-
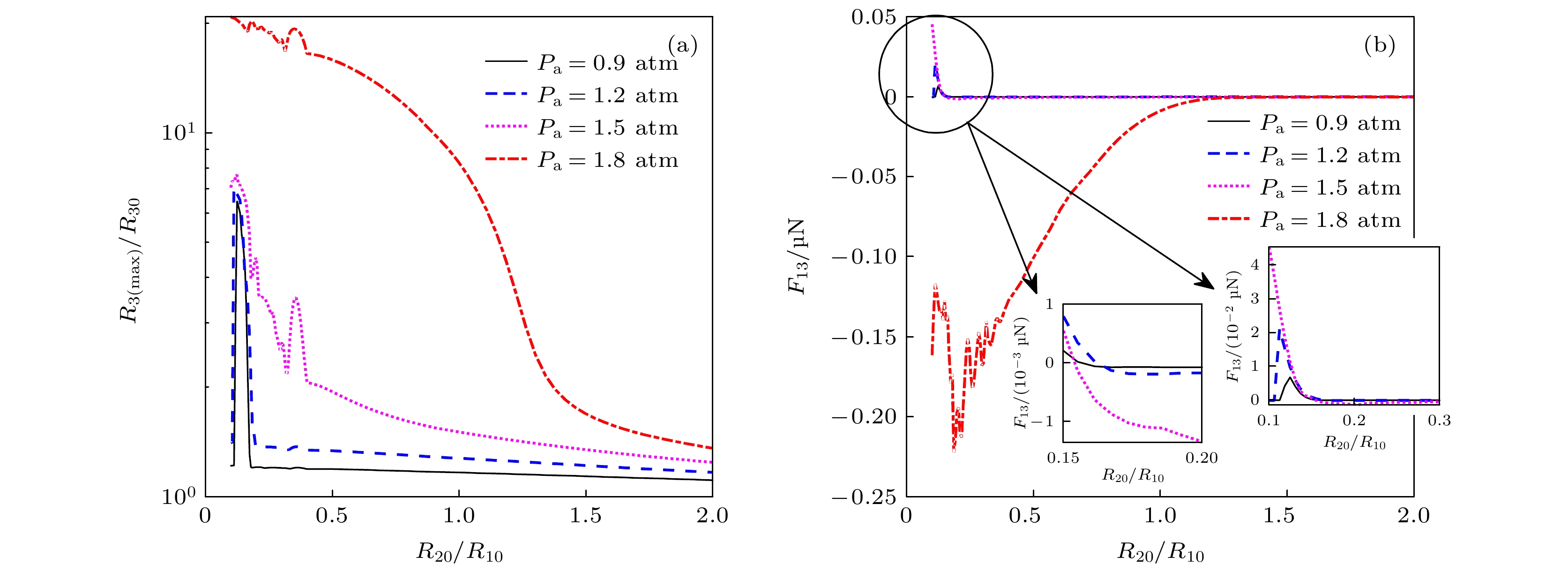
为探究空化场中多气泡之间的相互作用, 结合观察到的注入大气泡周围飞舞的小气泡的实验现象, 构建了由两个大气泡和一个空化泡组成的三气泡系统, 通过考虑气泡间相互作用的时间延迟效应以及大泡的非球形振动, 得到修正的气泡动力学方程组, 并数值分析了气泡的振动模态、平衡半径、声波压力与频率等参量对小空化气泡的振动行为与所受次级Bjerknes力的影响. 结果表明, 大气泡的非球形效应主要表现为一种近场效应, 对空化泡的振动影响很小, 几乎可以忽略不计. 大气泡可抑制空化泡的振动, 但当大气泡半径接近于共振半径时, 空化泡振动幅值曲线出现共振峰, 即存在耦合共振响应. 大气泡半径越大, 对空化泡抑制作用越强, 当空化泡处在两个毫米级大气泡附近时抑制更加显著. 声波压力与频率不仅直接影响气泡的振动, 还影响空化泡与大气泡之间相互作用的强弱, 表现为空化泡所受的次级Bjerknes力在特定的大气泡半径范围内变得对气泡尺寸变化较为敏感, 即小的大气泡半径变化可能导致明显的力大小变化, 且不同驱动频率下, 空化泡所受次级Bjerknes力的敏感半径分布区间不同. 空化泡受到的次级Bjerknes力在距离较小或者较大时均可能表现为斥力, 与实验观察现象一致. 随着声波压力的增大, 气泡间距影响下的力响应模式可能不同, 甚至可能出现在特定距离内因声反常吸收而导致的作用力减弱现象.
-
关键词:
- 多气泡系统/
- 次级Bjerknes力/
- 相互作用
In this work, the interaction among multiple bubbles in a cavitation field is investigated by combining the experimental observation of small bubbles hovering around large bubbles. A model composed of three bubbles is developed, and the dynamic behavior of cavitation bubble is analyzed. By considering the time delay effect of the interaction among bubbles and the nonspherical oscillation of large bubbles, the modified bubble dynamic equations are obtained. Numerical results show that the nonspherical effect of large bubbles has little effect on the oscillation of cavitation bubble. The suppressive effect of large bubble on cavitation bubble is closely related to the radius of the large bubble. The larger the size of the large bubble, the stronger the suppression is. When the size of large bubble approaches to the resonant radius, the oscillation of cavitation bubble presents coupled resonance response, and the maximum expansion radius of bubble shows a resonance peak. The distribution of the secondary Bjerknes force versus bubble radius and the separation distance is strongly influenced by driving frequencies or sound pressure. When the large bubble is on the order of submillimeter, the intensity of the secondary Bjerknes force and the acoustic response mode are different due to the different intensity of the nonlinear response of the cavitation bubble. As the distance decreases, when the acoustic pressure increases to a certain value, the secondary Bjerknes force on the cavitation bubble decreases due to abnormal acoustic absorption. The secondary Bjerknes force on cavitation bubble is likely to be repulsive at different separation distances. The theoretical results accord well with experimental phenomenon.-
Keywords:
- multi-bubble system/
- secondary Bjerknes force/
- interaction
[1] [2] [3] [4] [5] [6] [7] [8] [9] [10] [11] [12] [13] [14] [15] [16] [17] [18] [19] [20] [21] [22] [23] [24] [25] [26] -
[1] [2] [3] [4] [5] [6] [7] [8] [9] [10] [11] [12] [13] [14] [15] [16] [17] [18] [19] [20] [21] [22] [23] [24] [25] [26]
计量
- 文章访问数:3233
- PDF下载量:78
- 被引次数:0












下载:






