-
二维磁性材料的研究推动了现代纳米电子器件的发展. 寻找本征的具有磁性的层状材料, 为探索研究新的二维磁性材料、制备二维电子器件提供了重要的材料基础. 近来, 本征二维反铁磁拓扑材料的发现引起了人们的广泛关注和兴趣.
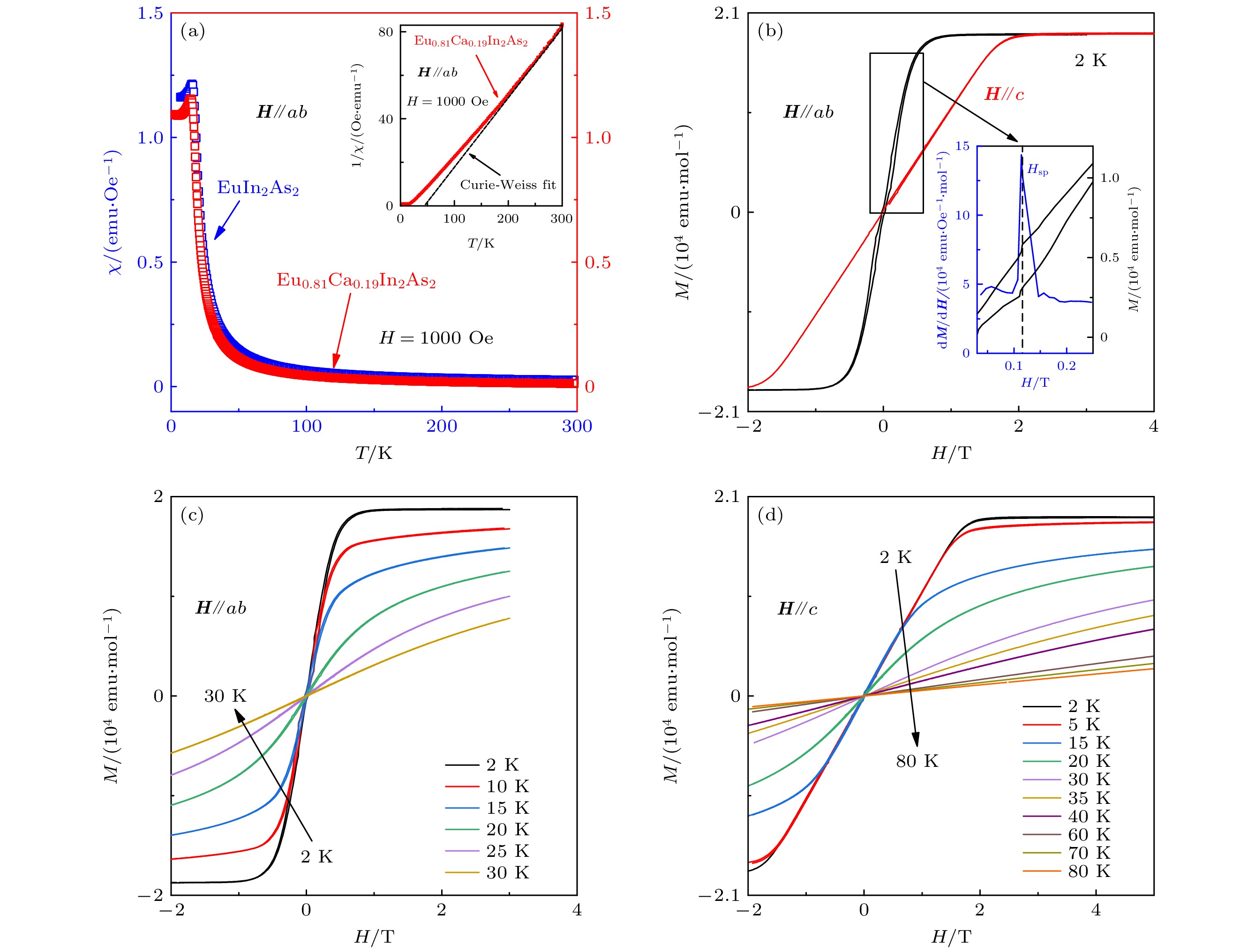
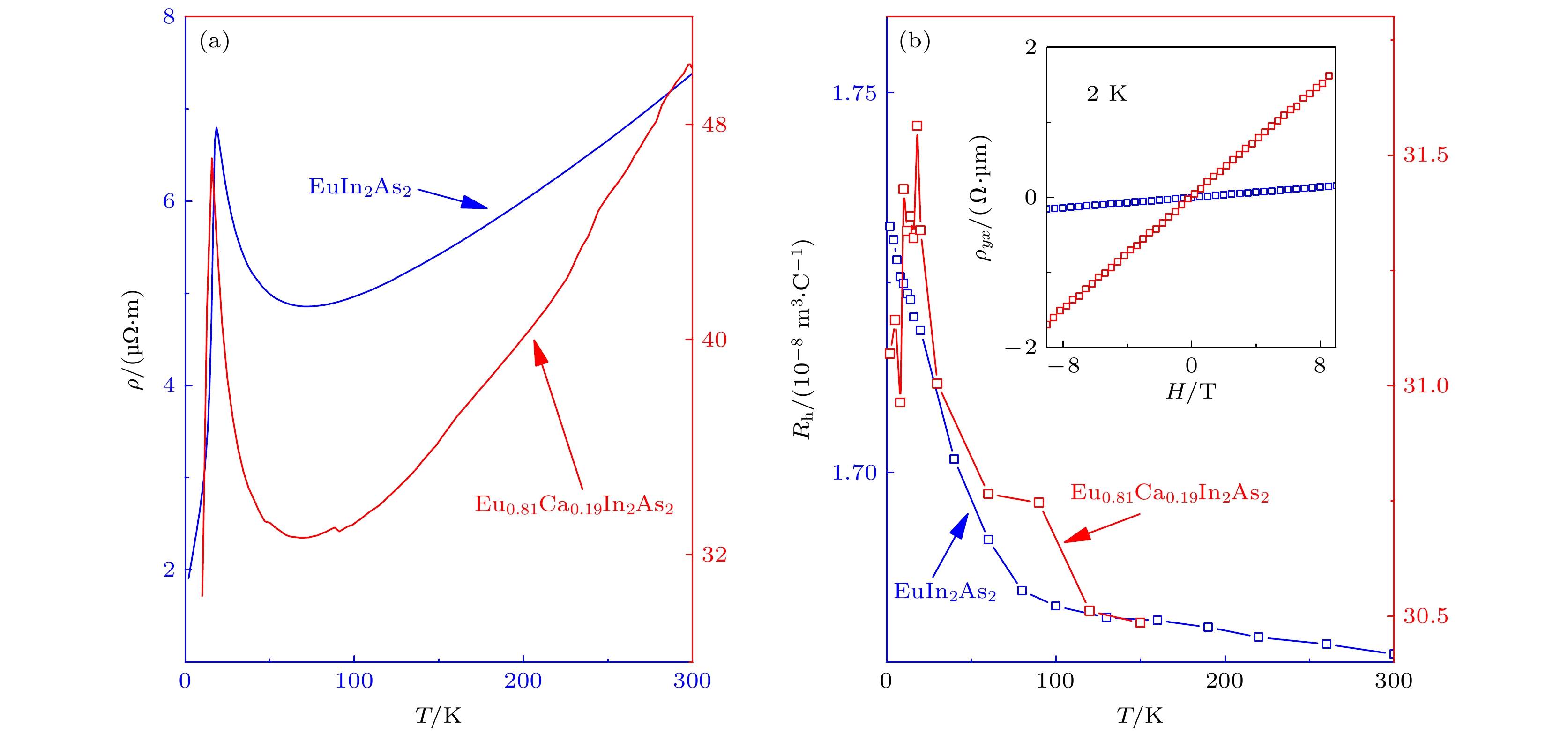
$ {\rm{EuIn}}_{2}{\rm{As}}_{2} $ 被预言是一种轴子拓扑绝缘材料, 它具有典型的反铁磁序和层状的晶体结构, 其潜在的多种拓扑量子效应可以为未来新型电子学器件提供新的发展思路. 实验结果表明$ {\rm{EuIn}}_{2}{\rm{As}}_{2} $ 处于金属态, 而非绝缘态. 本文通过掺杂Ca来调节体系的费米能级和磁性, 发现$ {\rm{E}}{{\rm{u}}_{1 - x}}{\rm{C}}{{\rm{a}}_x}{\rm{I}}{{\rm{n}}_2}{\rm{A}}{{\rm{s}}_2} $ 中仍然存在与母体类似的长程反铁磁的结果. 反铁磁矩沿面内方向, 符合理论预言的轴子态磁结构. 在反铁磁转变温度以上发现了铁磁极化子. 由此可见, 非磁性杂质掺杂对体系的磁性影响不大, 但是载流子浓度却降低了一个数量级, 费米能级沿电子型方向进行调制. 本文的研究为在二维磁性材料中探索和诱导非平庸拓扑态提供了重要信息.The study of two-dimensional (2D) magnetic materials has driven the development of modern nano-electronic devices. Exploration of novel intrinsic layered materials with 2D magnetic order will provide a material candidate pool for fabricating 2D devices and searching for new quantum phases. Recently the layered antiferromagnetic (AF) topological insulators have aroused the great interest of researchers. As one of the proposed axion insulators, EuIn 2As 2exhibits a layered structure and 2D AF order. It is found that the parent compound EuIn 2As 2exhibits metallic behavior instead of the predicted insulating feature. To pursuit the predicted non-trivial topological state and novel feature, in this paper, we use various elements to dope the system to adjust the Fermi level. It is found that only Ca is successfully doped into the EuIn 2As 2system. The systematic transport and magnetization studies are performed on the single crystal of Eu 1–xCa xIn 2As 2. The long-range AF order is revealed to be similar to the parent compound. Above the AF transition, the magnetization violated Curie-Weiss behavior and magnetoresistance keeps negative, indicating the ferromagnetic order. With doping nearly 20% non-magnetic Ca, the magnetic properties of the system barely change, which is favorable to keeping the former predicted nontrivial topological properties in EuIn 2As 2. Although Ca shares the same valence with Eu, the carrier density of Eu 1–xCa xIn 2As 2is one order lower than that of EuIn 2As 2. The Ca doping brings electrons in and lifts the Fermi level. The results enrich the 2D magnetic material candidate pool and provide useful information for realizing the nontrivial topological state in the 2D AF system.[1] [2] [3] [4] [5] [6] [7] [8] [9] [10] [11] [12] [13] [14] [15] [16] [17] [18] [19] [20] [21] [22] [23] [24] [25] [26] [27] [28] [29] [30] [31] [32] [33] [34] [35] [36] [37] -
掺杂的
元素被替换
的元素配比(助熔剂均为In)
(以下配比含助熔剂)结晶结果(XRD测量结果) 掺杂结果(SEM测量结果) Ga In Eu∶In∶Ga∶As = 1∶11.6∶0.4∶3 生长出$ {\rm{Eu}}{\rm{Ga}}_{2}{\rm{As}}_{2} $结构的单晶 Eu∶In∶Ga∶As = 19.24∶18.62∶21.01:41.13 Cd In Eu∶In∶Cd∶As = 1∶11.6∶0.4∶3 生长出$ {\rm{Eu}}{\rm{Cd}}_{2}{\rm{As}}_{2} $结构的单晶 Eu∶In∶Cd∶As = 20.09∶38.18∶0∶41.78 Zn In Eu∶In∶Zn∶As = 1∶11.6∶0.4∶3 生长出$ {\rm{Eu}}{\rm{Zn}}_{2}{\rm{As}}_{2} $结构的单晶 Eu∶In∶Zn∶As = 19.58∶39.41∶0∶41.01 Sn In Eu∶In∶Sn∶As = 1∶11.6∶0.4∶3 生长出$ {\rm{Eu}}{\rm{In}}_{2}{\rm{As}}_{2} $结构的单晶 Eu∶In∶Sn∶As = 19.09∶39.02∶1.36∶40.54 Ag In Eu∶In∶Ag∶As = 1∶11.6∶0.4∶3 生长出$ {\rm{Eu}}{\rm{In}}_{2}{\rm{As}}_{2} $结构的单晶 Eu∶In∶Ag∶As = 19.42∶37.83∶0.36∶42.40 Ca Eu Eu∶Ca∶In∶As = 0.8∶0.2∶12∶3 生长出$ {\rm{Eu}}_{0.81}{\rm{Ca}}_{0.19}{\rm{In}}_{2}{\rm{As}}_{2} $结构的单晶 Eu∶Ca∶In∶As = 16.23∶3.70∶38.08∶41.99 Sm Eu Eu∶Sm∶In∶As = 0.8∶0.2∶12∶3 生长出$ {\rm{Eu}}{\rm{In}}_{2}{\rm{As}}_{2} $结构的单晶 Eu∶Sm∶In∶As = 19.54∶0∶37.89∶42.56 Sb As Eu∶In∶As∶Sb = 1∶12∶2.4∶0.6 生长出$ {\rm{Eu}}{\rm{In}}_{2}{\rm{As}}_{2} $结构的单晶 Eu∶In∶As∶Sb = 19.37∶38.49∶42.14∶0 P As Eu∶In∶As∶P = 1∶12∶2.4∶0.6 生长出$ {\rm{Eu}}{\rm{In}}_{2}{\rm{As}}_{2} $结构的单晶 Eu∶In∶As∶P = 19.16∶39.08∶41.76∶0 -
[1] [2] [3] [4] [5] [6] [7] [8] [9] [10] [11] [12] [13] [14] [15] [16] [17] [18] [19] [20] [21] [22] [23] [24] [25] [26] [27] [28] [29] [30] [31] [32] [33] [34] [35] [36] [37]
计量
- 文章访问数:6525
- PDF下载量:562
- 被引次数:0












下载:


