-
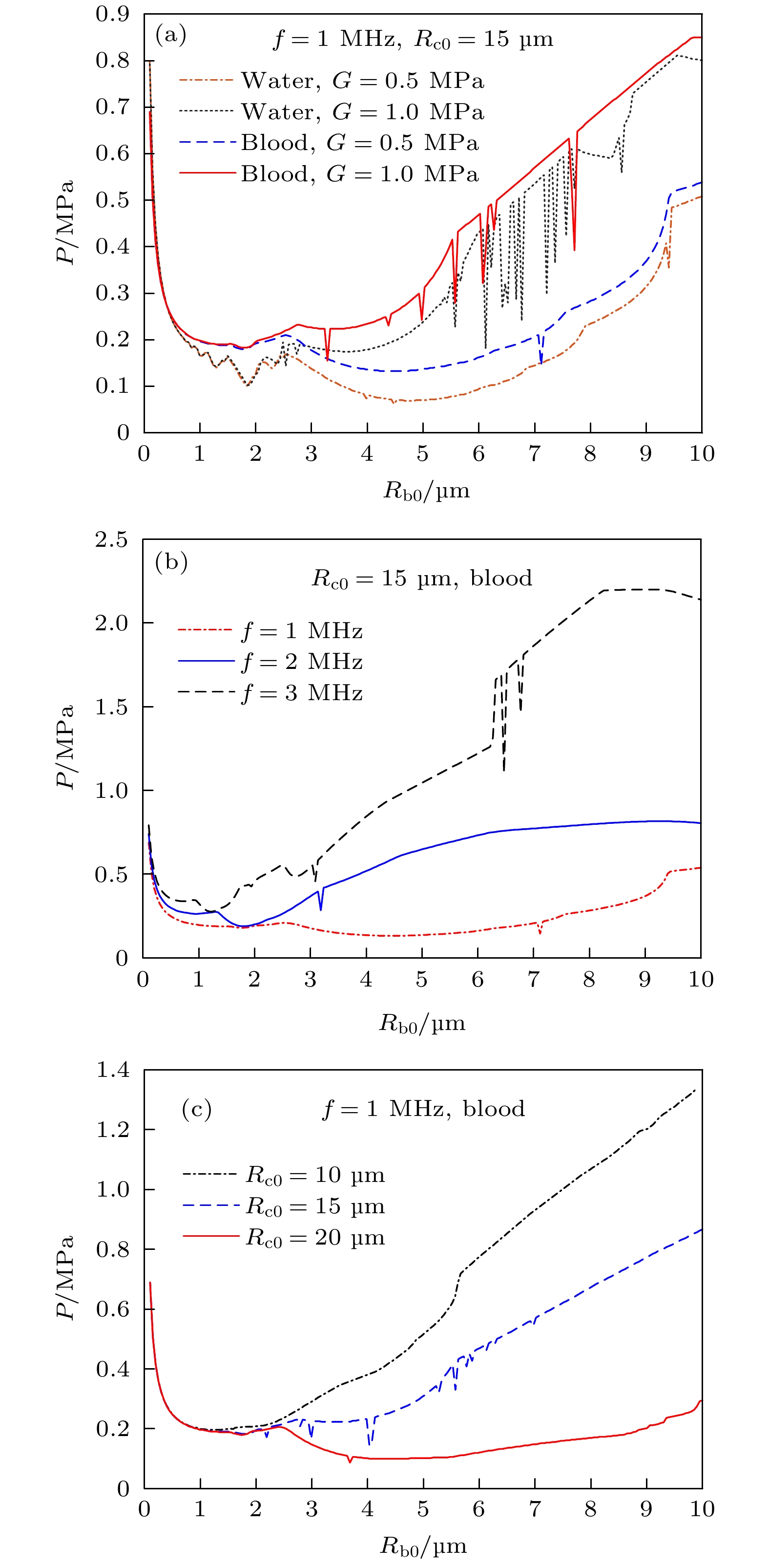
考虑组织黏弹性对腔内气泡的影响, 引入Voigt黏弹性模型, 得到生物组织中气泡径向振动方程, 并基于此分析了声场参数、组织弹性、腔体大小对空化气泡振动的影响. 数值分析结果表明: 气泡受到组织的约束, 腔体半径越小约束越强, 气泡的共振频率和振动幅度越小. 气泡和腔体半径比 α一定时, 随着组织剪切模量的增大, 气泡共振频率增大, 振动幅度减小且在高强度的声压下表现更为明显, 气泡在高频下声响应越弱振动幅度越小. 气泡初始半径在1—5 μm区域内惯性空化阈值较低, 较容易空化; 气泡的惯性空化阈值随组织剪切模量, 驱动频率的增大而增大, 且腔体半径越小气泡惯性空化阈值越高. 探究组织黏弹特性对气泡动力学行为的影响, 可为超声检测及治疗提供参考.Ultrasonic wave with higher intensity will directly cavitate in soft tissue. It is an important issue in ultrasonic therapy that the cavitation bubbles in soft tissues are driven in the ultrasonic field. It is assumed that the medium inside the bubble is gas, the cavity is filled with the incompressible viscous liquid, and the medium surrounding the cavity is viscoelastic solid. To introduce the effect of the surrounding tissue, it is assumed that the tissue is incompressible, linear and Voigt viscoelastic solid. The motion of a cavitation bubble can be affected by many factors, such as acoustic pressure, acoustic frequency, tissue elasticity and cavity size. Numerical simulation shows that the resonance frequency and amplitude of the bubbles decrease with cavity radius decreasing. It is also shown that the amplitude of the radial motion for bubbles decreases with the increase of the tissue shear modulus and the frequency, when the ratio of bubble radius to the cavity radius is constant. The effect of the elasticity is very obvious, which reduces the amplitude greatly. The effect of elasticity will be less when the driving pressure is strong. It is found that the inertial cavitation threshold of bubble is relatively low in a range of 1–5 μm. The inertial cavitation threshold of bubble increases with the increase of shear modulus and driving frequency. The smaller the cavity radius, the higher the inertial cavitation threshold of the bubble is. This report aims to provide a firm theoretical basis for the future study of bubbles in a liquid-filled cavity surrounded by a viscoelasticity tissue.
[1] [2] [3] [4] [5] [6] [7] [8] [9] [10] [11] [12] [13] [14] [15] [16] [17] [18] [19] [20] [21] [22] [23] [24] -
[1] [2] [3] [4] [5] [6] [7] [8] [9] [10] [11] [12] [13] [14] [15] [16] [17] [18] [19] [20] [21] [22] [23] [24]
计量
- 文章访问数:4216
- PDF下载量:69
- 被引次数:0












下载:





