-
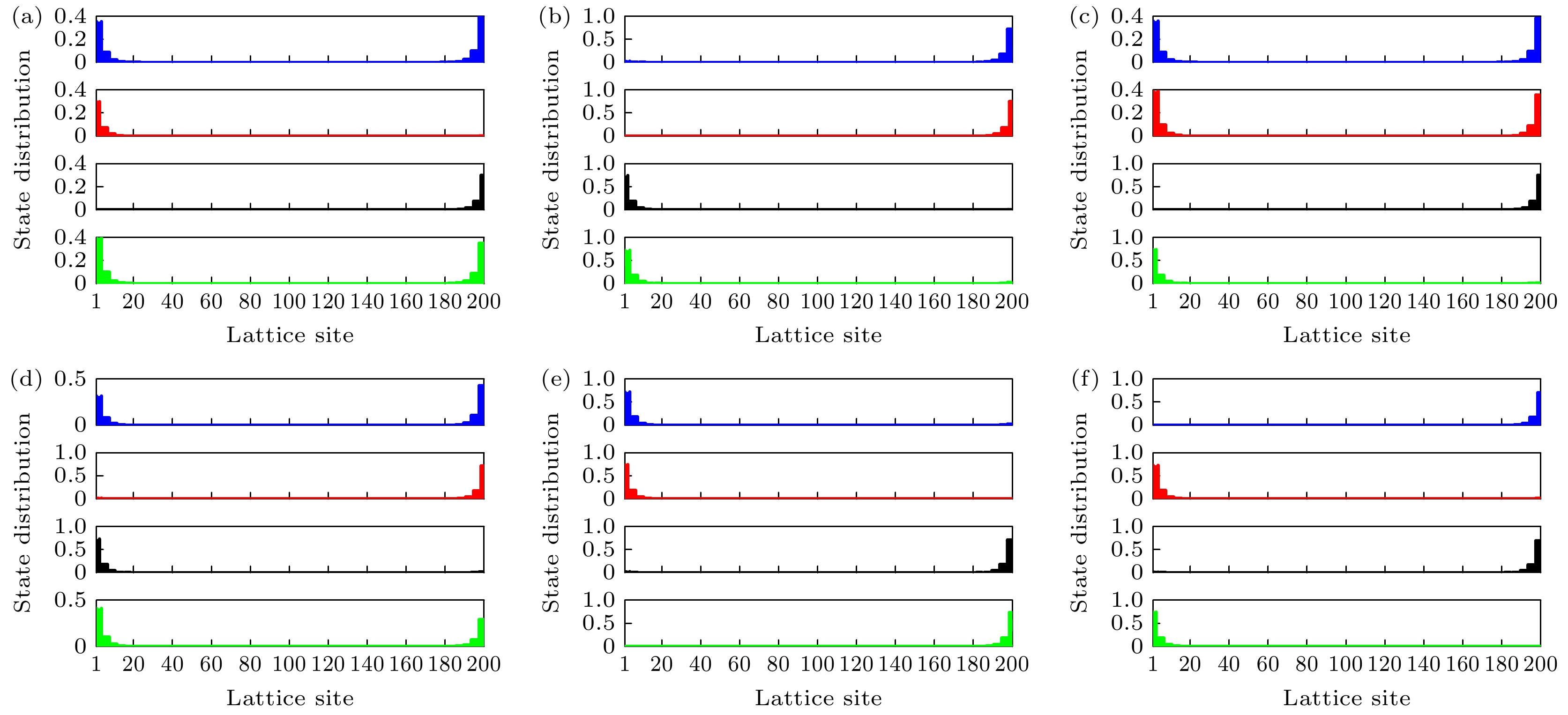
提出了基于超导微波腔的一维晶格理论方案, 其中包含两种不同的微波腔晶胞, 通过磁通量子比特调控晶胞之间的耦合, 使反旋波项与拓扑超导体中的p-波超导配对项相映射, 实现具有p-波超导配对项的一维超导微波腔晶格系统, 进而模拟和研究其中的拓扑绝缘体特性. 结果发现, p-波超导配对项可以对系统的拓扑量子态进行调制, 可以实现四个边缘态的拓扑量子信息传输通道. 此外, 当p-波超导配对项和次近邻作用调制时, 可以发现能带发生波动现象, 从而诱导产生新的能带, 但边缘态的简并性保持稳定, 这可以实现多个拓扑量子态传输路径; 然而, 当调控超过阈值时, 系统的能隙将闭合, 使边缘态湮灭在新的能带中. 另外, 当考虑系统存在缺陷时, 可以发现缺陷强度较小时, 边缘态产生微小的波动, 但可以清晰地区分, 说明其具有鲁棒性; 当缺陷强度超过阈值时, 边缘态和能带将导致无规则波动, 使边缘态融入能带中. 本文的研究结果具有重要的理论价值和实际意义, 未来可以应用在量子光学和量子信息处理中.In this work, a one-dimensional lattice theory scheme is proposed based on superconducting microwave cavity, which includes two different types of microwave cavity unit cells. The coupling between the unit cells is controlled by flux qubits to simulate and study their topological insulator characteristics. Specifically, by mapping the counter-rotating wave terms into the p-wave superconducting pairing term, a one-dimensional superconducting microwave cavity lattice scheme with a p-wave superconducting pairing term is obtained. It is found that the p-wave superconducting pairing term can modulate the topological quantum state of the system, allowing the topological quantum information transmission channels with four edge states to be created. In addition, when the p-wave superconducting pairing term interacts with the nearest-neighbor, the energy band undergoes fluctuations, thus inducing new energy bands to be generated, but the degeneracy of the edge states remains stable, which can realize the multiple topological quantum state transmission paths. However, when its regulation exceeds the threshold, the energy gap of the system will close, causing the edge states to annihilate in a new energy band. Furthermore, with defects considered to exist in the system, when the strength of the defect is small, the edge state produces small fluctuations, but it can be clearly distinguished, showing its robustness. When the strength of the defect exceeds the threshold, the edge state and energy band will cause irregular fluctuations, allowing the edge state to integrate into an energy band. Our research results have important theoretical value and practical significance, and can be applied to quantum optics and quantum information processing in the future.
[1] [2] [3] [4] [5] [6] [7] [8] [9] [10] [11] [12] [13] [14] [15] [16] [17] [18] [19] [20] [21] [22] [23] [24] [25] [26] [27] [28] [29] [30] [31] [32] [33] [34] [35] [36] [37] [38] [39] [40] [41] [42] -
[1] [2] [3] [4] [5] [6] [7] [8] [9] [10] [11] [12] [13] [14] [15] [16] [17] [18] [19] [20] [21] [22] [23] [24] [25] [26] [27] [28] [29] [30] [31] [32] [33] [34] [35] [36] [37] [38] [39] [40] [41] [42]
计量
- 文章访问数:1271
- PDF下载量:85
- 被引次数:0












下载:







