-
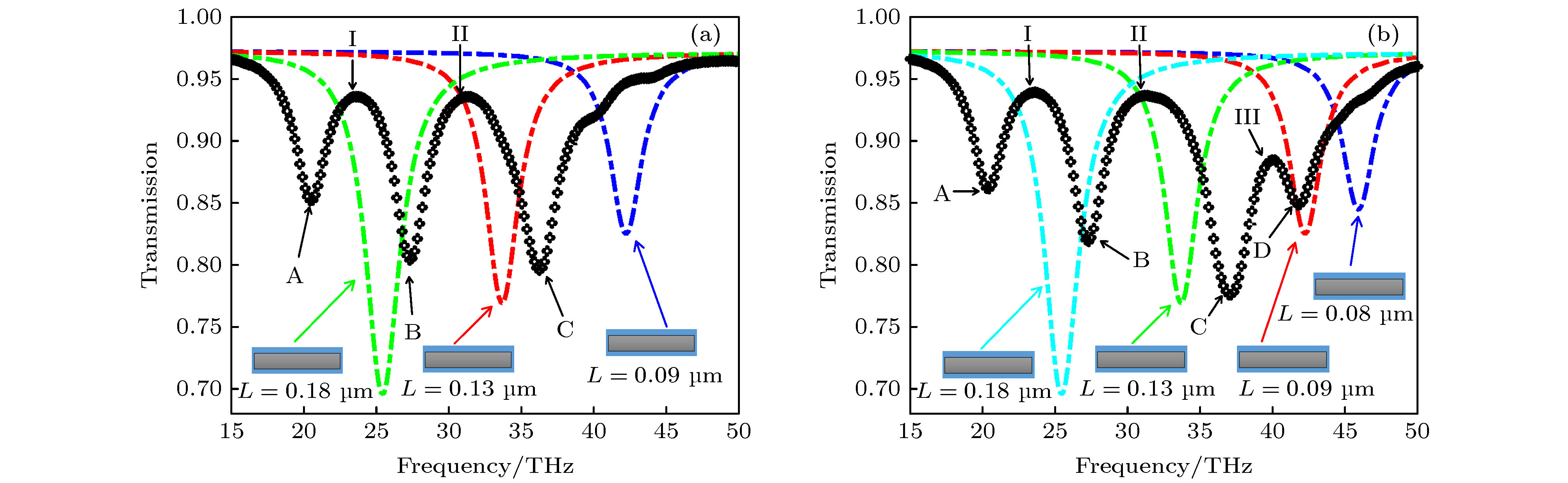
提出了基于black phosphorus(BP)纳米棒耦合的多频段等离激元诱导透明(PIT)电磁模型, 通过FDTD和辐射双振荡器(RTO)模型从数值计算和理论研究两方面分析了模型的电磁特性. 结果表明: 由于不同长度的BP纳米棒之间的明-明耦合, 可以在实现单频段PIT效应的基础之上, 进一步产生双频段和三频段的PIT效应. 其次, 通过改变BP的弛豫速率
${n_{\rm{s}}}$ , 可以在单频段、双频段、三频段PIT模型中同时实现透明窗谐振频率的可调性. 当${n_{\rm{s}}}$ 增大时, 各频段PIT窗口的谐振频率将会逐渐增大, 发生蓝移. 进一步研究了单频段PIT模型的传感特性, 该模型随背景材料折射率变化的灵敏度(sensitivity)达到了6110.6 (nm/RIU), 优值系数(FOM)达到了7.39 (1/RIU)这为多频带滤波、超灵敏传感器的设计提供了理论参考.-
关键词:
- 等离激元诱导透明/
- black phosphorus/
- 时域有限差分法
In this paper, we propose three plasmon-induced transparency(PIT) hybrid models based on the coupling of black phosphorus (BP) nanorods. By using the bright-bright mode coupling between BP nanorods with different lengths, and according to the weak hybrid effect after the detuning of each bright mode unit, we can trigger the single-band, dual-band and triple-band PIT effects. Secondly, by changing the relaxation rate of BP, the resonant frequency can be adjusted in each PIT model. When the relaxation rate of BP changes from small to large, the resonance frequencies of the transparent windows in those three PIT models all increase and the blue shifts occur. In a single-band PIT model, when the relaxation rate of BP changes from $0.8 \times {10^{ - 14}}$ to$1.4 \times {10^{ - 14}}\;{{\rm{cm}}^{ - 2}}$ , the resonant frequency of transparent window increases 7.5628 THz. In a dual-band PIT model, under the same change of relaxation rate, the resonant frequencies of the two transparent windows increase 6.8593 and 9.1457 THz, at the same time, and the resonant frequencies of the three transparent windows in triple-band PIT model increase 6.8593, 8.7939 and 11.2563 THz respectively. In addition to the resonant frequency, the transmittance at the dip frequency in each model gradually decreases, and the depth of depression gradually increases.Finally, the sensing characteristics of the single-band PIT model are further studied. When the refractive index of the background changes from small to large, the dip frequency and the resonant frequency of the transparent window will be significantly red-shifted. The change of frequency is approximately linear with refractive index. The model has a sensitivity of 6110.6 (nm/RIU) and a figure of merit of 7.39 (1/RIU) which is better than the same type of sensor. This model provides a theoretical reference for designing the multiband filtering and ultrasensitive sensors. [1] [2] [3] [4] [5] [6] [7] [8] [9] [10] [11] [12] [13] [14] [15] [16] [17] [18] [19] [20] [21] [22] [23] [24] [25] [26] [27] [28] [29] [30] -
FOM/RIU–1 Sensitivity/nm·RIU–1 dip A 2.385 6110.6 dip B 3.08 4018.7 peak 7.39 4806.8 -
[1] [2] [3] [4] [5] [6] [7] [8] [9] [10] [11] [12] [13] [14] [15] [16] [17] [18] [19] [20] [21] [22] [23] [24] [25] [26] [27] [28] [29] [30]
计量
- 文章访问数:4493
- PDF下载量:93
- 被引次数:0












下载:











