ {\text{π} }_{\rm{g} } }{\rm{4 d)} }^4},$
        ${}^2{ {\Pi}_{\rm{u} } } ,$${\lambda }_{\text{合} }=1,$$S = 1/2$
        X: ${P_{\rm{a} } } - {P_{\rm{b} } } = 4 - 2\frac{1}{2} = 1\frac{1}{2}$
        A: ${P_{\rm{a} } } - {P_{\rm{b} } } = 4 - 2\frac{1}{2} = 1\frac{1}{2}$
        87Rb14 ${ {\rm{(\sigma } }{}_{\rm{g} }{\rm{5 s} })^2}{({ {\rm{\sigma } }_{\rm{u} } }{\rm{5 s)} }^2}{({ {\rm{\sigma } }_{\rm{g} } }{\rm{4 d)} }^2}{({ {\text{π} }_{\rm{u} } }{\rm{4 d)} }^4}{({ {\text{π} }_{\rm{g} } }{\rm{4 d)} }^4},$
        ${}^1{{\Sigma } }_{\rm{g} }^ +,$${\lambda }_{\text{合} }=0,$$S = {{0}}$
        ${ {\rm{(\sigma } }{}_{\rm{g} }{\rm{5 s} })^2}{({ {\rm{\sigma } }_{\rm{u} } }{\rm{5 s)} }^2}{({ {\rm{\sigma } }_{\rm{g} } }{\rm{4 d)} }^2}{({ {\text{π} }_{\rm{u} } }{\rm{4 d)} }^4}{({ {\text{π} }_{\rm{g} } }{\rm{4 d)} }^3} ({ {\rm{\sigma } }_{\rm{u} } }{\rm{4 d)} },$
        ${}^1{ {\Pi}_{\rm{u} } },$${\lambda }_{\text{合} }=1,$$S = {{0}}$
        X: ${P_{\rm{a}}} - {P_{\rm{b}}} = 4 - 3 = 1$
        A: ${P_{\rm{a}}} - {P_{\rm{b}}} = 4 - 3 = 1$
        87Rb15 ${({\rm{\sigma } }{}_{\rm{g} }{\rm{5 s)} }^2}{({ {\rm{\sigma } }_{\rm{u} } }{\rm{5 s)} }^2}{({ {\rm{\sigma } }_{\rm{g} } }{\rm{4 d)} }^2}{({ {\text{π} }_{\rm{u} } }{\rm{4 d)} }^4}{({ {\text{π} }_{\rm{g} } }{\rm{4 d)} }^4}({ {\rm{\sigma } }_{\rm{u} } }{\rm{4 d)} },$
        ${}^2{{\Sigma } }_{\rm{u} }^ +,$${\lambda }_{\text{合} }=0,$$S = 1/2$
        ${({\rm{\sigma } }{}_{\rm{g} }{\rm{5 s} })^2}{({ {\rm{\sigma } }_{\rm{u} } }{\rm{5 s)} }^2}{({ {\rm{\sigma } }_{\rm{g} } }{\rm{4 d)} }^2}{({ {\text{π} }_{\rm{u} } }{\rm{4 d)} }^4}{({ {\text{π} }_{\rm{g} } }{\rm{4 d)} }^3}{({ {\rm{\sigma } }_{\rm{u} } }{\rm{4 d)} }^2},$${}^2{ {\Pi}_{\rm{g} } },$${\lambda }_{\text{合} }=1,$$S = 1/2$ X: ${P_{\rm{a} } } - {P_{\rm{b} } } = 4-3\frac{1}{2} = \frac{1}{2}$
        A: ${P_{\rm{a} } } - {P_{\rm{b} } } = 4-3\frac{1}{2} = \frac{1}{2}$
        注: 表中电子组态仅87Rb1的基态和激发态标出了闭壳层KLMNspd, 其他粒子没有重复标出闭壳层KLMNspd.
        下载: 导出CSV

        n为奇数
        的簇分子
        n为奇数的
        分子项
        5s价电子
        个数
        $\bar \mu {}_n$/μB ${\bar g_n}$ n为偶数
        的簇分子
        n为偶数的
        分子项
        5s价电
        子个数
        $\bar \mu {}_n$/μB ${\bar g_n}$
        87Rb1 ${}^2{\Pi _{\rm{u}}}$ 1 $1/2$ $1/2$ 87Rb2 ${}^2{\Pi _{\rm{g}}}$ 2 $1/4$ $1/4$
        87Rb3 ${}^2{\Pi _{\rm{g}}}$ 3 $1/6$ $1/6$ 87Rb4 ${}^2{\Pi _{\rm{u}}}$ 4 0 0
        87Rb5 ${}^2{\Pi _{\rm{u}}}$ 5 $1/10$ $1/10$ 87Rb6 ${}^2{\Pi _{\rm{u}}}$ 6 0 0
        87Rb7 ${}^2{\Pi _{\rm{u}}}$ 7 $1/14$ $1/14$ 87Rb8 ${}^1{\Pi _{\rm{u}}}$ 8 0 0
        87Rb9 ${}^2{\Pi _{\rm{u}}}$ 9 $1/18$ $1/18$ 87Rb10 ${}^2{\Pi _{\rm{u}}}$ 10 0 0
        87Rb11 ${}^2{\Pi _{\rm{g}}}$ 11 $1/22$ $1/22$ 87Rb12 ${}^2{\Pi _{\rm{u}}}$ 12 0 0
        87Rb13 ${}^2{\Pi _{\rm{g}}}$ 13 $1/26$ $1/26$ 87Rb14 ${}^2{\Pi _{\rm{u}}}$ 14 0 0
        87Rb15 ${}^2{\Pi _{\rm{g}}}$ 15 $1/30$ $1/30$
        下载: 导出CSV

        团簇
        87Rbn
        n $\bar \mu {}_n$/μB 团簇
        (87Rb)${}_{n'} $
        $n'$ $\bar \mu {}_{n'}$/μB 磁矩的相对误差% ${\bar A_{n'} }$/mV ${\bar A_{n'}}$与${\bar A_n}$
        比较
        87Rb1 1 $1/2$ 87Rb1 1 0.494337 1.1326 1574.50 一致
        87Rb2 2 $1/4$ (87Rb)2′ 2 0.246984 1.2063 105.75 线性分子简并态
        87Rb3 3 $1/6$ (87Rb)3′ 3 0.164598 1.2411 883.07 一致
        87Rb4 4 0 (87Rb)4′ 4 0 0 0 0
        87Rb5 5 $1/10$ (87Rb)5′ 5 0.098789 1.2110 383.47 一致
        87Rb6 6 0 (87Rb)6′ 6 0 0 0 0
        87Rb7 7 $1/14$ (87Rb)7′ 7 0.070635 1.1042 188.70 一致
        87Rb8 8 0 (87Rb)8′ 8 0 0 0 0
        87Rb9 9 $1/18$ (87Rb)9′ 9 0.054953 1.0843 84.92 一致
        87Rb10 10 0 (87Rb)10′ 10 0 0 0 0
        87Rb11 11 $1/22$ (87Rb)11′ 11 0.044975 1.0556 48.62 一致
        87Rb12 12 0 (87Rb)12′ 12 0 0 0 0
        87Rb13 13 $1/26$ (87Rb)13′ 13 0.038060 1.0467 31.55 一致
        87Rb14 14 0 (87Rb)14′ 14 0 0 0 0
        87Rb15 15 $1/30$ (87Rb)15′ 15 0.032978 1.0658 12.63 一致
        15种簇粒子(87Rb)${}_{n'} $与87Rbn的磁矩相对误差均值为: 0.6765%
        9种磁矩不为0的簇粒子(87Rb)${}_{n'} $与87Rbn的磁矩相对误差均值为: 1.1275%
        下载: 导出CSV
      • [1]

        [2]

        [3]

        [4]

        [5]

        [6]

        [7]

        [8]

        [9]

        [10]

        [11]

        [12]

        [13]

        [14]

        [15]

        [16]

        [17]

        [18]

        [19]

        [20]

        [21]

        [22]

        [23]

        [24]

      • [1] 邸淑红, 张阳, 杨会静, 崔乃忠, 李艳坤, 刘会媛, 李伶利, 石凤良, 贾玉璇.铷簇同位素效应的量化研究. 必威体育下载 , 2023, 72(18): 182101.doi:10.7498/aps.72.20230778
        [2] 曹奔, 关利南, 古华光.兴奋性作用诱发神经簇放电个数不增反降的分岔机制. 必威体育下载 , 2018, 67(24): 240502.doi:10.7498/aps.67.20181675
        [3] 邢伟, 孙金锋, 施德恒, 朱遵略.AlH+离子5个-S态和10个态的光谱性质以及激光冷却的理论研究. 必威体育下载 , 2018, 67(19): 193101.doi:10.7498/aps.67.20180926
        [4] 王梦, 白金海, 裴丽娅, 芦小刚, 高艳磊, 王如泉, 吴令安, 杨世平, 庞兆广, 傅盘铭, 左战春.铷原子耦合光频率近共振时的电磁感应透明. 必威体育下载 , 2015, 64(15): 154208.doi:10.7498/aps.64.154208
        [5] 尹柏强, 何怡刚, 吴先明.心磁信号广义S变换域奇异值分解滤波方法. 必威体育下载 , 2013, 62(14): 148702.doi:10.7498/aps.62.148702
        [6] 杨艳, 姬中华, 元晋鹏, 汪丽蓉, 赵延霆, 马杰, 肖连团, 贾锁堂.超冷铷铯极性分子振转光谱的实验研究. 必威体育下载 , 2012, 61(21): 213301.doi:10.7498/aps.61.213301
        [7] 韩光, 羌建兵, 王清, 王英敏, 夏俊海, 朱春雷, 全世光, 董闯.源于团簇-共振模型的理想金属玻璃电子化学势均衡. 必威体育下载 , 2012, 61(3): 036402.doi:10.7498/aps.61.036402
        [8] 张秀荣, 吴礼清, 饶倩.(OsnN)0,(n=16)团簇电子结构与光谱性质的理论研究. 必威体育下载 , 2011, 60(8): 083601.doi:10.7498/aps.60.083601
        [9] 张秀荣, 高从花, 吴礼清, 唐会帅.WnNim(n+m≤7; m=1, 2)团簇电子结构与光谱性质的理论研究. 必威体育下载 , 2010, 59(8): 5429-5438.doi:10.7498/aps.59.5429
        [10] 刘世炳, 刘院省, 何润, 陈涛.纳秒激光诱导铜等离子体中原子激发态 5s' 4D7/2的瞬态特性研究. 必威体育下载 , 2010, 59(8): 5382-5386.doi:10.7498/aps.59.5382
        [11] 金晓林, 黄桃, 廖平, 杨中海.电子回旋共振放电中电子与微波互作用特性的粒子模拟和蒙特卡罗碰撞模拟. 必威体育下载 , 2009, 58(8): 5526-5531.doi:10.7498/aps.58.5526
        [12] 杨 柳, 殷春浩, 焦 扬, 张 雷, 宋 宁, 茹瑞鹏.掺入Ni元素的LiCoO2晶体光谱结构及电子顺磁共振g因子. 必威体育下载 , 2006, 55(4): 1991-1996.doi:10.7498/aps.55.1991
        [13] 方 芳, 蒋 刚, 王红艳.PdnPbm(n+m≤5)混合团簇的结构与光谱性质. 必威体育下载 , 2006, 55(5): 2241-2248.doi:10.7498/aps.55.2241
        [14] 陈 卓, 何 威, 蒲以康.电子回旋共振氩等离子体中亚稳态粒子数密度及电子温度的测量. 必威体育下载 , 2005, 54(5): 2153-2157.doi:10.7498/aps.54.2153
        [15] 陈张海, 胡灿明, 陈建新, 史国良, 刘普霖, 沈学础, 李爱珍.赝形InxGa1-xAs/In0.52Al0.48As异质结构中二维电子气的回旋共振光谱研究. 必威体育下载 , 1998, 47(6): 1018-1025.doi:10.7498/aps.47.1018
        [16] 张 群, 束继年, 谢鲤荔, 戴静华, 张立敏, 李全新.SF2自由基3d,5s里德伯态的实验确认. 必威体育下载 , 1998, 47(11): 1776-1782.doi:10.7498/aps.47.1776
        [17] 林尊琪, 陈文华, 余文炎, 谭维翰, 郑玉霞, 王关志, 顾敏, 章辉煌, 程瑞华, 崔季秀, 邓锡铭.MgⅪ 1s3p-1s4p能级间平均高温及高密度条件下的粒子数反转. 必威体育下载 , 1988, 37(8): 1236-1243.doi:10.7498/aps.37.1236
        [18] 孙鑫, 陆埮, 罗辽复.“磁氢原子”的光谱. 必威体育下载 , 1978, 27(4): 430-438.doi:10.7498/aps.27.430
        [19] 罗辽复, 陆埮.高能正负电子对的湮没与超窄共振ψ粒子的作用. 必威体育下载 , 1975, 24(2): 145-150.doi:10.7498/aps.24.145
        [20] 方守贤, 魏开煜.螺旋线迴旋加速器中粒子流通过非线性共振线(Qρ=(6/5))的研究. 必威体育下载 , 1964, 20(7): 636-642.doi:10.7498/aps.20.636
      计量
      • 文章访问数:5313
      • PDF下载量:45
      • 被引次数:0
      出版历程
      • 收稿日期:2021-01-06
      • 修回日期:2021-01-25
      • 上网日期:2021-06-17
      • 刊出日期:2021-06-20

        返回文章
        返回