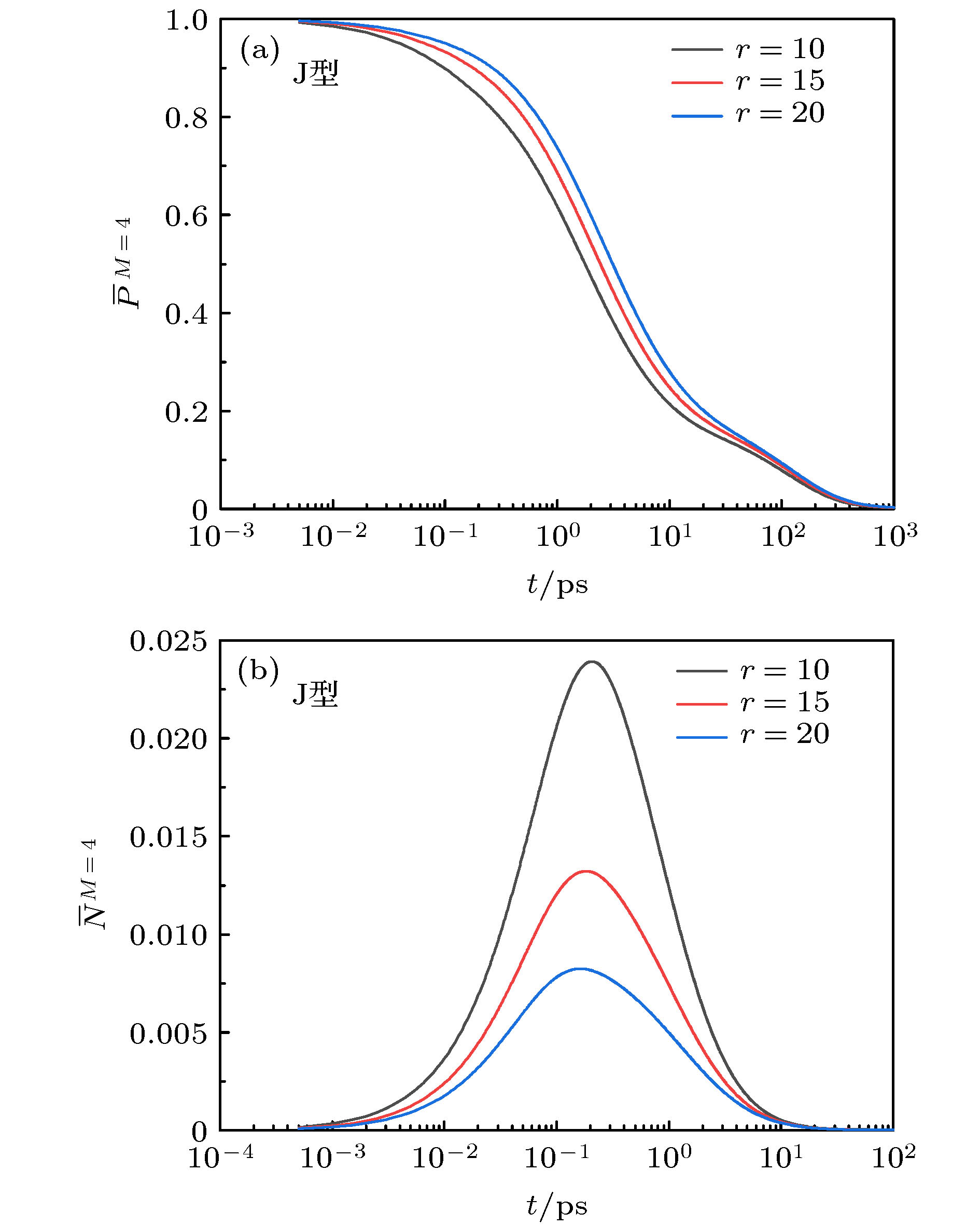
It is of ongoing interest to uncover energy and charge transfer processes in molecular systems, which are essentially important for photovoltaic cells or light emitting diodes. The exciton-exciton annihilation is one of the important aspects in excitation energy transfer in molecular aggregations, so it is important to study its dynamics of exciton-exciton annihilation, and to compare the theoretical parameters with the related transient absorption signal. Upon the excitation of laser pulses, multiple excitons can be produced in molecular aggregations, and its annihilation process is composed of two steps. The first step is that two excitations existing in the first excited state of the molecules move together so that their excitation energy can be used to create a high excited state in one molecule, called exciton fussion. The second step is that an ultrafast internal conversion process brings the molecule which is in the higher excited state back to the first excited state. This paper uses the scheme of classical rate equation in the approximation of weak coupling among molecules to describe the dynamics of exciton-exciton annihilation. With the parameters of squaraine, the effects of external or internal parameters such as the intensity of external field, the dipole configuration in aggregations, the decay rate of molecules on the annihilation process are studied. The relationship between the relaxation time of exciton in the first excited state and the high excited state, between their times of coherent charge transfer, and between their times of exciton and annihilation are studied. These conclusions are suitable to the aggregations with their single molecule having an energy level of
${E_{\rm fm}} \approx 2{E_{\rm em}}$
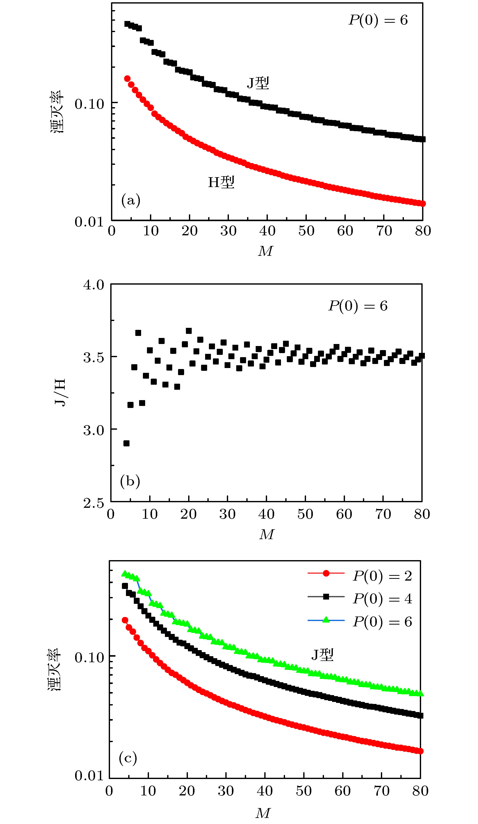
. It is found that the J-aggregate has a higher rate of annihilation than the H-aggregate because its coherent energy transfer time is shorter than H-aggregate’s. The high-intensity external field makes high exciton-exciton annihilation rate. The dipole configuration and the decay rate of higher excited state of molecules have strong effects on the annihilation, so one can adjust these factors to control the exciton-exciton annihilation in molecular aggregations.