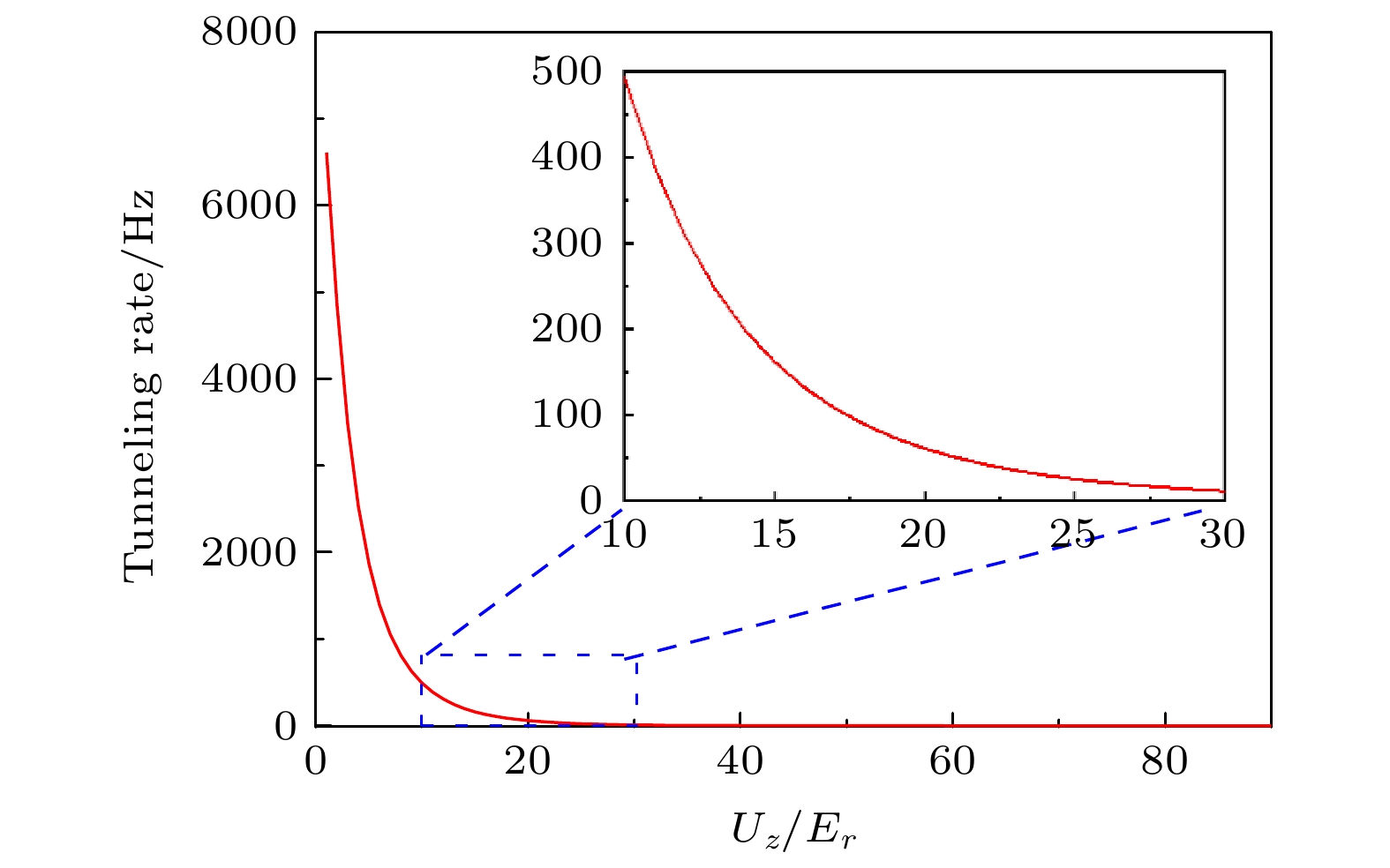
For a one-dimensional optical lattice clock built in the horizontal direction, when the stability and uncertainty of the system reach the order of 10
–18or more, the clock frequency shift caused by the quantum tunneling effect becomes not negligible. In the shallow optical lattice, the quantum tunneling effect will cause the clock transition spectrum to be significantly broadened. So, in this paper the quantum tunneling phenomenon in the shallow optical lattice is studied, laying a foundation for the evaluation of uncertainty of
87Sr atomic optical lattice clock system. In this experiment, on the platform of one-dimensional
87Sr atomic optical lattice clock, the narrow-linewidth
1S
0(
$ \left|g \right\rangle $
)→
3P
0(
$ \left|e \right\rangle $
) transition (that is, the clock transition) is excited by an ultra-stable and ultra-narrow linewidth 698 nm laser, and the distribution of strontium atoms in a specific quantum state is prepared. In the deep optical lattice, after the cold
87Sr atoms in preparation reach a
$ \left|e,{n}_{z}=1 \right\rangle $
state, the lattice depth of the optical lattice is adiabatically reduced. Then, the carrier-sideband resolved clock transition spectral line is detected in the shallow optical lattice. The obvious splitting of the carrier spectral line is observed from the clock transition spectral line, which indicates that the strontium atom has an obvious quantum tunneling phenomenon between the adjacent lattice sites of the optical lattice. In addition, when the lattice potential lattice depth is reduced, owing to the incommensurability of lattice light wavelength (813 nm) and clock laser wavelength (698 nm), the tunneling of atoms between adjacent lattice points will lead to spin-orbit coupling effect. Owing to the exceptionally long lifetime (120(3) s) of
3P
0state, it can not only suppress the decoherence, but also reduce the atomic loss rate caused by spontaneous emission. This has a natural advantage for studying the spin-orbit coupling of fermions. Therefore, the understanding of quantum tunneling mechanism in optical lattice is not only conducive to improving the uncertainty of the
87Sr atomic optical lattice clock, but also lays the foundation for observing the spin-orbit coupling effect of fermions on this platform.