-
利用量子化学第一性原理计算, 对FeB 20和Fe 2B 20团簇的几何构型、电子结构以及由激光诱导的超快自旋动力学进行了研究. 计算结果发现, FeB 20团簇中Fe原子倾向吸附于B 20管内, 而Fe 2B 20团簇的两个Fe原子分居管内外时更稳定. 后者由于磁原子个数的增多, 引入了更多的d电子态而表现出结构整体能级的下移; 同时, 由于该结构两磁原子吸附环境的不同, 使得其能态具有不同自旋局域的可能性. 基于体系所得多体电子基态和激发态, 在特定激光脉冲诱导下, 在两个团簇上均实现了亚皮秒时间尺度内的超快自旋翻转和自旋交叉两种动力学过程. 其中前者均可逆, 且保真度都高达89.7%及以上, 后者保真度略低, 均在78%及以下. 另外, 在Fe 2B 20团簇上, 实现了两个Fe原子之间的超快自旋转移动力学, 其所需激光能量由于初末态较大的能级差和较多的中间态参与而较之其他动力学最高. 本文工作为吸附磁原子的管状硼团簇体系上所实现的超快自旋动力学功能进行了预测, 可望对其未来的实验实现以及相关自旋逻辑功能器件的设计和应用提供理论指导.In this study, we use first-principles calculations to investigate the geometry, the electronic and the magnetic structure as well as to propose the laser-induced ultrafast spin dynamics on the tubular FeB 20and Fe 2B 20clusters. Our results show that the FeB 20is a stable configuration when its Fe atom gets preferably adsorbed inside the B 20tube, while the Fe 2B 20is more stable configuration when one of its two Fe atoms is located inside and the other outside the boron tube. In the latter cluster, due to the higher number of d states introduced by the additional magnetic atom, the density-of-states in the low-energy region becomes higher, thus leading to richer spin dynamics. The different local geometries of the two Fe atoms lead to a multitude of many-body states with high degree of spin-density localization. Based on the calculated ground state and excited states and by using suitably tailored laser pulses we achieve ultrafast spin-flip and spin crossover scenarios for both structures. Besides, the spin-flips reach a high fidelity (above 89.7%) and are reversible, while the crossovers have lower fidelity (below 78%) and are irreversible. We also propose an ultrafast spin-transfer process from Fe2 to Fe1 for Fe 2B 20. The present investigation, in which we predict various ultrafast spin dynamic taken by magnetic atoms absorbed inside and outside of tubular boron clusters, is expected to provide significant theoretical guidance for the future experimental implementation and the potential applications of the relevant spin logic functional devices.
[1] [2] [3] [4] [5] [6] [7] [8] [9] [10] [11] [12] [13] [14] [15] [16] [17] [18] [19] [20] [21] [22] [23] [24] [25] [26] [27] [28] [29] [30] [31] [32] [33] [34] [35] [36] [37] [38] [39] [40] [41] [42] [43] [44] [45] [46] [47] [48] [49] [50] [51] [52] [53] [54] [55] [56] [57] [58] [59] [60] [61] [62] [63] -
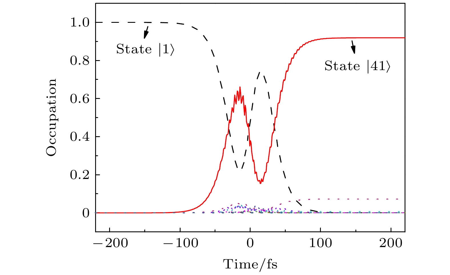
Structure State Energy/eV $ \left\langle { {S}_{x} } \right\rangle $ $ \left\langle { {S}_{y} } \right\rangle $ $ \left\langle { {S}_{z} } \right\rangle $ Spin density Fe1 Fe2 B20 $ \left| {1} \right\rangle $ 0 0.38 –0.87 0 0.001 1.919 0.015 $ \left| {2} \right\rangle $ 0.001 –0.59 0.73 0 0.001 1.911 0.015 $ \left| {5} \right\rangle $ 0.513 0.21 –0.42 0 0.002 0.946 0.023 $ \left| {6} \right\rangle $ 0.515 –0.12 0.46 0 0.002 0.962 0.023 $ \left| {17} \right\rangle $ 1.797 0.16 –0.72 0 0.022 1.473 0.224 $ \left| {18} \right\rangle $ 1.797 –0.42 0.05 0 0.013 0.839 0.13 Fe2B20 $ \left| {19} \right\rangle $ 1.797 0.26 0.67 0 0.021 1.432 0.22 (B:θ= 90°,φ= 90°) $ \left| {25} \right\rangle $ 2.002 0.41 –0.35 0 0.004 1.099 0.120 $ \left| {26} \right\rangle $ 2.003 –0.23 0.54 0 0.005 1.189 0.133 $ \left| {39} \right\rangle $ 2.658 –0.02 –0.63 0 1.114 0.084 0.261 $ \left| {41} \right\rangle $ 2.659 –0.01 0.63 0 1.114 0.084 0.261 $ \left| {56} \right\rangle $ 2.948 0.42 –0.63 0 0.026 1.412 0.305 $ \left| {57} \right\rangle $ 2.949 –0.52 0.55 0 0.026 1.411 0.303 Scenario Structure State Energy/eV $ \left\langle { {S}_{x} } \right\rangle $ $ \left\langle { {S}_{y} } \right\rangle $ $ \left\langle { {S}_{z} } \right\rangle $ Spin density Fe1 Fe2 Flip FeB20 $ \left| {4} \right\rangle $ 1.021 –0.94 0 0 1.291 — (B:θ= 90°,φ= 90°) $ \left| {6} \right\rangle $ 1.022 0.94 0 0 1.291 — Fe2B20 $ \left| {8} \right\rangle $ 0.856 0 0 0.89 0.006 1.785 (B:θ= 0°,φ= 90°) $ \left| {9} \right\rangle $ 0.857 0 0 –0.89 0.006 1.785 Transfer Fe2B20 $ \left| {1} \right\rangle $ 0 0.38 –0.87 0 0.001 1.919 (B:θ= 90°,φ= 90°) $ \left| {41} \right\rangle $ 2.659 0.01 0.63 0 1.114 0.084 Crossover FeB20 $ \left| {6} \right\rangle $ 1.022 0.94 0 0 1.291 — (B:θ= 90°,φ= 90°) $ \left| {7} \right\rangle $ 1.133 0 0 0 0 — Fe2B20 $ \left| {37} \right\rangle $ 2.371 0 0 0 0 0 (B:θ= 90°,φ= 90°) $ \left| {45} \right\rangle $ 2.784 0 –0.52 0 0.090 0.873 Scenario Structure Initial/Final
stateFidelity Laser parameters θ/(º) φ(º) γ/(º) FWHM
/fsAmplitude
/(atomic units)Energy
/eVFlip FeB20 $ \left| {4} \right\rangle \to \left| {6} \right\rangle $ 89.7% 112.9 6.1 338.9 337.3 0.00997 0.299 Fe2B20 $ \left| {8} \right\rangle \to \left| {9} \right\rangle $ 93.5% 156.4 122.4 77.7 466.2 0.00634 2.114 Transfer Fe2B20 $ \left| {1} \right\rangle \to \left| {41} \right\rangle $ 91.9% 244.7 91.4 225.3 92.3 0.00781 2.661 Crossover FeB20 $ \left| {6} \right\rangle \to \left| {7} \right\rangle $ 77.9% 61.0 321.4 82.9 318.5 0.00783 0.212 Fe2B20 $ \left| {37} \right\rangle \to \left| {45} \right\rangle $ 74.5% 297.2 356.1 301.5 352.0 0.00306 0.416 FeB20 Fe2B20 Before SOC After SOC Before SOC After SOC Singlet 1.131 (11A') 1.133 1.504 (11A') 1.489 1.133 (21A') 1.134 1.850 (11A'') 1.857 2.320 (11A'') 2.319 2.199 (21A') 2.203 2.545 (SAC) 2.554 2.361 (SAC) 2.371 2.676 (21A'') 2.677 2.587 (31A') 2.592 2.676 (31A') 2.677 2.801 (21A'') 2.806 3.130 (31A'') 3.132 2.843 (41A') 2.845 3.636 (41A'') 3.638 2.996 (31A'') 3.002 4.266 (51A'') 4.269 3.133 (51A') 3.136 4.272 (41A') 4.272 3.429 (41A'') 3.434 4.282 (51A') 4.285 3.632 (51A'') 3.637 Triplet 0.000 (13A') 0.000 0.0005 0.001 0.000 (13A') 0.000 0.0007 0.002 1.019 (23A') 1.021 1.021 1.022 0.508 (13A'') 0.511 0.513 0.515 1.291 (33A') 1.271 1.271 1.294 0.851 (23A') 0.854 0.857 0.857 1.293 (13A'') 1.295 1.313 1.317 1.545 (23A'') 1.548 1.551 1.570 1.476 (23A'') 1.475 1.478 1.478 1.668 (33A') 1.673 1.673 1.673 2.361 (33A'') 2.363 2.363 2.364 1.793 (43A') 1.797 1.797 1.797 2.945 (43A'') 2.947 2.947 2.948 1.984 (53A') 1.989 1.989 1.989 3.119 (53A'') 3.120 3.121 3.121 1.997 (33A'') 2.001 2.002 2.003 3.462 (43A') 3.464 3.465 3.466 2.089 (63A') 2.093 2.094 2.094 3.467 (63A'') 3.470 3.471 3.471 2.100 (43A'') 2.105 2.105 2.105 3.471 (73A'') 3.473 3.473 3.474 2.112 (73A') 2.113 2.116 2.116 3.743 (53A') 3.745 3.745 3.745 2.653 (83A') 2.658 2.658 2.659 3.753 (83A'') 3.755 3.755 3.756 2.707 (53A'') 2.711 2.713 2.714 3.990 (63A') 3.989 3.990 3.994 2.779 (93A') 2.784 2.784 2.784 4.000 (73A') 4.003 4.008 4.008 2.783 (63A'') 2.787 2.788 2.788 4.419 (83A') 4.421 4.421 4.421 2.934 (103A') 2.939 2.939 2.940 4.435 (93A'') 4.436 4.436 4.438 2.943 (73A'') 2.948 2.949 2.952 4.436 (93A') 4.438 4.440 4.440 3.144 (83A'') 3.150 3.151 3.152 4.536 (103A') 4.528 4.528 4.539 3.301 (93A'') 3.305 3.306 3.306 4.540 (103A'') 4.543 4.554 4.557 3.338 (103A'') 3.343 3.343 3.344 -
[1] [2] [3] [4] [5] [6] [7] [8] [9] [10] [11] [12] [13] [14] [15] [16] [17] [18] [19] [20] [21] [22] [23] [24] [25] [26] [27] [28] [29] [30] [31] [32] [33] [34] [35] [36] [37] [38] [39] [40] [41] [42] [43] [44] [45] [46] [47] [48] [49] [50] [51] [52] [53] [54] [55] [56] [57] [58] [59] [60] [61] [62] [63]
计量
- 文章访问数:5573
- PDF下载量:117
- 被引次数:0












下载:




