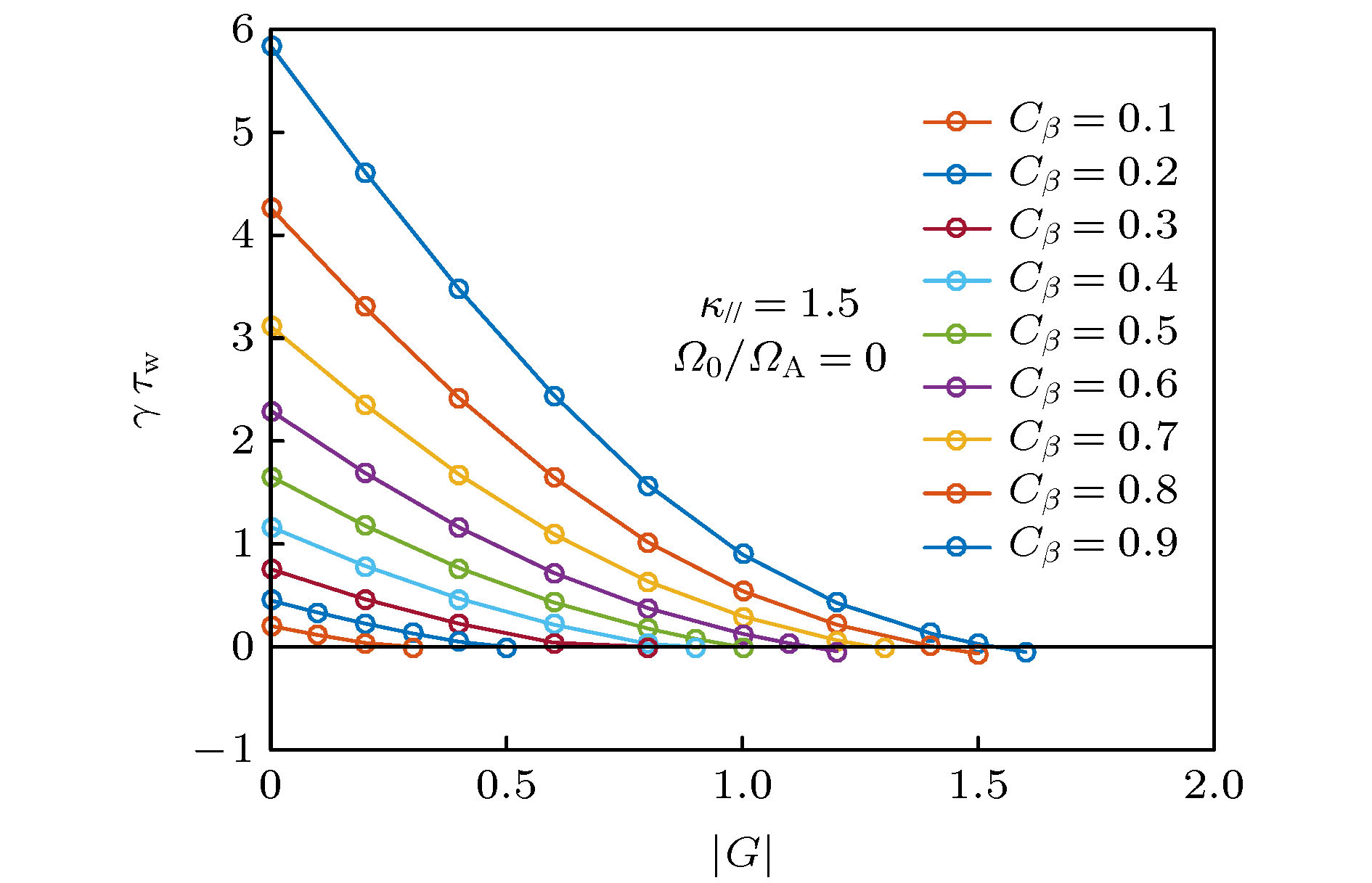
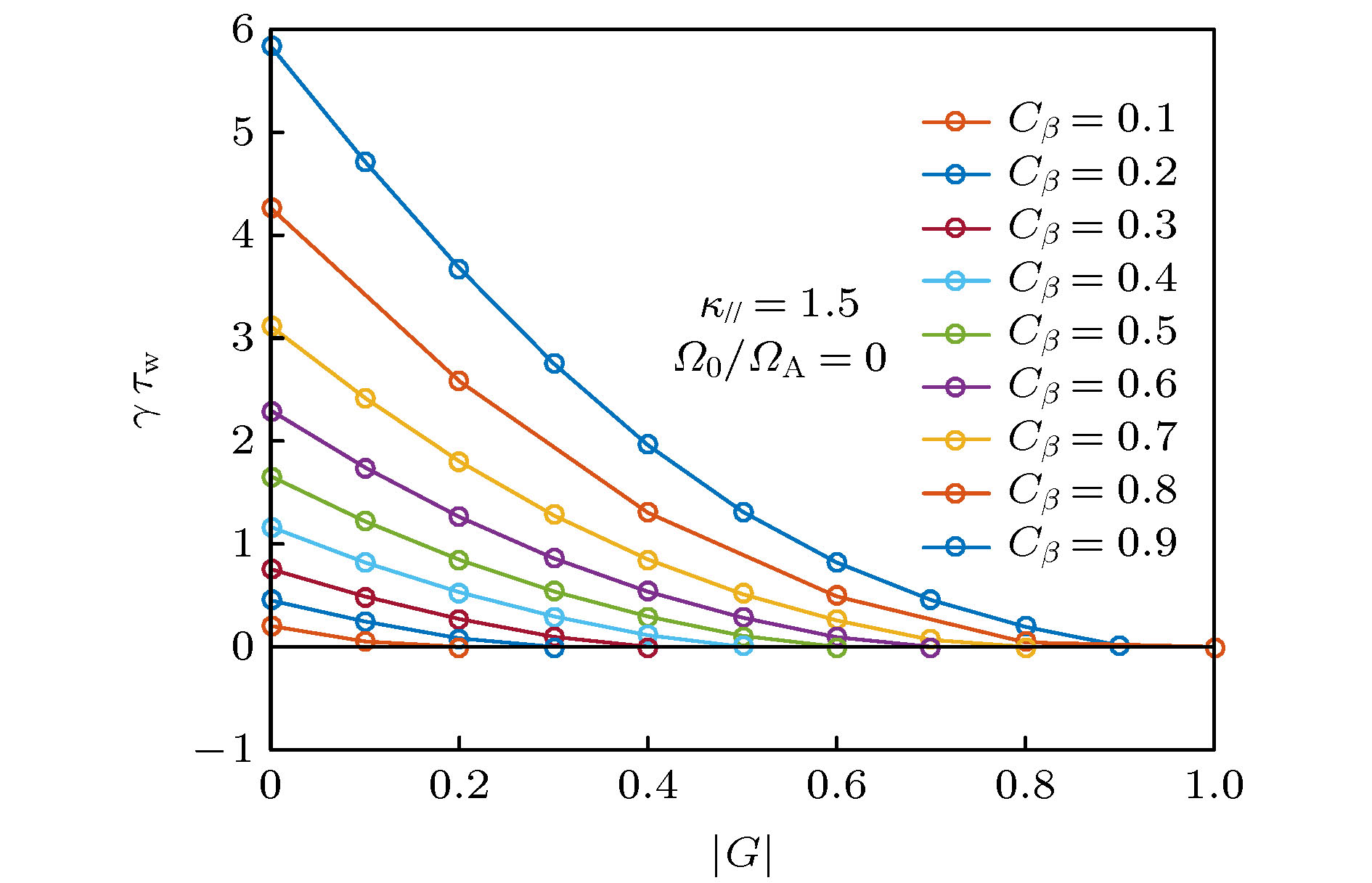
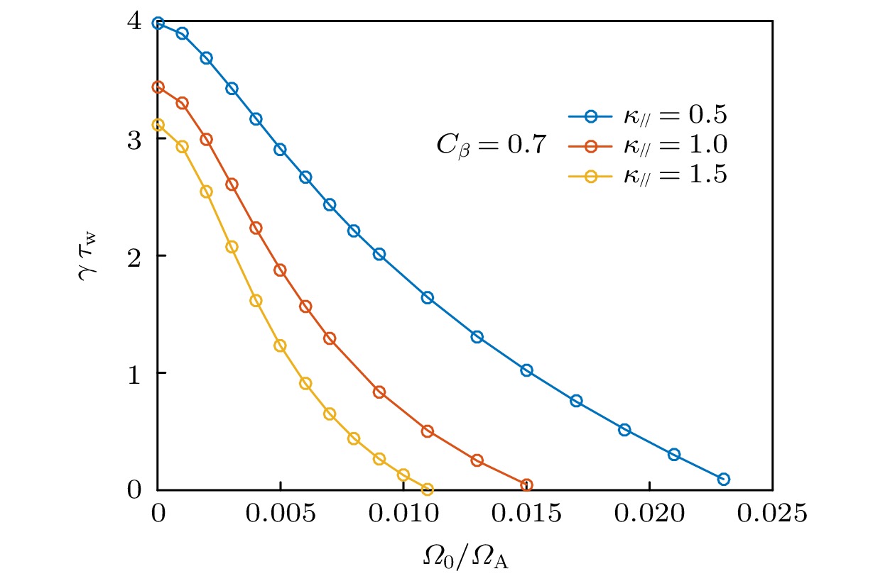
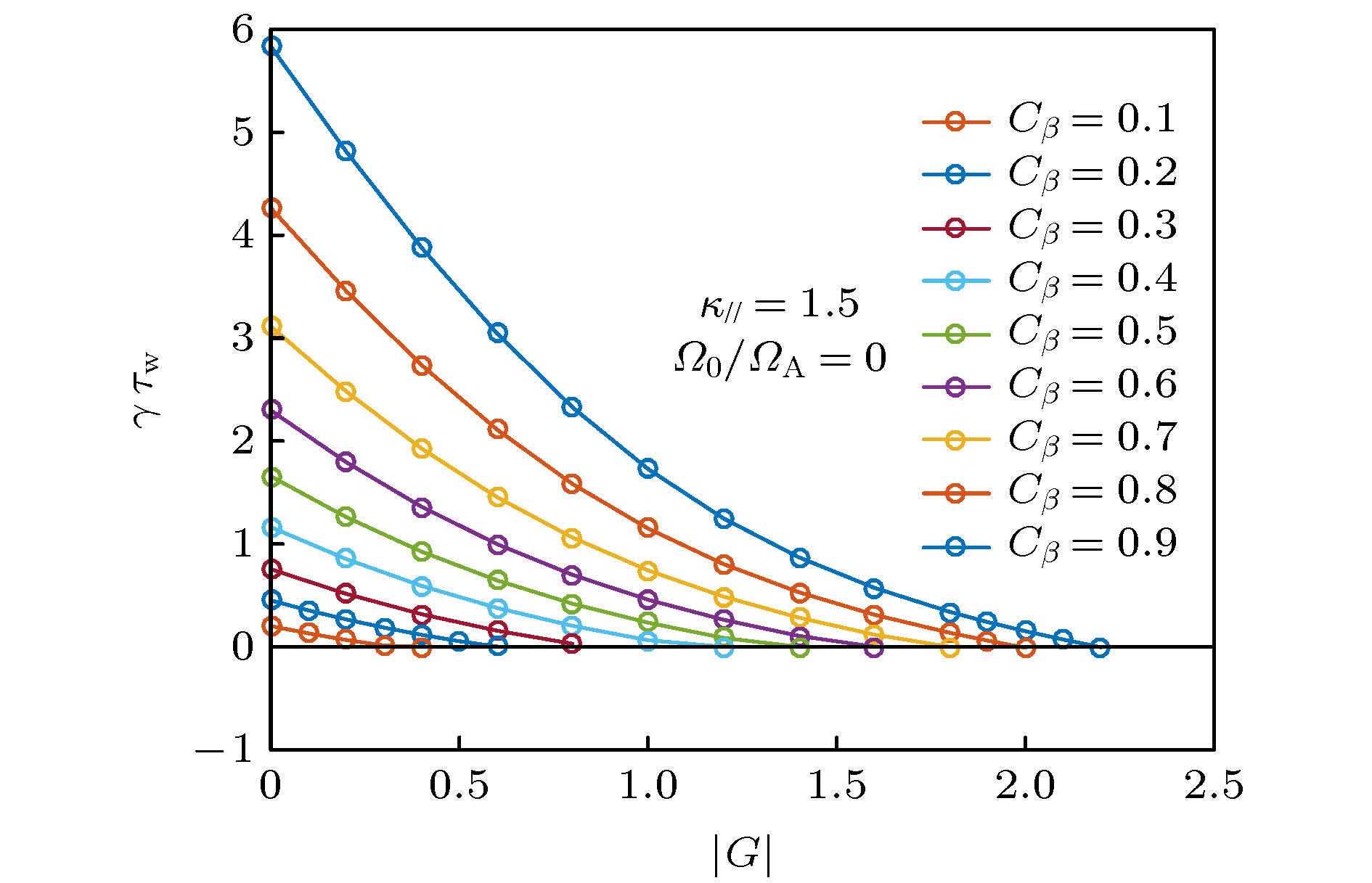
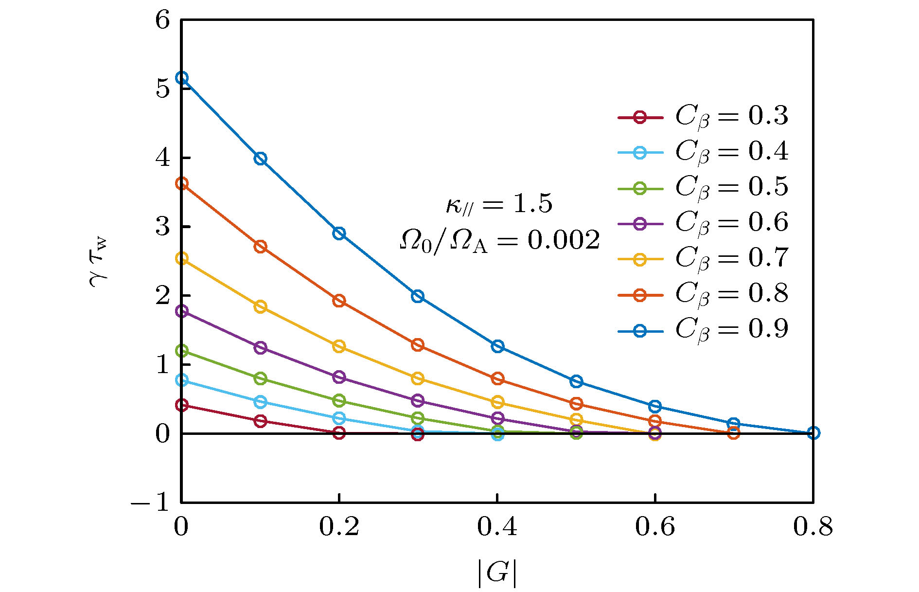
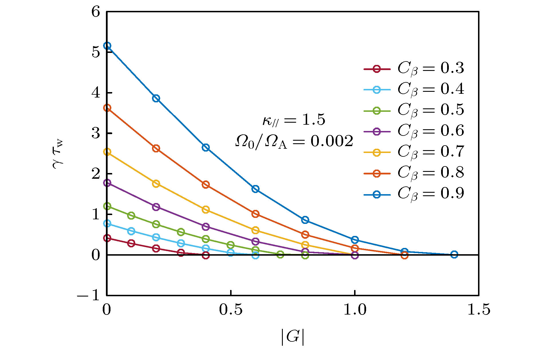
In tokamak plasmas, the resistive wall mode is a very important magnetohydrodynamic instability, and its time scale is on the order of millisecond. For the advanced tokamaks with long-pulse and steady-state operation, the resistive wall mode limits the operating parameter space (the discharge time and the radio of the plasma pressure to the magnetic pressure) of the fusion devices so that it affects the economic benefits. Therefore, it is very important to study the stability of the resistive wall modes in tokamaks. In this work, the influences of the plasma rotations and the feedback controls on the resistive wall modes are studied numerically using MARS code for an ITER 9 MA equilibrium designed for the advanced steady-state scenario. In the equilibrium, the profile of the safety factor has a weak negative magnetic shear in the core region. The safety factor is
${q_0}= 2.44$
on the magnetic axis and
${q_a}= 7.13$
on the plasma boundary. And, the minimum safety factor
${q_{\min }}$
is 1.60. The structure of this kind of weakly negative magnetic shear can generate higher radio of the plasma pressure to the magnetic pressure and it is the important feature of the advanced steady-state scenario. Using MARS code, for two cases: without wall and with ideal wall, the results of growth rates of the external kink modes for different values of
${\beta _{\rm N}}$
are obtained. The limit value of
$\beta _{\rm N}^\text{no-wall}$
is 2.49 for the case without wall, and the limit value of
$\beta _{\rm N}^\text{ideal-wall}$
is 3.48 for the case with ideal wall. Then, a parameter
${C_\beta } = \left( {{\beta _{\rm{N}}} - \beta _{\rm{N}}^{{\text{no-wall}}}} \right)/\left( {\beta _{\rm{N}}^{{\text{ideal-wall }}} - \beta _{\rm{N}}^{{\text{no-wall }}}} \right)$
is defined. The research results in this work show that with the plasma pressure scaling factor
${C_\beta } = 0.7$
and plasma rotation frequency
${\Omega _{0}} = 1.1\% {\Omega _A}$
, the resistive wall modes can be completely stabilized without feedback control. And, with the plasma pressure scaling factor
${C_\beta } = 0.7$
and the feedback gain
$\left| G \right| = 0.6$
, only plasma rotation with the frequency
${\Omega _{0}} = 0.2\% {\Omega _A}$
can stabilize the resistive wall modes. Therefore, a faster plasma rotation is required to stabilize the resistive wall modes by the plasma flow alone. The synergetic effects of the feedback and the toroidal plasma flow on the stability of the RWM can reduce plasma rotation threshold, which satisfies the requirements for the operation of the advanced tokamaks. The conclusion of this work has a certain reference for the engineering design and the operation of CFETR.