-
气-液-固三相流混合过程是一个复杂的多重流固耦合动力学问题, 颗粒参数与流道物理空间尺度之间的关系直接影响计算收敛性, 强剪切区域的流固双向耦合作用数值建模与网格处理具有较高难度. 针对上述问题, 提出了一种气-液-固三相流混合的建模与求解方法. 基于流体体积-离散单元耦合模型, 建立考虑颗粒运动的三相动力学模型, 通过求解动量方程, 实现两相流体与颗粒的双向耦合. 自主开发用户自定义函数(UDF)通信接口, 得到流体与颗粒间的相互作用力, 提出了一种多孔相间耦合解法来描述颗粒运动轨迹. 以带强剪切的三相流混合过程为例, 使用该方法研究了不同充气条件对流道物理空间内自由表面、速度分布和颗粒悬浮特性的影响规律. 结果表明, 强剪切和壁面作用可以将流体的切向速度转化为轴向和径向的速度; 选择合适的充气速度可以消除自由液面的不稳定性; 增加流体的流动速度, 对于部分区域颗粒的悬浮提升作用有限. 研究结果可为复杂多相流相间作用机理研究提供有益借鉴, 也可为气-液-固三相颗粒混合生产调控提供技术支持.
-
关键词:
- 三相流/
- 固体颗粒/
- 流体体积-离散单元耦合/
- 强剪切
The mixing process of gas-liquid-solid three-phase flow is a complex multi-fluid-structure coupling dynamic problem. The relationship between the particle parameters and the physical spatial scale of the flow channel directly affects the calculation convergence. Numerical modeling and mesh processing of fluid-structure bidirectional interaction in the strong shear zone are difficult. Aiming at the above problems, a method of modeling and solving the gas-liquid-solid three-phase flow mixing is proposed. Based on the volume-of-fluid coupled with discrete-element-method model, a three-phase dynamic model considering particle motion is established. By solving the momentum equation, the bidirectional coupling of two-phase fluid and particle is realized. The user-defined function communication interface is developed independently to obtain the interaction force between fluid and particles, and a porous-interphase coupling solution is proposed to describe the trajectory of particles. Taking the mixing process of three-phase flow with strong shear for example, this method is used to study the influence of different aeration conditions on the free surface, velocity distribution and particle suspension characteristics in the physical space of the flow channel. The results show that strong shear and wall action can convert the tangential velocity of the fluid into axial and radial velocity; choosing an appropriate inflation velocity can eliminate the instability of the free surface and increasing the flow velocity of the fluid has a limited effect on the suspension of particles in some areas. The research results can provide a useful reference for studying the interaction mechanism of complex multiphase flow, and also provide technical support for the mixing production control of gas-liquid-solid three-phase particles.-
Keywords:
- three-phase flow/
- solid particles/
- volume of fluid-discrete element method coupling/
- strong shear
[1] [2] [3] [4] [5] [6] [7] [8] [9] [10] [11] [12] [13] [14] [15] [16] [17] [18] [19] [20] [21] [22] [23] [24] [25] [26] [27] [28] [29] [30] [31] [32] [33] [34] [35] [36] -
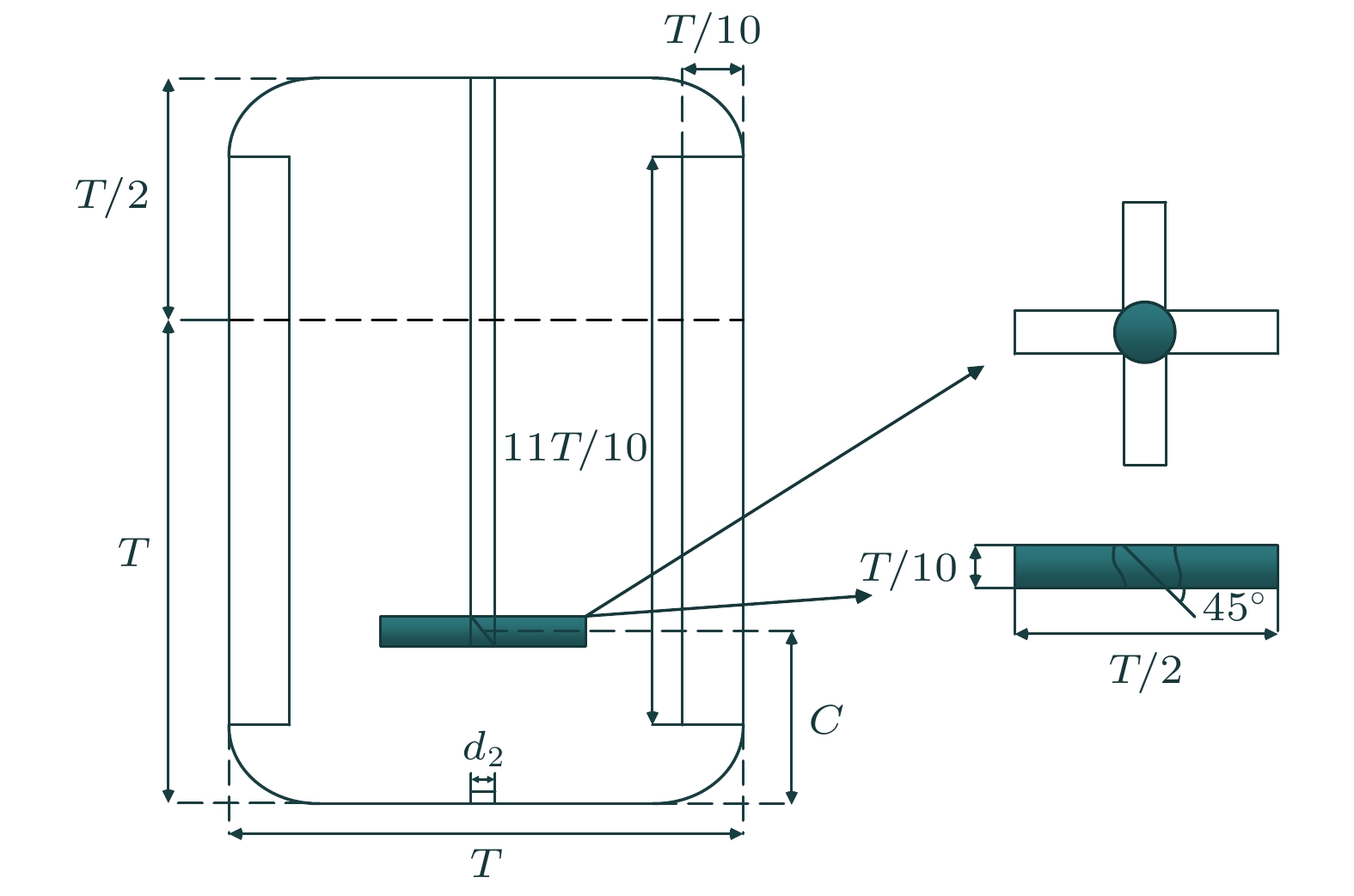
参数 值 空气密度 ${\rho _{\rm{a}}}$/(${\rm{kg}} \cdot {{\rm{m}}^{{ - 3}}}$) 1 空气黏度 ${\mu _{\rm{a}}}$/(${\rm{Pa}} \cdot {\rm{s}}$) 1 × 10–5 水密度 ${\rho _{\rm{w}}}$/(${\rm{kg}} \cdot {{\rm{m}}^{{ - 3}}}$) 1000 水黏度 ${\mu _{\rm{w}}}$/(${\rm{Pa}} \cdot {\rm{s}}$) 0.001 颗粒密度 ${\rho _{\rm{p}}}$/(${\rm{kg}} \cdot {{\rm{m}}^{{ - 3}}}$) 1100 颗粒直径 ${d_{\rm{p}}}$/mm 1 颗粒数目 ${n_{\rm{p}}}$ 10000 颗粒杨氏模量 ${Y_{\rm{P}}}$/${\rm{MPa}}$ 1 颗粒泊松比 ${\nu _{\rm{P}}}$ 0.25 壁面杨氏模量 ${Y_{\rm{w}}}$/${\rm{MPa}}$ 70000 壁面泊松比 ${\nu _{\rm{w}}}$ 0.3 滚动摩擦系数 ${\mu _{\rm{r}}}$ 0.01 静摩擦系数 ${\mu _{\rm{s}}}$ 0.5 恢复系数 ${e_{\rm{r}}}$ 0.5 搅拌桨速度 $\omega $/(${\rm r} \cdot {\rm min }^{ - 1 }$) 400 CFD时间步 $\Delta {t_{\rm{CFD}}}$/${\rm{s}}$ $2 \times {10^{ - 4}}$ DEM时间步 $\Delta {t_{\rm{DEM}}}$/${\rm{s}}$ $2 \times {10^{ - 5}}$ 耦合时间步 $\Delta {t_{{\rm{coupling}}}}$/${\rm{s}}$ $2 \times {10^{ - 4}}$ -
[1] [2] [3] [4] [5] [6] [7] [8] [9] [10] [11] [12] [13] [14] [15] [16] [17] [18] [19] [20] [21] [22] [23] [24] [25] [26] [27] [28] [29] [30] [31] [32] [33] [34] [35] [36]
计量
- 文章访问数:9740
- PDF下载量:367
- 被引次数:0












下载:










